Utolsó frissítés :
27/11/2025
Antibiotikum   Colistin mesilate sodium  
Injekció
aeroszol
Az oldatok stabilitása A keverékek stabilitása Stabilitást befolyásoló tényezők Kompatibilitás Az alkalmazás módja Irodalom pdf
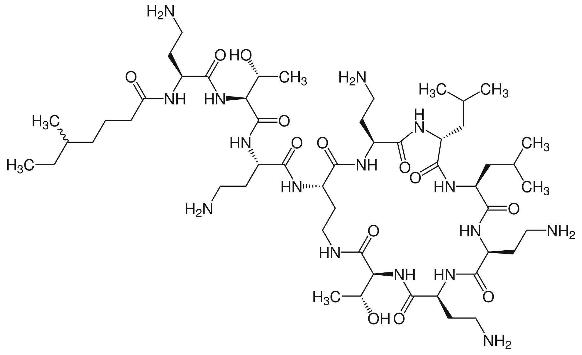
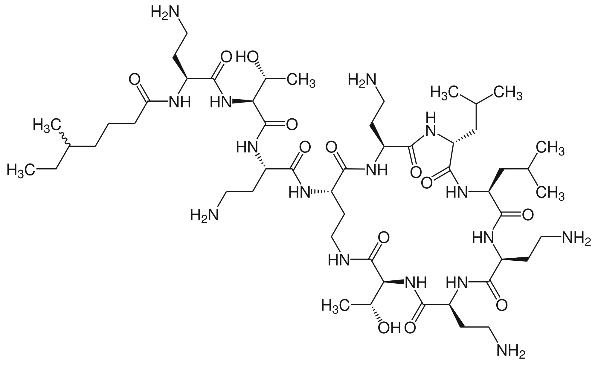
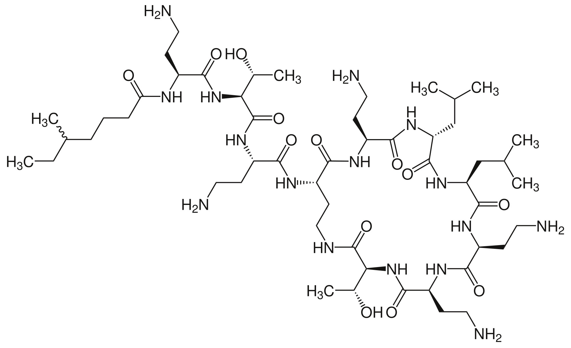
   Kémiai szerkezet   

Kereskedelmi név   Kereskedelmi név     

A kereskedelmi név meghatározó jelentőségű: a készítmények összetétele országonként, előállítóként eltérő lehet

Alficetin Argentína
Colimicina Olaszország
Colimycin Dánia, Norvégia, Törökország
Colimycine Franciaország, Hollandia, Luxemburg, Marokkó, Tunézia
Colismet Peru
Colistimethate Amerikai Egyesült Államok, Franciaország, Kanada, Nagy-Britannia
Colistin Ausztria, Görögország, Lengyelország, Németország, új-Zéland
Colistina Argentína, Chile, Portugália
Colistineb Belgium
Colistyn Argentína
Colixin Szlovénia
Colomycin Amerikai Egyesült Államok, Írország, Kanada, Malaysia, Nagy-Britannia
Dicupal Chile
Elistin Peru
Kolisod Törökország
Nolisin
Promixin Írország, Nagy-Britannia, Németország, Norvégia
Toliscrin Argentína

Stabilitást befolyásoló tényezők   Injekció   Stabilitást befolyásoló tényezők : Colistin mesilate sodium        

  Mentions Légales