最新更新 :
27/04/2026
抗菌薬   Colistin mesilate sodium  
注射薬
エアロゾル
溶媒内の安定性 混合時の安定性 安定性に影響する因子 互換性 投与経路 引用文献 PDF
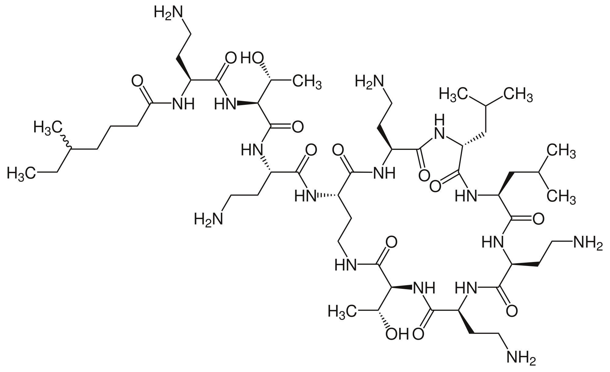
   化学構造  

商品名   商品名     

商品名、賦形剤は国、製薬会社ごとに異なることがあります

Alficetin アルゼンチン
Colimicina イタリア
Colimycin デンマーク, トルコ, ノルウェー
Colimycine オランダ, チュニジア, フランス, モロッコ, ルクセンブルグ
Colismet ペルー
Colistimethate アメリカ, イギリス, カナダ, フランス
Colistin オーストリア, ギリシア, ドイツ, ニュージーランド, ポーランド
Colistina アルゼンチン, チリ, ポルトガル
Colistineb ベルギー
Colistyn アルゼンチン
Colixin スロベニア
Colomycin アイルランド, アメリカ, イギリス, カナダ, マレーシア
Dicupal チリ
Elistin ペルー
Kolisod トルコ
Nolisin
Promixin アイルランド, イギリス, ドイツ, ノルウェー
Toliscrin アルゼンチン
互換性   注射薬   互換性 : Colistin mesilate sodium              
This screen indicates the compatibilities or incompatibilities with, in this case, the type of incompatibility (precipitation, color change, modification of an emulsion, etc.). The compatibilities shown here are mostly physical only, with the chemical stability of each molecule rarely being assessed. The evaluation of these mixtures was studied to consider the possibility of Y-site administration to the patient. These data cannot be used for making mixtures in advance in bags or syringes. This type of information is available in the screen "Stability in mixture ».
化合物 溶媒 引用文献
対応
注射薬 Colistin mesilate sodium 4.5 mg/ml
注射薬 Cefiderocol sulfate tosylate 20 mg/mL
グルコース5% 4528
対応
注射薬 Colistin mesilate sodium 4.5 mg/ml
注射薬 Cefiderocol sulfate tosylate 20 mg/mL
NaCl 0,9% 4528
対応
注射薬 Colistin mesilate sodium 1.5 mg/ml
注射薬 Ceftazidime 5 mg/ml
NaCl 0,9% 3997
対応
注射薬 Colistin mesilate sodium 4.5 mg/ml
注射薬 Ceftolozane / tazobactam 10/5 mg/ml
グルコース5% 3828
対応
注射薬 Colistin mesilate sodium 4.5 mg/ml
注射薬 Ceftolozane / tazobactam 10/5 mg/ml
NaCl 0,9% 3828
対応
注射薬 Colistin mesilate sodium 1.5 mg/ml
注射薬 Cimetidine hydrochloride 3 mg/ml
グルコース5% 1201
非互換
注射薬 Colistin mesilate sodium
エアロゾル Cromoglycate sodium
2550
すぐに濁り 非互換
注射薬 Colistin mesilate sodium 4,5 mg/ml
注射薬 Eravacycline 0,6 mg/ml
NaCl 0,9% 4434
対応
注射薬 Colistin mesilate sodium 1.5 mg/ml
注射薬 Ertapenem 5 mg/ml
NaCl 0,9% 3997
不特定の非互換性 非互換
注射薬 Colistin mesilate sodium
注射薬 Erythromycin lactobionate
3674
対応
注射薬 Colistin mesilate sodium 1.5 mg/ml
注射薬 Fosfomycin 20 mg/ml
NaCl 0,9% 3997
対応
注射薬 Colistin mesilate sodium 4.5 mg/ml
注射薬 Fosfomycin 30 mg/ml
グルコース5% 4055
対応
注射薬 Colistin mesilate sodium 4.5 mg/ml
注射薬 Fosfomycin 30 mg/ml
NaCl 0,9% 4055
すぐに濁り 非互換
注射薬 Colistin mesilate sodium 0,67 & 1,5 mg/ml
注射薬 Ibuprofen arginine 4 & 6 mg/ml
NaCl 0,9% 4855
対応
注射薬 Colistin mesilate sodium 1.5 mg/ml
注射薬 Imipenem - cilastatin sodium 5/5 mg/ml
NaCl 0,9% 3997
すぐに濁り 非互換
注射薬 Colistin mesilate sodium 4.5 mg/ml
注射薬 Isavuconazonium sulfate 1.5 mg/ml
グルコース5% 3829
すぐに濁り 非互換
注射薬 Colistin mesilate sodium 4.5 mg/ml
注射薬 Isavuconazonium sulfate 1.5 mg/ml
NaCl 0,9% 3829
対応
注射薬 Colistin mesilate sodium 0,67 & 1,5 mg/ml
注射薬 Ketoprofene 0,4 mg/ml
NaCl 0,9% 4855
対応
注射薬 Colistin mesilate sodium 1.5 mg/ml
注射薬 Linezolid 2 mg/ml
NaCl 0,9% 3997
対応
注射薬 Colistin mesilate sodium 75 mg/ml
注射薬 Meropenem 50 mg/ml
注射用水 4319
対応
注射薬 Colistin mesilate sodium 1.5 mg/ml
注射薬 Meropenem 10 mg/ml
NaCl 0,9% 3997
色変更 非互換
注射薬 Colistin mesilate sodium 0,67 & 1,5 mg/ml
注射薬 Metamizol sodium 50 mg/ml
NaCl 0,9% 4855
pH> 1pH単位の変更 非互換
注射薬 Colistin mesilate sodium 0,67 & 1,5 mg/ml
注射薬 Morphine sulfate 2 mg/ml
NaCl 0,9% 4855
対応
注射薬 Colistin mesilate sodium 0,67 & 1,5 mg/ml
注射薬 Paracetamol 10 mg/ml
NaCl 0,9% 4855
対応
注射薬 Colistin mesilate sodium 1.5 mg/ml
注射薬 Piperacillin sodium / tazobactam 40/0.5 mg/ml
NaCl 0,9% 3997
対応
注射薬 Colistin mesilate sodium 4.5 mg/ml
注射薬 Plazomicin sulfate 24 mg/ml
NaCl 0,9% 4145
対応
注射薬 Colistin mesilate sodium 4,5 mg/ml
注射薬 Sulbactam/durlobactam 15/15 mg/ml
NaCl 0,9% 4801
対応
注射薬 Colistin mesilate sodium 4.5 mg/ml
注射薬 Tedizolid phosphate 0.8 mg/ml
NaCl 0,9% 3827
すぐに濁り 非互換
注射薬 Colistin mesilate sodium 4,5 mg/ml
注射薬 Telavancin hydrochloride 7,5 mg/ml
グルコース5% 3254
すぐに濁り 非互換
注射薬 Colistin mesilate sodium 4,5 mg/ml
注射薬 Telavancin hydrochloride 7,5 mg/ml
乳酸リンゲル 3254
対応
注射薬 Colistin mesilate sodium 4,5 mg/ml
注射薬 Telavancin hydrochloride 7,5 mg/ml
NaCl 0,9% 3254
対応
注射薬 Colistin mesilate sodium 0,67 & 1,5 mg/ml
注射薬 Tramadol hydrochloride 5 mg/ml
NaCl 0,9% 4855
対応
注射薬 Colistin mesilate sodium
NaCl 0,9% 4975
対応
注射薬 Colistin mesilate sodium 1.5 mg/ml
注射薬 Vancomycin hydrochloride 10 mg/ml
NaCl 0,9% 3997
対応
注射薬 Colistin mesilate sodium 0,8 mg/ml
非経口的栄養(脂肪含む) 4438

  Mentions Légales