Останнє оновлення :
27/04/2026
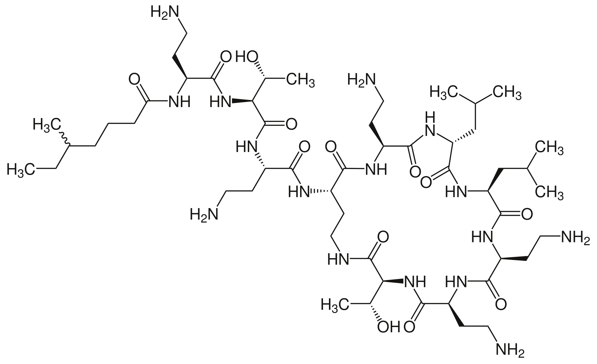
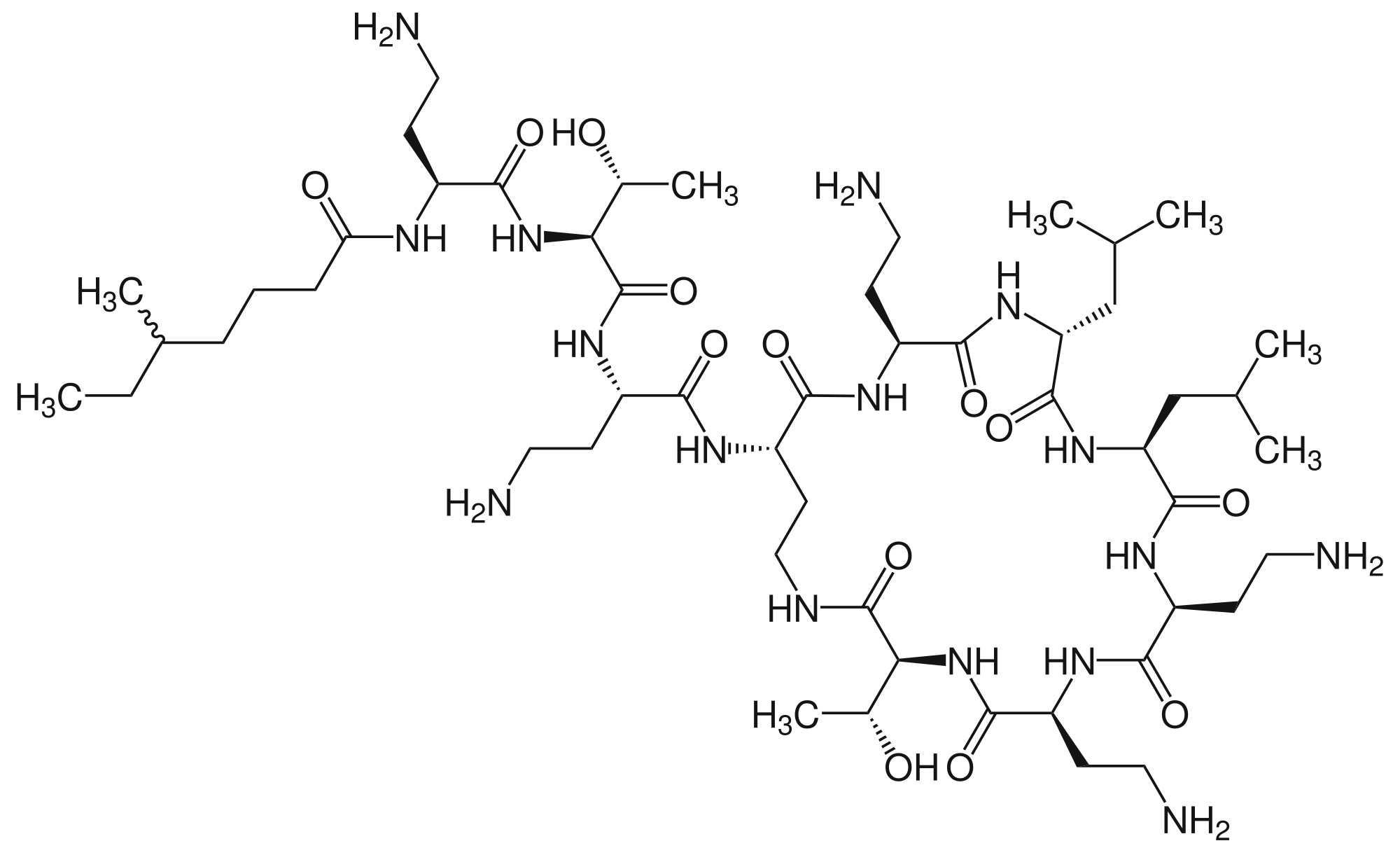
Антибіотик   Colistin mesilate sodium  
ін'єкція
аерозоль
Стійкість в розчинах Стійкість сумішей Фактори, що впливають на стабільність Сумісність Шлях введення Список літератури pdf
   Хімічна структура  

Торгова назва   Торгова назва     

Торгові назви є орієнтовними, а склад допоміжних речовин може бути різним залежно від країни та виробника

Alficetin Аргентина
Colimicina Італія
Colimycin Данія, Норвегія, Туреччина
Colimycine Люксембург, Марокко, Нідерланди, Туніс, Франція
Colismet Перу
Colistimethate Великобританія, Канада, Сполучені Штати Америки, Франція
Colistin Австрія, Греція, Німеччина, Нова Зеландія, Польща
Colistina Аргентина, Португалія, Чилі
Colistineb Бельгія
Colistyn Аргентина
Colixin Словенія
Colomycin Ірландія, Великобританія, Канада, Малайзія, Сполучені Штати Америки
Dicupal Чилі
Elistin Перу
Kolisod Туреччина
Nolisin
Promixin Ірландія, Великобританія, Німеччина, Норвегія
Toliscrin Аргентина
Сумісність   ін'єкція   Сумісність : Colistin mesilate sodium              
explication_incompatibilite_molecules
З'єднання Розчинник Список літератури
сумісний
ін'єкція Colistin mesilate sodium 4.5 mg/ml
ін'єкція Cefiderocol sulfate tosylate 20 mg/mL
Глюкоза 5% 4528
сумісний
ін'єкція Colistin mesilate sodium 4.5 mg/ml
ін'єкція Cefiderocol sulfate tosylate 20 mg/mL
Натрію хлорид 0,9% 4528
сумісний
ін'єкція Colistin mesilate sodium 1.5 mg/ml
ін'єкція Ceftazidime 5 mg/ml
Натрію хлорид 0,9% 3997
сумісний
ін'єкція Colistin mesilate sodium 4.5 mg/ml
ін'єкція Ceftolozane / tazobactam 10/5 mg/ml
Глюкоза 5% 3828
сумісний
ін'єкція Colistin mesilate sodium 4.5 mg/ml
ін'єкція Ceftolozane / tazobactam 10/5 mg/ml
Натрію хлорид 0,9% 3828
сумісний
ін'єкція Colistin mesilate sodium 1.5 mg/ml
ін'єкція Cimetidine hydrochloride 3 mg/ml
Глюкоза 5% 1201
Несумісні
ін'єкція Colistin mesilate sodium
аерозоль Cromoglycate sodium
2550
Негайне помутніння Несумісні
ін'єкція Colistin mesilate sodium 4,5 mg/ml
ін'єкція Eravacycline 0,6 mg/ml
Натрію хлорид 0,9% 4434
сумісний
ін'єкція Colistin mesilate sodium 1.5 mg/ml
ін'єкція Ertapenem 5 mg/ml
Натрію хлорид 0,9% 3997
Неуточнена несумісність Несумісні
ін'єкція Colistin mesilate sodium
ін'єкція Erythromycin lactobionate
3674
сумісний
ін'єкція Colistin mesilate sodium 1.5 mg/ml
ін'єкція Fosfomycin 20 mg/ml
Натрію хлорид 0,9% 3997
сумісний
ін'єкція Colistin mesilate sodium 4.5 mg/ml
ін'єкція Fosfomycin 30 mg/ml
Глюкоза 5% 4055
сумісний
ін'єкція Colistin mesilate sodium 4.5 mg/ml
ін'єкція Fosfomycin 30 mg/ml
Натрію хлорид 0,9% 4055
Негайне помутніння Несумісні
ін'єкція Colistin mesilate sodium 0,67 & 1,5 mg/ml
ін'єкція Ibuprofen arginine 4 & 6 mg/ml
Натрію хлорид 0,9% 4855
сумісний
ін'єкція Colistin mesilate sodium 1.5 mg/ml
ін'єкція Imipenem - cilastatin sodium 5/5 mg/ml
Натрію хлорид 0,9% 3997
Негайне помутніння Несумісні
ін'єкція Colistin mesilate sodium 4.5 mg/ml
ін'єкція Isavuconazonium sulfate 1.5 mg/ml
Глюкоза 5% 3829
Негайне помутніння Несумісні
ін'єкція Colistin mesilate sodium 4.5 mg/ml
ін'єкція Isavuconazonium sulfate 1.5 mg/ml
Натрію хлорид 0,9% 3829
сумісний
ін'єкція Colistin mesilate sodium 0,67 & 1,5 mg/ml
ін'єкція Ketoprofene 0,4 mg/ml
Натрію хлорид 0,9% 4855
сумісний
ін'єкція Colistin mesilate sodium 1.5 mg/ml
ін'єкція Linezolid 2 mg/ml
Натрію хлорид 0,9% 3997
сумісний
ін'єкція Colistin mesilate sodium 75 mg/ml
ін'єкція Meropenem 50 mg/ml
Вода для ін'єкцій 4319
сумісний
ін'єкція Colistin mesilate sodium 1.5 mg/ml
ін'єкція Meropenem 10 mg/ml
Натрію хлорид 0,9% 3997
Зміна кольору Несумісні
ін'єкція Colistin mesilate sodium 0,67 & 1,5 mg/ml
ін'єкція Metamizol sodium 50 mg/ml
Натрію хлорид 0,9% 4855
Модифікація pH > 1 одиниці pH Несумісні
ін'єкція Colistin mesilate sodium 0,67 & 1,5 mg/ml
ін'єкція Morphine sulfate 2 mg/ml
Натрію хлорид 0,9% 4855
сумісний
ін'єкція Colistin mesilate sodium 0,67 & 1,5 mg/ml
ін'єкція Paracetamol 10 mg/ml
Натрію хлорид 0,9% 4855
сумісний
ін'єкція Colistin mesilate sodium 1.5 mg/ml
ін'єкція Piperacillin sodium / tazobactam 40/0.5 mg/ml
Натрію хлорид 0,9% 3997
сумісний
ін'єкція Colistin mesilate sodium 4.5 mg/ml
ін'єкція Plazomicin sulfate 24 mg/ml
Натрію хлорид 0,9% 4145
сумісний
ін'єкція Colistin mesilate sodium 4,5 mg/ml
ін'єкція Sulbactam/durlobactam 15/15 mg/ml
Натрію хлорид 0,9% 4801
сумісний
ін'єкція Colistin mesilate sodium 4.5 mg/ml
ін'єкція Tedizolid phosphate 0.8 mg/ml
Натрію хлорид 0,9% 3827
Негайне помутніння Несумісні
ін'єкція Colistin mesilate sodium 4,5 mg/ml
ін'єкція Telavancin hydrochloride 7,5 mg/ml
Глюкоза 5% 3254
Негайне помутніння Несумісні
ін'єкція Colistin mesilate sodium 4,5 mg/ml
ін'єкція Telavancin hydrochloride 7,5 mg/ml
Розчин лактату Рінгера 3254
сумісний
ін'єкція Colistin mesilate sodium 4,5 mg/ml
ін'єкція Telavancin hydrochloride 7,5 mg/ml
Натрію хлорид 0,9% 3254
сумісний
ін'єкція Colistin mesilate sodium 0,67 & 1,5 mg/ml
ін'єкція Tramadol hydrochloride 5 mg/ml
Натрію хлорид 0,9% 4855
сумісний
ін'єкція Colistin mesilate sodium
Натрію хлорид 0,9% 4975
сумісний
ін'єкція Colistin mesilate sodium 1.5 mg/ml
ін'єкція Vancomycin hydrochloride 10 mg/ml
Натрію хлорид 0,9% 3997
сумісний
ін'єкція Colistin mesilate sodium 0,8 mg/ml
Парентеральне харчування (ліпідами) 4438

  Mentions Légales