Última actualização :
27/04/2026
antibiótico   Colistin mesilate sodium  
injetável
aerossol
Estabilidade em soluções simples Estabilidade em misturas Factores que afectam a sua estabilidade Compatibilidade Método de administração Bibliografía pdf
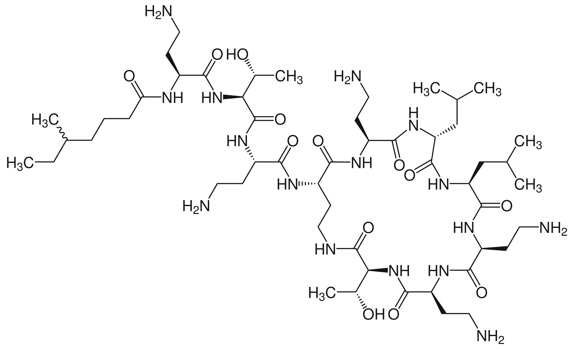
   estrutura química  

Nomes comerciais nos diversos países   Nomes comerciais nos diversos países     

OS NOMES COMERCIAIS SÃO INDICATIVOS E OS EXCIPIENTES DA FORMULAÇÃO PODEM SER DIFERENTES CONFORME O PAÍS E FABRICANTE.

Alficetin Argentina
Colimicina Itália
Colimycin Dinamarca, Noruega, Turquia
Colimycine França, Luxemburgo, Marrocos, Países Baixos, Tunísia
Colismet Peru
Colistimethate Canadá, Estados Unidos de América, França, Gran-bretanha
Colistin Alemanha, Austria, Grècia, nova Zelândia, Polonia
Colistina Argentina, Chilli, Portugal
Colistineb Bélgica
Colistyn Argentina
Colixin Eslovenia
Colomycin Canadá, Estados Unidos de América, Gran-bretanha, Irlanda, Malásia
Dicupal Chilli
Elistin Peru
Kolisod Turquia
Nolisin
Promixin Alemanha, Gran-bretanha, Irlanda, Noruega
Toliscrin Argentina
Compatibilidade   injetável   Compatibilidade : Colistin mesilate sodium              
Este ecrã indica as compatibilidades ou incompatibilidades com, neste caso, o tipo de incompatibilidade (precipitação, mudança de cor, modificação de uma emulsão, etc.). As compatibilidades mostradas aqui são principalmente físicas, com a estabilidade química de cada molécula raramente sendo avaliada. A avaliação dessas misturas foi estudada para considerar a possibilidade de administração do local Y ao paciente. Estes dados não podem ser usados para fazer misturas antecipadamente em sacos ou seringas. Este tipo de informação está disponível na tela “Estabilidade na mistura».
molécula Solvente Bibliografia
Compatível
injetável Colistin mesilate sodium 4.5 mg/ml
injetável Cefiderocol sulfate tosylate 20 mg/mL
Glucose 5% 4528
Compatível
injetável Colistin mesilate sodium 4.5 mg/ml
injetável Cefiderocol sulfate tosylate 20 mg/mL
cloreto de sódio 0,9% 4528
Compatível
injetável Colistin mesilate sodium 1.5 mg/ml
injetável Ceftazidime 5 mg/ml
cloreto de sódio 0,9% 3997
Compatível
injetável Colistin mesilate sodium 4.5 mg/ml
injetável Ceftolozane / tazobactam 10/5 mg/ml
Glucose 5% 3828
Compatível
injetável Colistin mesilate sodium 4.5 mg/ml
injetável Ceftolozane / tazobactam 10/5 mg/ml
cloreto de sódio 0,9% 3828
Compatível
injetável Colistin mesilate sodium 1.5 mg/ml
injetável Cimetidine hydrochloride 3 mg/ml
Glucose 5% 1201
Incompatível
injetável Colistin mesilate sodium
aerossol Cromoglycate sodium
2550
Turvação imediata Incompatível
injetável Colistin mesilate sodium 4,5 mg/ml
injetável Eravacycline 0,6 mg/ml
cloreto de sódio 0,9% 4434
Compatível
injetável Colistin mesilate sodium 1.5 mg/ml
injetável Ertapenem 5 mg/ml
cloreto de sódio 0,9% 3997
Incompatibilidade não especificada Incompatível
injetável Colistin mesilate sodium
injetável Erythromycin lactobionate
3674
Compatível
injetável Colistin mesilate sodium 1.5 mg/ml
injetável Fosfomycin 20 mg/ml
cloreto de sódio 0,9% 3997
Compatível
injetável Colistin mesilate sodium 4.5 mg/ml
injetável Fosfomycin 30 mg/ml
Glucose 5% 4055
Compatível
injetável Colistin mesilate sodium 4.5 mg/ml
injetável Fosfomycin 30 mg/ml
cloreto de sódio 0,9% 4055
Turvação imediata Incompatível
injetável Colistin mesilate sodium 0,67 & 1,5 mg/ml
injetável Ibuprofen arginine 4 & 6 mg/ml
cloreto de sódio 0,9% 4855
Compatível
injetável Colistin mesilate sodium 1.5 mg/ml
injetável Imipenem - cilastatin sodium 5/5 mg/ml
cloreto de sódio 0,9% 3997
Turvação imediata Incompatível
injetável Colistin mesilate sodium 4.5 mg/ml
injetável Isavuconazonium sulfate 1.5 mg/ml
Glucose 5% 3829
Turvação imediata Incompatível
injetável Colistin mesilate sodium 4.5 mg/ml
injetável Isavuconazonium sulfate 1.5 mg/ml
cloreto de sódio 0,9% 3829
Compatível
injetável Colistin mesilate sodium 0,67 & 1,5 mg/ml
injetável Ketoprofene 0,4 mg/ml
cloreto de sódio 0,9% 4855
Compatível
injetável Colistin mesilate sodium 1.5 mg/ml
injetável Linezolid 2 mg/ml
cloreto de sódio 0,9% 3997
Compatível
injetável Colistin mesilate sodium 75 mg/ml
injetável Meropenem 50 mg/ml
Agua para injectaveis 4319
Compatível
injetável Colistin mesilate sodium 1.5 mg/ml
injetável Meropenem 10 mg/ml
cloreto de sódio 0,9% 3997
Mudança de cor Incompatível
injetável Colistin mesilate sodium 0,67 & 1,5 mg/ml
injetável Metamizol sodium 50 mg/ml
cloreto de sódio 0,9% 4855
Modificação de pH> 1 unidade de pH Incompatível
injetável Colistin mesilate sodium 0,67 & 1,5 mg/ml
injetável Morphine sulfate 2 mg/ml
cloreto de sódio 0,9% 4855
Compatível
injetável Colistin mesilate sodium 0,67 & 1,5 mg/ml
injetável Paracetamol 10 mg/ml
cloreto de sódio 0,9% 4855
Compatível
injetável Colistin mesilate sodium 1.5 mg/ml
injetável Piperacillin sodium / tazobactam 40/0.5 mg/ml
cloreto de sódio 0,9% 3997
Compatível
injetável Colistin mesilate sodium 4.5 mg/ml
injetável Plazomicin sulfate 24 mg/ml
cloreto de sódio 0,9% 4145
Compatível
injetável Colistin mesilate sodium 4,5 mg/ml
injetável Sulbactam/durlobactam 15/15 mg/ml
cloreto de sódio 0,9% 4801
Compatível
injetável Colistin mesilate sodium 4.5 mg/ml
injetável Tedizolid phosphate 0.8 mg/ml
cloreto de sódio 0,9% 3827
Turvação imediata Incompatível
injetável Colistin mesilate sodium 4,5 mg/ml
injetável Telavancin hydrochloride 7,5 mg/ml
Glucose 5% 3254
Turvação imediata Incompatível
injetável Colistin mesilate sodium 4,5 mg/ml
injetável Telavancin hydrochloride 7,5 mg/ml
Ringer lactato 3254
Compatível
injetável Colistin mesilate sodium 4,5 mg/ml
injetável Telavancin hydrochloride 7,5 mg/ml
cloreto de sódio 0,9% 3254
Compatível
injetável Colistin mesilate sodium 0,67 & 1,5 mg/ml
injetável Tramadol hydrochloride 5 mg/ml
cloreto de sódio 0,9% 4855
Compatível
injetável Colistin mesilate sodium
cloreto de sódio 0,9% 4975
Compatível
injetável Colistin mesilate sodium 1.5 mg/ml
injetável Vancomycin hydrochloride 10 mg/ml
cloreto de sódio 0,9% 3997
Compatível
injetável Colistin mesilate sodium 0,8 mg/ml
Nutrição parenteral (com lípidos) 4438

  Mentions Légales