Son güncelleme :
27/04/2026
Antibiyotik   Colistin mesilate sodium  
Enjeksiyon
Aerosol
Çözeltilerin stabilitesi Karışımlardaki stabilitesi Stabiliteyi etkileyen faktörler Uyumluluk Uygulama yöntemi Kaynaklar pdf
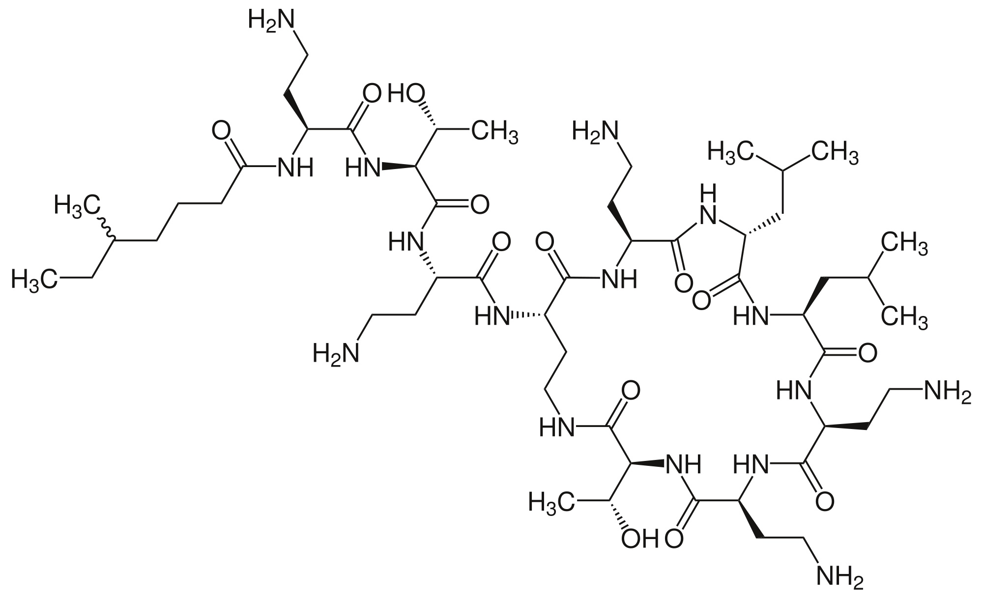
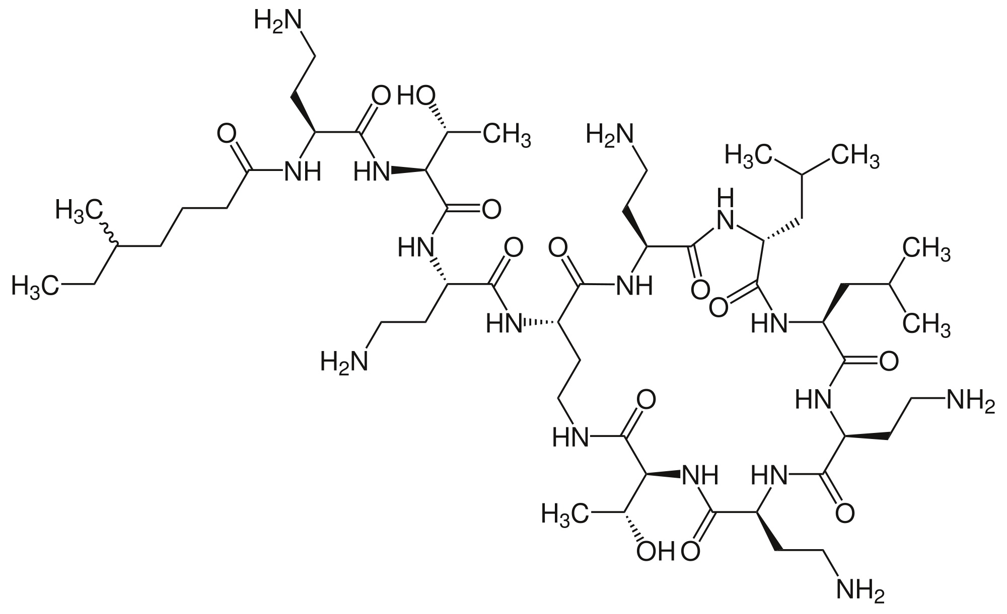
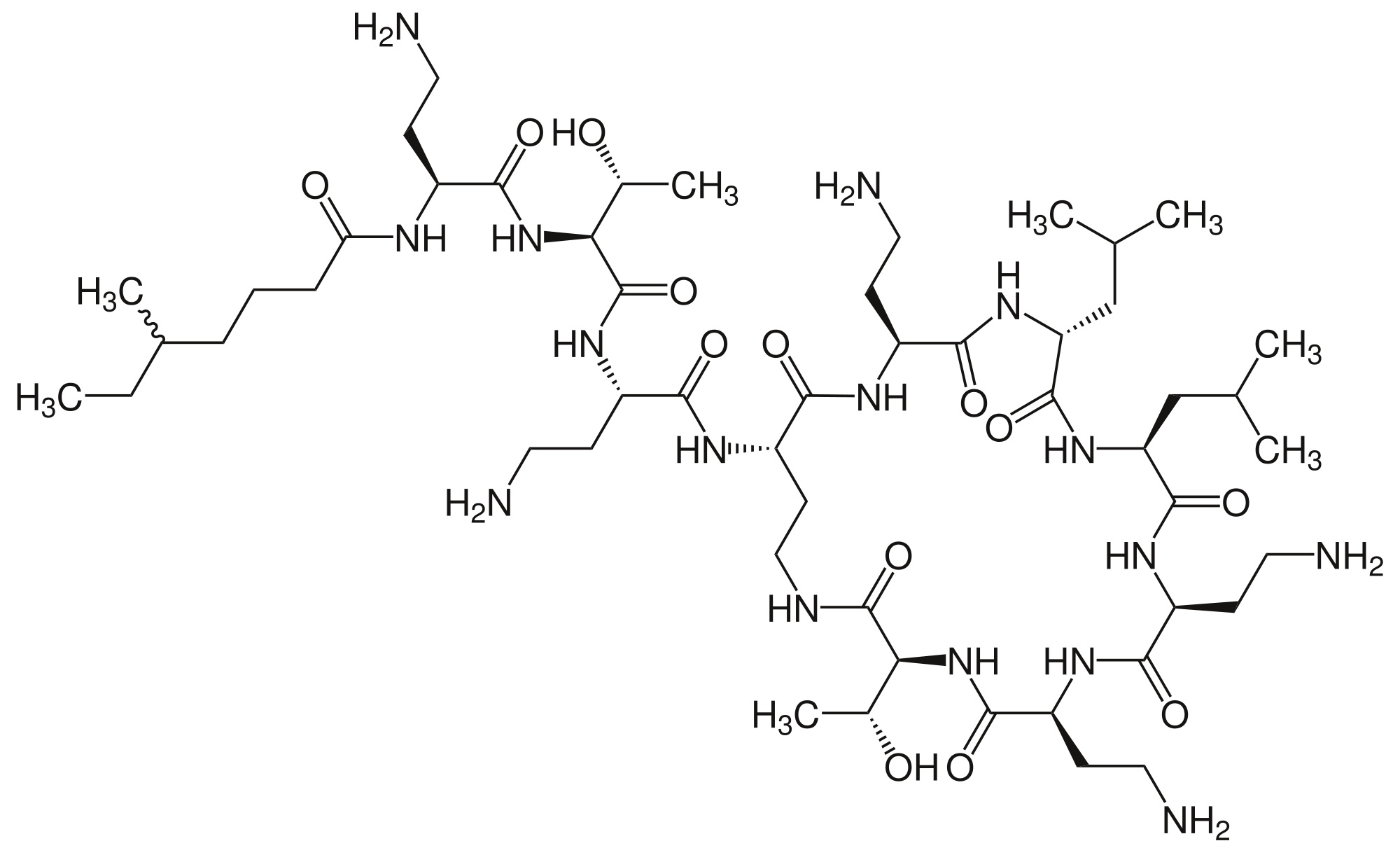
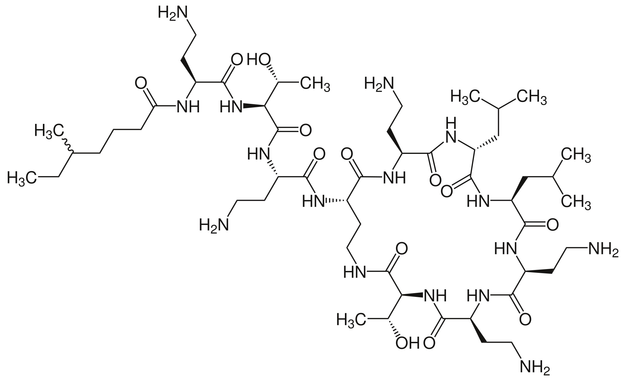
   Kimyasal yapı   

Ticari isim   Ticari isim     

Trade names are indicative and excipients composition can be different depending on the country and manufacturers

Alficetin Arjantin
Colimicina İtalya
Colimycin Danimarka, Norveç, Türkiye
Colimycine Fas, Fransa, Hollanda, Lüksemburg, Tunus
Colismet Peru
Colistimethate Amerika Birleşik Devletleri, Büyük Britanya, Fransa, Kanada
Colistin Almanya, Avusturya, Polonya, yeni Zelanda, Yunanistan
Colistina Arjantin, Portekiz, Şili
Colistineb Belçika
Colistyn Arjantin
Colixin Slovenya
Colomycin Amerika Birleşik Devletleri, Büyük Britanya, İrlanda, Kanada, Malezya
Dicupal Şili
Elistin Peru
Kolisod Türkiye
Nolisin
Promixin Almanya, Büyük Britanya, İrlanda, Norveç
Toliscrin Arjantin
Uyumluluk   Enjeksiyon    Uyumluluk : Colistin mesilate sodium              
Bu ekran, bu durumda uyumsuzluk tipiyle (çökelme, renk değişimi, bir emülsiyonun modifikasyonu, vb.) Uyumlulukları veya uyumsuzlukları gösterir. Burada gösterilen uyumluluklar çoğunlukla yalnızca fizikseldir ve her molekülün kimyasal stabilitesi nadiren değerlendirilir. Bu karışımların değerlendirilmesi, hastaya Y bölgesi uygulama olasılığını göz önünde bulundurmak için çalışıldı. Bu veriler önceden torba veya şırıngalarda karışım yapmak için kullanılamaz. Bu tür bilgiler "Karışımda stabilite" ekranında mevcuttur.
Bileşik Çözücü Kaynaklar
Uyumlu
Enjeksiyon Colistin mesilate sodium 4.5 mg/ml
Enjeksiyon Cefiderocol sulfate tosylate 20 mg/mL
Glukoz %5 4528
Uyumlu
Enjeksiyon Colistin mesilate sodium 4.5 mg/ml
Enjeksiyon Cefiderocol sulfate tosylate 20 mg/mL
Sodyum klorür % 0,9 4528
Uyumlu
Enjeksiyon Colistin mesilate sodium 1.5 mg/ml
Enjeksiyon Ceftazidime 5 mg/ml
Sodyum klorür % 0,9 3997
Uyumlu
Enjeksiyon Colistin mesilate sodium 4.5 mg/ml
Enjeksiyon Ceftolozane / tazobactam 10/5 mg/ml
Glukoz %5 3828
Uyumlu
Enjeksiyon Colistin mesilate sodium 4.5 mg/ml
Enjeksiyon Ceftolozane / tazobactam 10/5 mg/ml
Sodyum klorür % 0,9 3828
Uyumlu
Enjeksiyon Colistin mesilate sodium 1.5 mg/ml
Enjeksiyon Cimetidine hydrochloride 3 mg/ml
Glukoz %5 1201
uyumsuz
Enjeksiyon Colistin mesilate sodium
Aerosol Cromoglycate sodium
2550
Anında bulanıklık uyumsuz
Enjeksiyon Colistin mesilate sodium 4,5 mg/ml
Enjeksiyon Eravacycline 0,6 mg/ml
Sodyum klorür % 0,9 4434
Uyumlu
Enjeksiyon Colistin mesilate sodium 1.5 mg/ml
Enjeksiyon Ertapenem 5 mg/ml
Sodyum klorür % 0,9 3997
Belirtilmemiş uyumsuzluk uyumsuz
Enjeksiyon Colistin mesilate sodium
Enjeksiyon Erythromycin lactobionate
3674
Uyumlu
Enjeksiyon Colistin mesilate sodium 1.5 mg/ml
Enjeksiyon Fosfomycin 20 mg/ml
Sodyum klorür % 0,9 3997
Uyumlu
Enjeksiyon Colistin mesilate sodium 4.5 mg/ml
Enjeksiyon Fosfomycin 30 mg/ml
Glukoz %5 4055
Uyumlu
Enjeksiyon Colistin mesilate sodium 4.5 mg/ml
Enjeksiyon Fosfomycin 30 mg/ml
Sodyum klorür % 0,9 4055
Anında bulanıklık uyumsuz
Enjeksiyon Colistin mesilate sodium 0,67 & 1,5 mg/ml
Enjeksiyon Ibuprofen arginine 4 & 6 mg/ml
Sodyum klorür % 0,9 4855
Uyumlu
Enjeksiyon Colistin mesilate sodium 1.5 mg/ml
Enjeksiyon Imipenem - cilastatin sodium 5/5 mg/ml
Sodyum klorür % 0,9 3997
Anında bulanıklık uyumsuz
Enjeksiyon Colistin mesilate sodium 4.5 mg/ml
Enjeksiyon Isavuconazonium sulfate 1.5 mg/ml
Glukoz %5 3829
Anında bulanıklık uyumsuz
Enjeksiyon Colistin mesilate sodium 4.5 mg/ml
Enjeksiyon Isavuconazonium sulfate 1.5 mg/ml
Sodyum klorür % 0,9 3829
Uyumlu
Enjeksiyon Colistin mesilate sodium 0,67 & 1,5 mg/ml
Enjeksiyon Ketoprofene 0,4 mg/ml
Sodyum klorür % 0,9 4855
Uyumlu
Enjeksiyon Colistin mesilate sodium 1.5 mg/ml
Enjeksiyon Linezolid 2 mg/ml
Sodyum klorür % 0,9 3997
Uyumlu
Enjeksiyon Colistin mesilate sodium 75 mg/ml
Enjeksiyon Meropenem 50 mg/ml
Enjeksiyonluk su 4319
Uyumlu
Enjeksiyon Colistin mesilate sodium 1.5 mg/ml
Enjeksiyon Meropenem 10 mg/ml
Sodyum klorür % 0,9 3997
Renk değişimi uyumsuz
Enjeksiyon Colistin mesilate sodium 0,67 & 1,5 mg/ml
Enjeksiyon Metamizol sodium 50 mg/ml
Sodyum klorür % 0,9 4855
PH> 1 pH biriminin değiştirilmesi uyumsuz
Enjeksiyon Colistin mesilate sodium 0,67 & 1,5 mg/ml
Enjeksiyon Morphine sulfate 2 mg/ml
Sodyum klorür % 0,9 4855
Uyumlu
Enjeksiyon Colistin mesilate sodium 0,67 & 1,5 mg/ml
Enjeksiyon Paracetamol 10 mg/ml
Sodyum klorür % 0,9 4855
Uyumlu
Enjeksiyon Colistin mesilate sodium 1.5 mg/ml
Enjeksiyon Piperacillin sodium / tazobactam 40/0.5 mg/ml
Sodyum klorür % 0,9 3997
Uyumlu
Enjeksiyon Colistin mesilate sodium 4.5 mg/ml
Enjeksiyon Plazomicin sulfate 24 mg/ml
Sodyum klorür % 0,9 4145
Uyumlu
Enjeksiyon Colistin mesilate sodium 4,5 mg/ml
Enjeksiyon Sulbactam/durlobactam 15/15 mg/ml
Sodyum klorür % 0,9 4801
Uyumlu
Enjeksiyon Colistin mesilate sodium 4.5 mg/ml
Enjeksiyon Tedizolid phosphate 0.8 mg/ml
Sodyum klorür % 0,9 3827
Anında bulanıklık uyumsuz
Enjeksiyon Colistin mesilate sodium 4,5 mg/ml
Enjeksiyon Telavancin hydrochloride 7,5 mg/ml
Glukoz %5 3254
Anında bulanıklık uyumsuz
Enjeksiyon Colistin mesilate sodium 4,5 mg/ml
Enjeksiyon Telavancin hydrochloride 7,5 mg/ml
Laktatlı ringer 3254
Uyumlu
Enjeksiyon Colistin mesilate sodium 4,5 mg/ml
Enjeksiyon Telavancin hydrochloride 7,5 mg/ml
Sodyum klorür % 0,9 3254
Uyumlu
Enjeksiyon Colistin mesilate sodium 0,67 & 1,5 mg/ml
Enjeksiyon Tramadol hydrochloride 5 mg/ml
Sodyum klorür % 0,9 4855
Uyumlu
Enjeksiyon Colistin mesilate sodium
Sodyum klorür % 0,9 4975
Uyumlu
Enjeksiyon Colistin mesilate sodium 1.5 mg/ml
Enjeksiyon Vancomycin hydrochloride 10 mg/ml
Sodyum klorür % 0,9 3997
Uyumlu
Enjeksiyon Colistin mesilate sodium 0,8 mg/ml
Parenteral beslenme (Lipidler) 4438

  Mentions Légales