viimane versioon :
27/04/2026
antibiootikum   Colistin mesilate sodium  
Süsteravim
aerosool
Stabiilsus lahustes Stabiilsust mõjutavad tegurid stabiilsust mõjutavad faktorid Sobimatus Manustamis viis Viited pdf
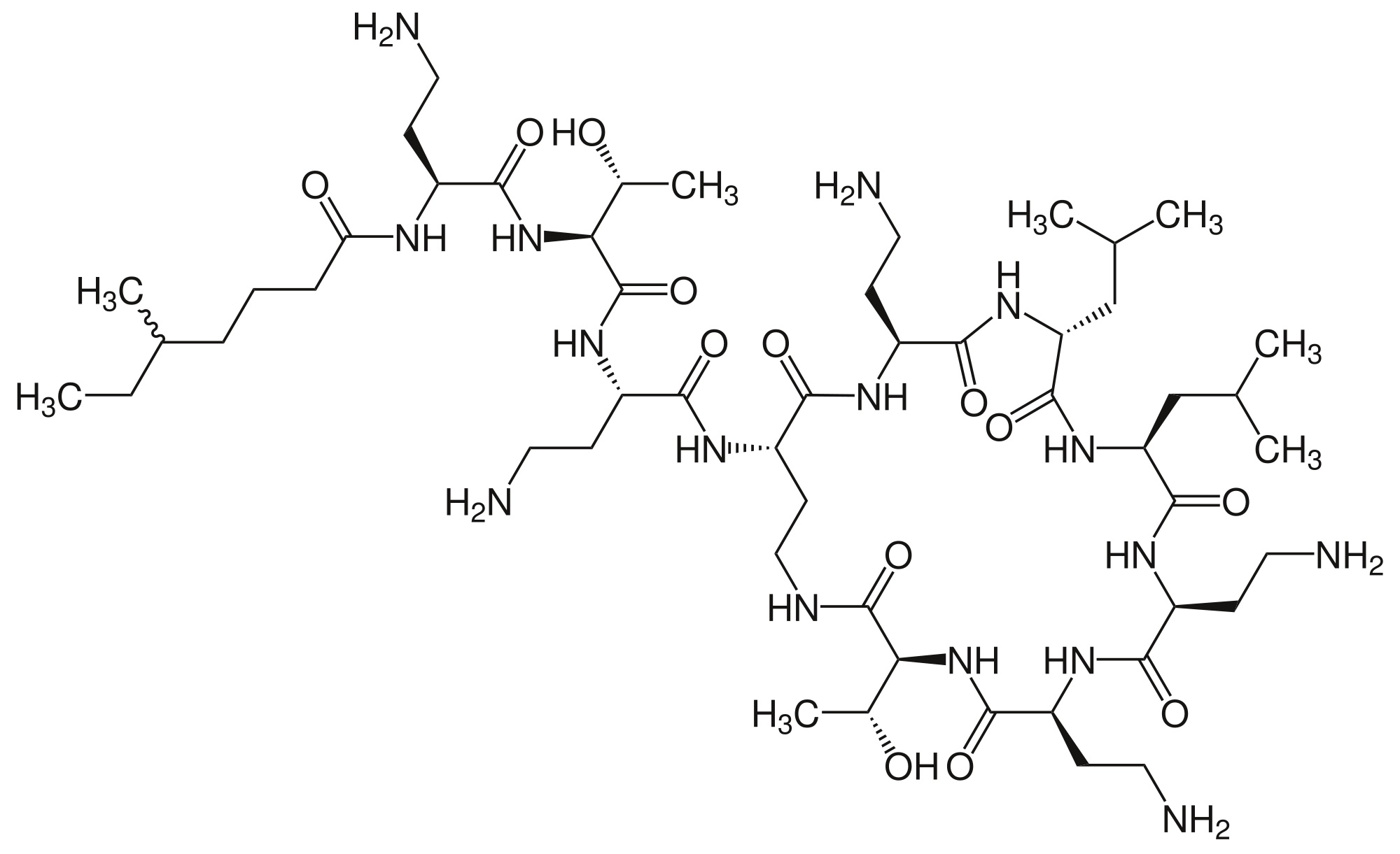
   keemiline struktuur  

Kaubanduslikud nimed erinevates maades   Kaubanduslikud nimed erinevates maades     

Preparaatide nimed on näitlikud ja abianete sisaldus võib erineda sõltuvalt riigist ja laborist

Alficetin Argentiina
Colimicina Itaalia
Colimycin Norra, Taani, Türgi
Colimycine Holland, Luksemburg, Maroko, Prantsusmaa, Tuneesia
Colismet Maroko
Colistimethate Ameerika ühendriigid, Kanada, Prantsusmaa, Suurbritannia
Colistin Austria, Kreeka, Poola, Saksamaa, uus-Meremaa
Colistina Argentiina, Portugal, Tšiili
Colistineb Belgia
Colistyn Argentiina
Colixin Sloveenia
Colomycin Ameerika ühendriigid, Iirimaa, Kanada, Malaisia, Suurbritannia
Dicupal Tšiili
Elistin Maroko
Kolisod Türgi
Nolisin
Promixin Iirimaa, Norra, Saksamaa, Suurbritannia
Toliscrin Argentiina
Sobimatus   Süsteravim   Sobimatus : Colistin mesilate sodium              
Sellel lehel kuvatakse sobimatusi ja sobimatuse tüüpi (sadenemine, värvuse muutus, emulsiooni modifitseerumine jne). Enamasti on siin lehel kuvatud füüsikalised sobimatused, kuna molekulide keemilist stabiilsust hinnatakse harva. Hinnatud on segude sobivust Y-liinis. Antud infot ei saa kasutada ravimite sobivuse hindamiseks juhul, kui ravimid on segatud süstaldes või infusioonikottides. See info on lehel « stabiilsus segudes ».
ingredient lahusti Viited
Ühilduv
Süsteravim Colistin mesilate sodium 4.5 mg/ml
Süsteravim Cefiderocol sulfate tosylate 20 mg/mL
glükoos 5% 4528
Ühilduv
Süsteravim Colistin mesilate sodium 4.5 mg/ml
Süsteravim Cefiderocol sulfate tosylate 20 mg/mL
naatriumkloriid 0.9% 4528
Ühilduv
Süsteravim Colistin mesilate sodium 1.5 mg/ml
Süsteravim Ceftazidime 5 mg/ml
naatriumkloriid 0.9% 3997
Ühilduv
Süsteravim Colistin mesilate sodium 4.5 mg/ml
Süsteravim Ceftolozane / tazobactam 10/5 mg/ml
glükoos 5% 3828
Ühilduv
Süsteravim Colistin mesilate sodium 4.5 mg/ml
Süsteravim Ceftolozane / tazobactam 10/5 mg/ml
naatriumkloriid 0.9% 3828
Ühilduv
Süsteravim Colistin mesilate sodium 1.5 mg/ml
Süsteravim Cimetidine hydrochloride 3 mg/ml
glükoos 5% 1201
Sobimatu
Süsteravim Colistin mesilate sodium
aerosool Cromoglycate sodium
2550
Kohene hägusus Sobimatu
Süsteravim Colistin mesilate sodium 4,5 mg/ml
Süsteravim Eravacycline 0,6 mg/ml
naatriumkloriid 0.9% 4434
Ühilduv
Süsteravim Colistin mesilate sodium 1.5 mg/ml
Süsteravim Ertapenem 5 mg/ml
naatriumkloriid 0.9% 3997
Täpsustamata sobimatus Sobimatu
Süsteravim Colistin mesilate sodium
Süsteravim Erythromycin lactobionate
3674
Ühilduv
Süsteravim Colistin mesilate sodium 1.5 mg/ml
Süsteravim Fosfomycin 20 mg/ml
naatriumkloriid 0.9% 3997
Ühilduv
Süsteravim Colistin mesilate sodium 4.5 mg/ml
Süsteravim Fosfomycin 30 mg/ml
glükoos 5% 4055
Ühilduv
Süsteravim Colistin mesilate sodium 4.5 mg/ml
Süsteravim Fosfomycin 30 mg/ml
naatriumkloriid 0.9% 4055
Kohene hägusus Sobimatu
Süsteravim Colistin mesilate sodium 0,67 & 1,5 mg/ml
Süsteravim Ibuprofen arginine 4 & 6 mg/ml
naatriumkloriid 0.9% 4855
Ühilduv
Süsteravim Colistin mesilate sodium 1.5 mg/ml
Süsteravim Imipenem - cilastatin sodium 5/5 mg/ml
naatriumkloriid 0.9% 3997
Kohene hägusus Sobimatu
Süsteravim Colistin mesilate sodium 4.5 mg/ml
Süsteravim Isavuconazonium sulfate 1.5 mg/ml
glükoos 5% 3829
Kohene hägusus Sobimatu
Süsteravim Colistin mesilate sodium 4.5 mg/ml
Süsteravim Isavuconazonium sulfate 1.5 mg/ml
naatriumkloriid 0.9% 3829
Ühilduv
Süsteravim Colistin mesilate sodium 0,67 & 1,5 mg/ml
Süsteravim Ketoprofene 0,4 mg/ml
naatriumkloriid 0.9% 4855
Ühilduv
Süsteravim Colistin mesilate sodium 1.5 mg/ml
Süsteravim Linezolid 2 mg/ml
naatriumkloriid 0.9% 3997
Ühilduv
Süsteravim Colistin mesilate sodium 75 mg/ml
Süsteravim Meropenem 50 mg/ml
süstevesi 4319
Ühilduv
Süsteravim Colistin mesilate sodium 1.5 mg/ml
Süsteravim Meropenem 10 mg/ml
naatriumkloriid 0.9% 3997
Värvimuutus Sobimatu
Süsteravim Colistin mesilate sodium 0,67 & 1,5 mg/ml
Süsteravim Metamizol sodium 50 mg/ml
naatriumkloriid 0.9% 4855
pH muutmine> 1 pH ühikuna Sobimatu
Süsteravim Colistin mesilate sodium 0,67 & 1,5 mg/ml
Süsteravim Morphine sulfate 2 mg/ml
naatriumkloriid 0.9% 4855
Ühilduv
Süsteravim Colistin mesilate sodium 0,67 & 1,5 mg/ml
Süsteravim Paracetamol 10 mg/ml
naatriumkloriid 0.9% 4855
Ühilduv
Süsteravim Colistin mesilate sodium 1.5 mg/ml
Süsteravim Piperacillin sodium / tazobactam 40/0.5 mg/ml
naatriumkloriid 0.9% 3997
Ühilduv
Süsteravim Colistin mesilate sodium 4.5 mg/ml
Süsteravim Plazomicin sulfate 24 mg/ml
naatriumkloriid 0.9% 4145
Ühilduv
Süsteravim Colistin mesilate sodium 4,5 mg/ml
Süsteravim Sulbactam/durlobactam 15/15 mg/ml
naatriumkloriid 0.9% 4801
Ühilduv
Süsteravim Colistin mesilate sodium 4.5 mg/ml
Süsteravim Tedizolid phosphate 0.8 mg/ml
naatriumkloriid 0.9% 3827
Kohene hägusus Sobimatu
Süsteravim Colistin mesilate sodium 4,5 mg/ml
Süsteravim Telavancin hydrochloride 7,5 mg/ml
glükoos 5% 3254
Kohene hägusus Sobimatu
Süsteravim Colistin mesilate sodium 4,5 mg/ml
Süsteravim Telavancin hydrochloride 7,5 mg/ml
Ringer laktaat 3254
Ühilduv
Süsteravim Colistin mesilate sodium 4,5 mg/ml
Süsteravim Telavancin hydrochloride 7,5 mg/ml
naatriumkloriid 0.9% 3254
Ühilduv
Süsteravim Colistin mesilate sodium 0,67 & 1,5 mg/ml
Süsteravim Tramadol hydrochloride 5 mg/ml
naatriumkloriid 0.9% 4855
Ühilduv
Süsteravim Colistin mesilate sodium
naatriumkloriid 0.9% 4975
Ühilduv
Süsteravim Colistin mesilate sodium 1.5 mg/ml
Süsteravim Vancomycin hydrochloride 10 mg/ml
naatriumkloriid 0.9% 3997
Ühilduv
Süsteravim Colistin mesilate sodium 0,8 mg/ml
Parenteraalse toitmise (lipiidide) 4438

  Mentions Légales