Posledná aktualizácia :
27/04/2026
antibiotikum   Colistin mesilate sodium  
Injekcia
Aerosól
Stabilita roztokov Stabilita v zmesiach Faktory ovplyvňujúce stabilitu Kompatibility spôsob podania Odkazy na literatúru PDF
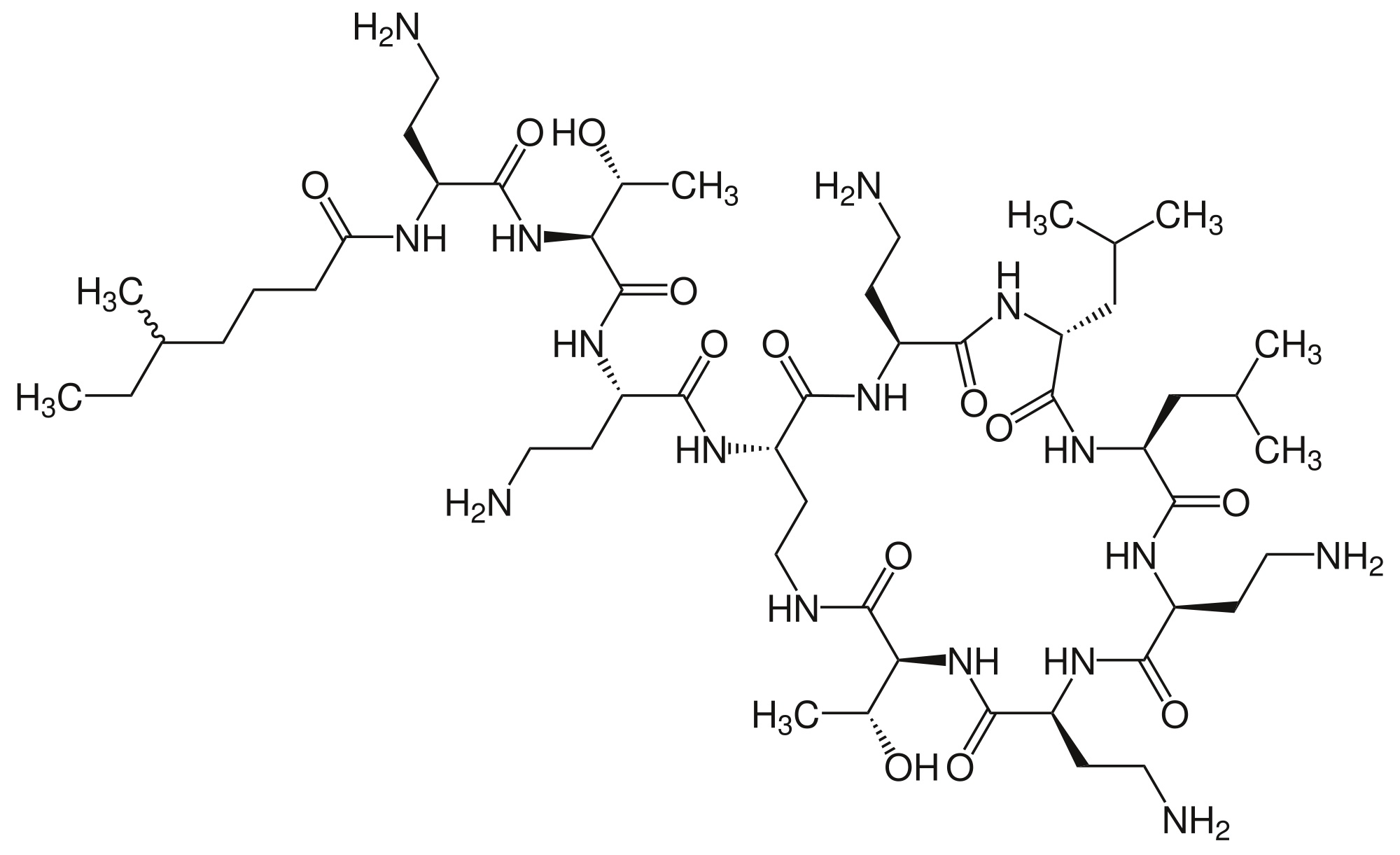
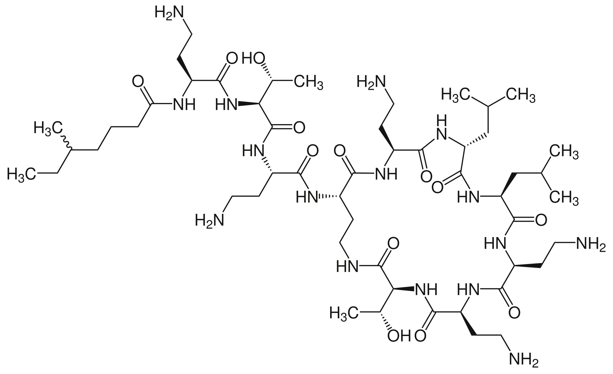
   Chemický vzorec  

Obchodný názov   Obchodný názov     

Obchodné názvy sú orientačné, a zloženie pomocných látok sa môže líšiť v závislosti od krajiny a výrobcu.

Alficetin Argentína
Colimicina Taliansko
Colimycin Dánsko, Nórsko, Turecko
Colimycine Francúzsko, Holandsko, Luxembursko, Maroko, Tunisko
Colismet peru
Colistimethate Francúzsko, Kanada, Spojené štáty Americké, Veľká Británia
Colistin Grécko, Nemecko, nový Zéland, Poľsko, Rakúsko
Colistina Argentína, Čile, Portugalsko
Colistineb Belgicko
Colistyn Argentína
Colixin Slovinsko
Colomycin Írsko, Kanada, Malajzia, Spojené štáty Americké, Veľká Británia
Dicupal Čile
Elistin peru
Kolisod Turecko
Nolisin
Promixin Írsko, Nemecko, Nórsko, Veľká Británia
Toliscrin Argentína
Kompatibility   Injekcia   Kompatibility : Colistin mesilate sodium              
Toto okno zobrazuje kompatibility alebo inkombatibility, v prípade inkompatibility aj jej typ (vyzrážanie, zmena farby, zmena emulzie atď.). Tu vymenované kompatibility sú väčšinou len fyzikálne, chemická stabilita každej zo zlúčenín sa hodnotila len zriedkavo. Tieto zmesi sa skúmali za účelom možnosti súbežného podávania pacientovi cez infúznu spojku Y. Údaje sa nedajú použiť na prípravu zmesí vo vakoch alebo striekačkách. Taká informácia sa nachádza v okne „Stabilita v zmesiach“.
Zlúčenina rozpúšťadlo odkazy na lieteratúru
kompatibilný
Injekcia Colistin mesilate sodium 4.5 mg/ml
Injekcia Cefiderocol sulfate tosylate 20 mg/mL
5% glukóza 4528
kompatibilný
Injekcia Colistin mesilate sodium 4.5 mg/ml
Injekcia Cefiderocol sulfate tosylate 20 mg/mL
0,9% chlorid sodný 4528
kompatibilný
Injekcia Colistin mesilate sodium 1.5 mg/ml
Injekcia Ceftazidime 5 mg/ml
0,9% chlorid sodný 3997
kompatibilný
Injekcia Colistin mesilate sodium 4.5 mg/ml
Injekcia Ceftolozane / tazobactam 10/5 mg/ml
5% glukóza 3828
kompatibilný
Injekcia Colistin mesilate sodium 4.5 mg/ml
Injekcia Ceftolozane / tazobactam 10/5 mg/ml
0,9% chlorid sodný 3828
kompatibilný
Injekcia Colistin mesilate sodium 1.5 mg/ml
Injekcia Cimetidine hydrochloride 3 mg/ml
5% glukóza 1201
nezlučiteľný
Injekcia Colistin mesilate sodium
Aerosól Cromoglycate sodium
2550
Okamžitá zákal nezlučiteľný
Injekcia Colistin mesilate sodium 4,5 mg/ml
Injekcia Eravacycline 0,6 mg/ml
0,9% chlorid sodný 4434
kompatibilný
Injekcia Colistin mesilate sodium 1.5 mg/ml
Injekcia Ertapenem 5 mg/ml
0,9% chlorid sodný 3997
Nešpecifikovaná nekompatibilita nezlučiteľný
Injekcia Colistin mesilate sodium
Injekcia Erythromycin lactobionate
3674
kompatibilný
Injekcia Colistin mesilate sodium 1.5 mg/ml
Injekcia Fosfomycin 20 mg/ml
0,9% chlorid sodný 3997
kompatibilný
Injekcia Colistin mesilate sodium 4.5 mg/ml
Injekcia Fosfomycin 30 mg/ml
5% glukóza 4055
kompatibilný
Injekcia Colistin mesilate sodium 4.5 mg/ml
Injekcia Fosfomycin 30 mg/ml
0,9% chlorid sodný 4055
Okamžitá zákal nezlučiteľný
Injekcia Colistin mesilate sodium 0,67 & 1,5 mg/ml
Injekcia Ibuprofen arginine 4 & 6 mg/ml
0,9% chlorid sodný 4855
kompatibilný
Injekcia Colistin mesilate sodium 1.5 mg/ml
Injekcia Imipenem - cilastatin sodium 5/5 mg/ml
0,9% chlorid sodný 3997
Okamžitá zákal nezlučiteľný
Injekcia Colistin mesilate sodium 4.5 mg/ml
Injekcia Isavuconazonium sulfate 1.5 mg/ml
5% glukóza 3829
Okamžitá zákal nezlučiteľný
Injekcia Colistin mesilate sodium 4.5 mg/ml
Injekcia Isavuconazonium sulfate 1.5 mg/ml
0,9% chlorid sodný 3829
kompatibilný
Injekcia Colistin mesilate sodium 0,67 & 1,5 mg/ml
Injekcia Ketoprofene 0,4 mg/ml
0,9% chlorid sodný 4855
kompatibilný
Injekcia Colistin mesilate sodium 1.5 mg/ml
Injekcia Linezolid 2 mg/ml
0,9% chlorid sodný 3997
kompatibilný
Injekcia Colistin mesilate sodium 75 mg/ml
Injekcia Meropenem 50 mg/ml
voda na injekciu 4319
kompatibilný
Injekcia Colistin mesilate sodium 1.5 mg/ml
Injekcia Meropenem 10 mg/ml
0,9% chlorid sodný 3997
Zmena farby nezlučiteľný
Injekcia Colistin mesilate sodium 0,67 & 1,5 mg/ml
Injekcia Metamizol sodium 50 mg/ml
0,9% chlorid sodný 4855
Modifikácia pH> 1 pH jednotka nezlučiteľný
Injekcia Colistin mesilate sodium 0,67 & 1,5 mg/ml
Injekcia Morphine sulfate 2 mg/ml
0,9% chlorid sodný 4855
kompatibilný
Injekcia Colistin mesilate sodium 0,67 & 1,5 mg/ml
Injekcia Paracetamol 10 mg/ml
0,9% chlorid sodný 4855
kompatibilný
Injekcia Colistin mesilate sodium 1.5 mg/ml
Injekcia Piperacillin sodium / tazobactam 40/0.5 mg/ml
0,9% chlorid sodný 3997
kompatibilný
Injekcia Colistin mesilate sodium 4.5 mg/ml
Injekcia Plazomicin sulfate 24 mg/ml
0,9% chlorid sodný 4145
kompatibilný
Injekcia Colistin mesilate sodium 4,5 mg/ml
Injekcia Sulbactam/durlobactam 15/15 mg/ml
0,9% chlorid sodný 4801
kompatibilný
Injekcia Colistin mesilate sodium 4.5 mg/ml
Injekcia Tedizolid phosphate 0.8 mg/ml
0,9% chlorid sodný 3827
Okamžitá zákal nezlučiteľný
Injekcia Colistin mesilate sodium 4,5 mg/ml
Injekcia Telavancin hydrochloride 7,5 mg/ml
5% glukóza 3254
Okamžitá zákal nezlučiteľný
Injekcia Colistin mesilate sodium 4,5 mg/ml
Injekcia Telavancin hydrochloride 7,5 mg/ml
Ringerov laktátový roztok 3254
kompatibilný
Injekcia Colistin mesilate sodium 4,5 mg/ml
Injekcia Telavancin hydrochloride 7,5 mg/ml
0,9% chlorid sodný 3254
kompatibilný
Injekcia Colistin mesilate sodium 0,67 & 1,5 mg/ml
Injekcia Tramadol hydrochloride 5 mg/ml
0,9% chlorid sodný 4855
kompatibilný
Injekcia Colistin mesilate sodium
0,9% chlorid sodný 4975
kompatibilný
Injekcia Colistin mesilate sodium 1.5 mg/ml
Injekcia Vancomycin hydrochloride 10 mg/ml
0,9% chlorid sodný 3997
kompatibilný
Injekcia Colistin mesilate sodium 0,8 mg/ml
Parenterálna výživa (lipidy) 4438

  Mentions Légales