Laatste update :
27/04/2026
Antibioticum   Colistin mesilate sodium  
injecteerbaar geneesmiddel
Aerosol
Stabiliteit in oplossing Stabiliteit in mengsels Factoren die de stabiliteit beïnvloeden Verenigbaarheden Toedieningswijze Literatuur pdf
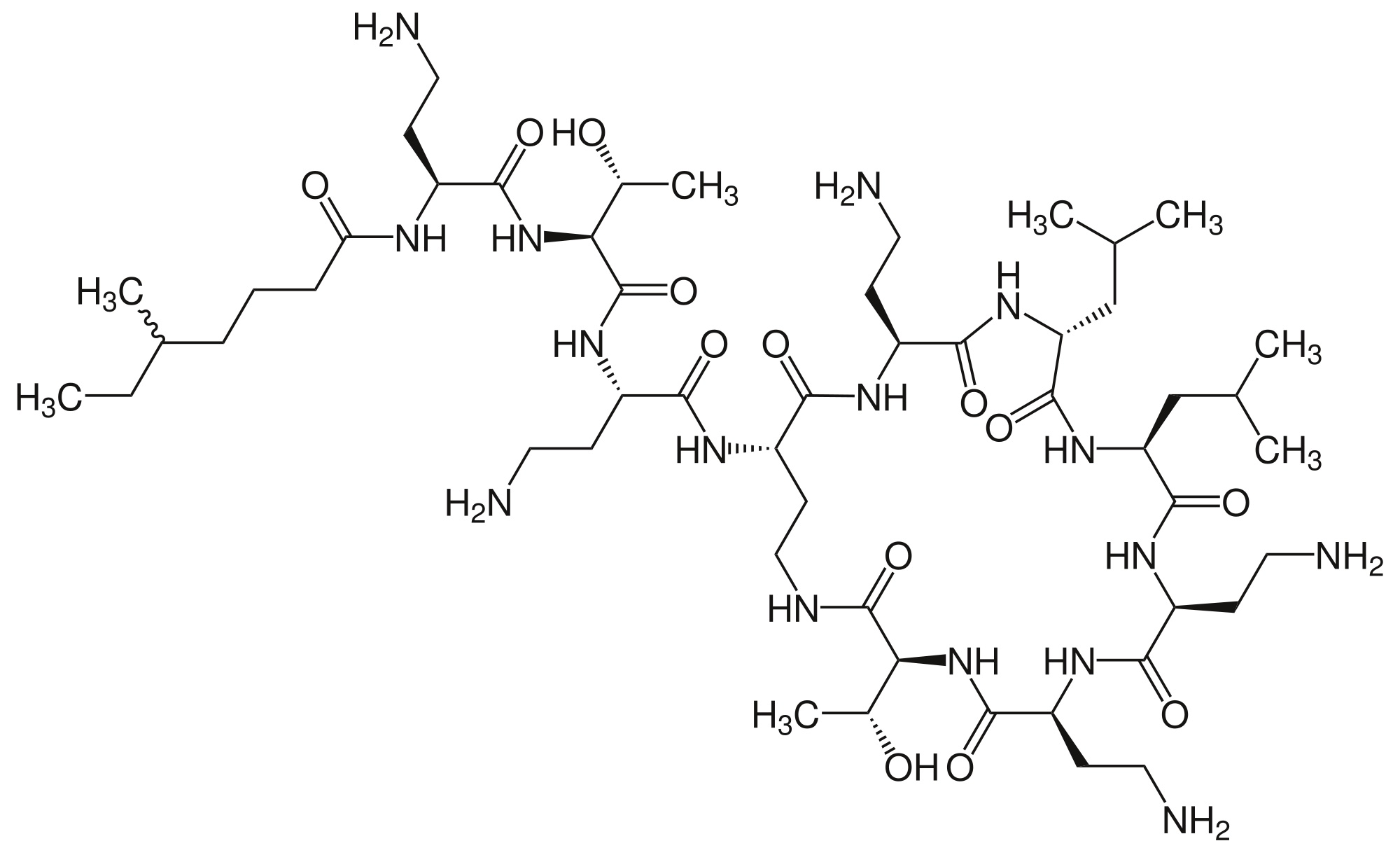
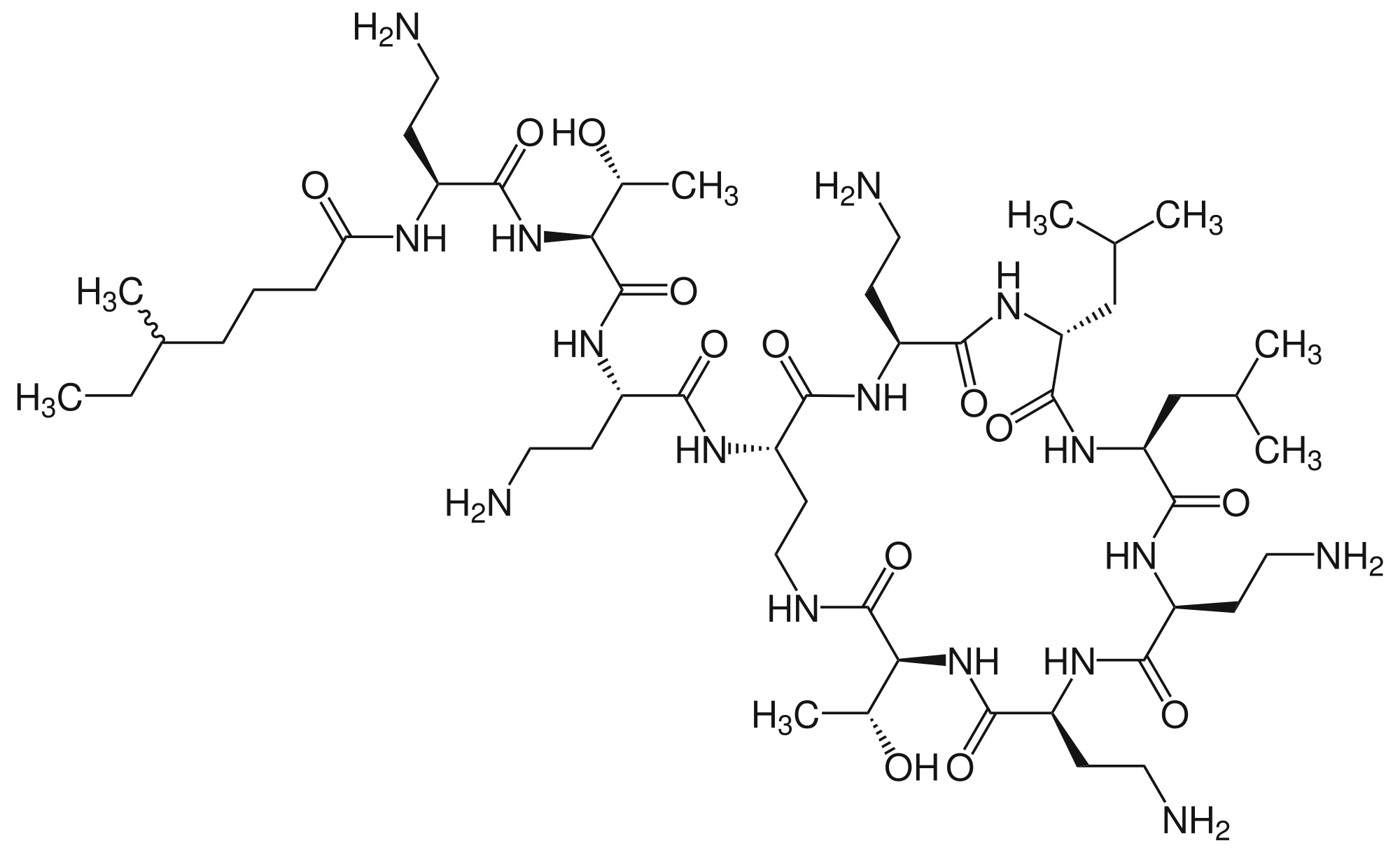
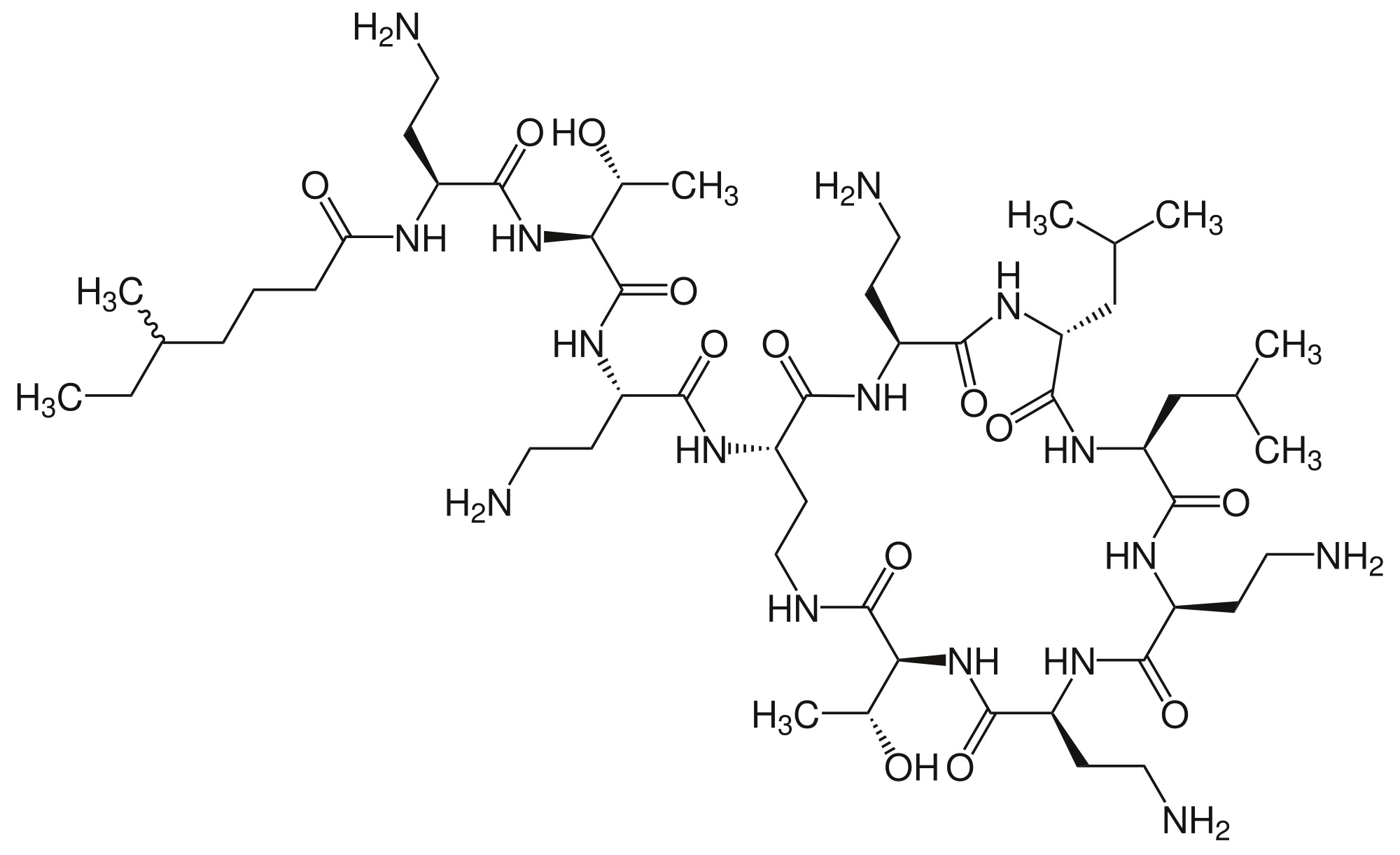
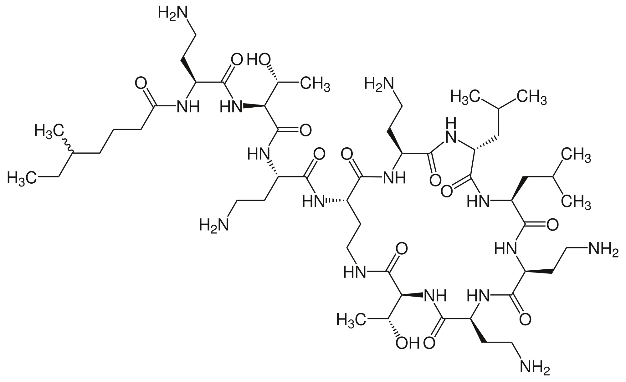
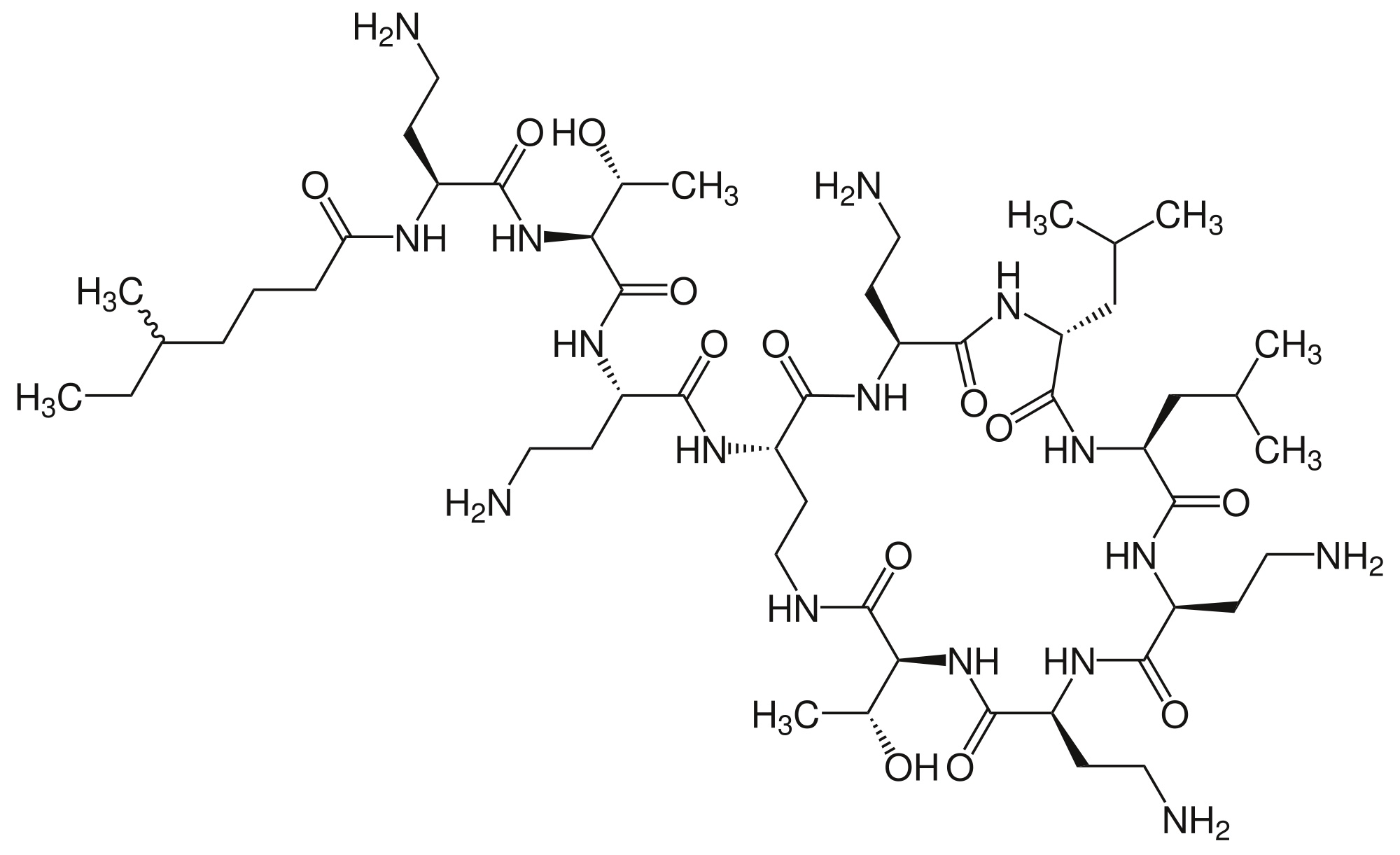
   Molecuulstructuur  

Merknamen in verschillende landen   Merknamen in verschillende landen     

Handelsnamen zijn slechts een indicatie; de samenstelling van hulpstoffen kan per land variëren afhankelijk van de fabrikant

Alficetin Argentinië
Colimicina Italië
Colimycin Denemarken, Noorwegen, Turkije
Colimycine Frankrijk, Luxemburg, Marokko, Nederland, Tunisie
Colismet Peru
Colistimethate Canada, Frankrijk, Groot Britannië, USA
Colistin Duitsland, Griekenland, nieuw Zeeland, Oostenrijk, Polen
Colistina Argentinië, Chili, Portugal
Colistineb België
Colistyn Argentinië
Colixin Slovenië
Colomycin Canada, Groot Britannië, Ierland, Maleisië, USA
Dicupal Chili
Elistin Peru
Kolisod Turkije
Nolisin
Promixin Duitsland, Groot Britannië, Ierland, Noorwegen
Toliscrin Argentinië
Verenigbaarheden   injecteerbaar geneesmiddel   Verenigbaarheden : Colistin mesilate sodium              
In dit scherm worden de verenigbaarheden en onverenigbaarheden weergegeven. In het geval van een onverenigbaarheid wordt ook het type (neerslag, kleurverandering, modificatie van een emulsie, etc) weergegeven. De weergegeven verenigbaarheden zijn meestal alleen op uiterlijk beoordeeld, er heeft zelden een chemische beoordeling van iedere component plaatsgevonden. De verenigbaarheden betreffen gelijktijdige toediening aan de patient middels de Y-site. De data kan niet gebruikt worden in de beoordeling van verenigbaarheden van componenten in infuuszakken of spuiten. Die informatie is te vinden onder ‘stabiliteit in mengsels’.
Stof Oplosmiddel Literatuur
Verenigbaar
injecteerbaar geneesmiddel Colistin mesilate sodium 4.5 mg/ml
injecteerbaar geneesmiddel Cefiderocol sulfate tosylate 20 mg/mL
Glucose 5% 4528
Verenigbaar
injecteerbaar geneesmiddel Colistin mesilate sodium 4.5 mg/ml
injecteerbaar geneesmiddel Cefiderocol sulfate tosylate 20 mg/mL
Natriumchloride 0,9% 4528
Verenigbaar
injecteerbaar geneesmiddel Colistin mesilate sodium 1.5 mg/ml
injecteerbaar geneesmiddel Ceftazidime 5 mg/ml
Natriumchloride 0,9% 3997
Verenigbaar
injecteerbaar geneesmiddel Colistin mesilate sodium 4.5 mg/ml
injecteerbaar geneesmiddel Ceftolozane / tazobactam 10/5 mg/ml
Glucose 5% 3828
Verenigbaar
injecteerbaar geneesmiddel Colistin mesilate sodium 4.5 mg/ml
injecteerbaar geneesmiddel Ceftolozane / tazobactam 10/5 mg/ml
Natriumchloride 0,9% 3828
Verenigbaar
injecteerbaar geneesmiddel Colistin mesilate sodium 1.5 mg/ml
injecteerbaar geneesmiddel Cimetidine hydrochloride 3 mg/ml
Glucose 5% 1201
Onverenigbaar
injecteerbaar geneesmiddel Colistin mesilate sodium
Aerosol Cromoglycate sodium
2550
Onmiddellijke troebelheid Onverenigbaar
injecteerbaar geneesmiddel Colistin mesilate sodium 4,5 mg/ml
injecteerbaar geneesmiddel Eravacycline 0,6 mg/ml
Natriumchloride 0,9% 4434
Verenigbaar
injecteerbaar geneesmiddel Colistin mesilate sodium 1.5 mg/ml
injecteerbaar geneesmiddel Ertapenem 5 mg/ml
Natriumchloride 0,9% 3997
Niet-gespecificeerde incompatibiliteit Onverenigbaar
injecteerbaar geneesmiddel Colistin mesilate sodium
injecteerbaar geneesmiddel Erythromycin lactobionate
3674
Verenigbaar
injecteerbaar geneesmiddel Colistin mesilate sodium 1.5 mg/ml
injecteerbaar geneesmiddel Fosfomycin 20 mg/ml
Natriumchloride 0,9% 3997
Verenigbaar
injecteerbaar geneesmiddel Colistin mesilate sodium 4.5 mg/ml
injecteerbaar geneesmiddel Fosfomycin 30 mg/ml
Glucose 5% 4055
Verenigbaar
injecteerbaar geneesmiddel Colistin mesilate sodium 4.5 mg/ml
injecteerbaar geneesmiddel Fosfomycin 30 mg/ml
Natriumchloride 0,9% 4055
Onmiddellijke troebelheid Onverenigbaar
injecteerbaar geneesmiddel Colistin mesilate sodium 0,67 & 1,5 mg/ml
injecteerbaar geneesmiddel Ibuprofen arginine 4 & 6 mg/ml
Natriumchloride 0,9% 4855
Verenigbaar
injecteerbaar geneesmiddel Colistin mesilate sodium 1.5 mg/ml
injecteerbaar geneesmiddel Imipenem - cilastatin sodium 5/5 mg/ml
Natriumchloride 0,9% 3997
Onmiddellijke troebelheid Onverenigbaar
injecteerbaar geneesmiddel Colistin mesilate sodium 4.5 mg/ml
injecteerbaar geneesmiddel Isavuconazonium sulfate 1.5 mg/ml
Glucose 5% 3829
Onmiddellijke troebelheid Onverenigbaar
injecteerbaar geneesmiddel Colistin mesilate sodium 4.5 mg/ml
injecteerbaar geneesmiddel Isavuconazonium sulfate 1.5 mg/ml
Natriumchloride 0,9% 3829
Verenigbaar
injecteerbaar geneesmiddel Colistin mesilate sodium 0,67 & 1,5 mg/ml
injecteerbaar geneesmiddel Ketoprofene 0,4 mg/ml
Natriumchloride 0,9% 4855
Verenigbaar
injecteerbaar geneesmiddel Colistin mesilate sodium 1.5 mg/ml
injecteerbaar geneesmiddel Linezolid 2 mg/ml
Natriumchloride 0,9% 3997
Verenigbaar
injecteerbaar geneesmiddel Colistin mesilate sodium 75 mg/ml
injecteerbaar geneesmiddel Meropenem 50 mg/ml
Water voor injectie 4319
Verenigbaar
injecteerbaar geneesmiddel Colistin mesilate sodium 1.5 mg/ml
injecteerbaar geneesmiddel Meropenem 10 mg/ml
Natriumchloride 0,9% 3997
Kleur verandering Onverenigbaar
injecteerbaar geneesmiddel Colistin mesilate sodium 0,67 & 1,5 mg/ml
injecteerbaar geneesmiddel Metamizol sodium 50 mg/ml
Natriumchloride 0,9% 4855
Wijziging van pH> 1 pH-eenheid Onverenigbaar
injecteerbaar geneesmiddel Colistin mesilate sodium 0,67 & 1,5 mg/ml
injecteerbaar geneesmiddel Morphine sulfate 2 mg/ml
Natriumchloride 0,9% 4855
Verenigbaar
injecteerbaar geneesmiddel Colistin mesilate sodium 0,67 & 1,5 mg/ml
injecteerbaar geneesmiddel Paracetamol 10 mg/ml
Natriumchloride 0,9% 4855
Verenigbaar
injecteerbaar geneesmiddel Colistin mesilate sodium 1.5 mg/ml
injecteerbaar geneesmiddel Piperacillin sodium / tazobactam 40/0.5 mg/ml
Natriumchloride 0,9% 3997
Verenigbaar
injecteerbaar geneesmiddel Colistin mesilate sodium 4.5 mg/ml
injecteerbaar geneesmiddel Plazomicin sulfate 24 mg/ml
Natriumchloride 0,9% 4145
Verenigbaar
injecteerbaar geneesmiddel Colistin mesilate sodium 4,5 mg/ml
injecteerbaar geneesmiddel Sulbactam/durlobactam 15/15 mg/ml
Natriumchloride 0,9% 4801
Verenigbaar
injecteerbaar geneesmiddel Colistin mesilate sodium 4.5 mg/ml
injecteerbaar geneesmiddel Tedizolid phosphate 0.8 mg/ml
Natriumchloride 0,9% 3827
Onmiddellijke troebelheid Onverenigbaar
injecteerbaar geneesmiddel Colistin mesilate sodium 4,5 mg/ml
injecteerbaar geneesmiddel Telavancin hydrochloride 7,5 mg/ml
Glucose 5% 3254
Onmiddellijke troebelheid Onverenigbaar
injecteerbaar geneesmiddel Colistin mesilate sodium 4,5 mg/ml
injecteerbaar geneesmiddel Telavancin hydrochloride 7,5 mg/ml
Ringer-lactaat 3254
Verenigbaar
injecteerbaar geneesmiddel Colistin mesilate sodium 4,5 mg/ml
injecteerbaar geneesmiddel Telavancin hydrochloride 7,5 mg/ml
Natriumchloride 0,9% 3254
Verenigbaar
injecteerbaar geneesmiddel Colistin mesilate sodium 0,67 & 1,5 mg/ml
injecteerbaar geneesmiddel Tramadol hydrochloride 5 mg/ml
Natriumchloride 0,9% 4855
Verenigbaar
injecteerbaar geneesmiddel Colistin mesilate sodium
Natriumchloride 0,9% 4975
Verenigbaar
injecteerbaar geneesmiddel Colistin mesilate sodium 1.5 mg/ml
injecteerbaar geneesmiddel Vancomycin hydrochloride 10 mg/ml
Natriumchloride 0,9% 3997
Verenigbaar
injecteerbaar geneesmiddel Colistin mesilate sodium 0,8 mg/ml
Parenterale voeding (met lipiden) 4438

  Mentions Légales