Viimeisin päivitys :
27/04/2026
Antibiootit   Colistin mesilate sodium  
Injektioneste
Aerosoli
Stabilius liuoksessa Stabilius seoksissa Tekijät, jotka vaikuttavat stabiliuteen Yhteensopivuus Antotapa Viitteet pdf
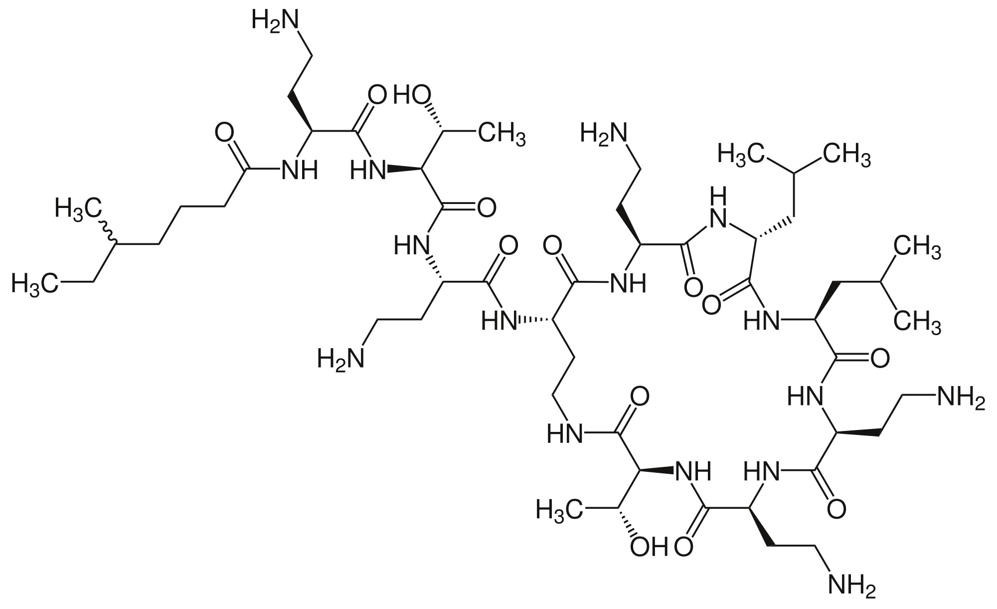
   Kemiallinen rakenne  

Kauppanimi   Kauppanimi     

Trade names are indicative and excipients composition can be different depending on the country and manufacturers

Alficetin Argentiina
Colimicina Italia
Colimycin Norja, Tanska, Turkki
Colimycine Hollanti, Luxemburg, Marokko, Ranska, Tunisia
Colismet Marokko
Colistimethate Iso-Britannia, Kanada, Ranska, Yhdysvallat
Colistin Itävalta, Kreikka, New Zealand, Puola, Saksa
Colistina Argentiina, Chile, Portugali
Colistineb Belgia
Colistyn Argentiina
Colixin Slovenia
Colomycin Irlanti, Iso-Britannia, Kanada, Malesia, Yhdysvallat
Dicupal Chile
Elistin Marokko
Kolisod Turkki
Nolisin
Promixin Irlanti, Iso-Britannia, Norja, Saksa
Toliscrin Argentiina
Yhteensopivuus   Injektioneste   Yhteensopivuus : Colistin mesilate sodium              
Tämä näyttö osoittaa yhteensopivuuden tai yhteensopimattomuuden yhteensopimattomuuden tyypin kanssa (saostuminen, värinmuutos, emulsiomuutos jne.). Tässä esitetty yhteensopivuus on useimmissa tapauksissa vain fysikaalinen, ja kunkin molekyylin kemiallista stabiilisuutta arvioidaan harvoin. Näiden seosten arviointia tutkittiin mahdollisuuden antaa Y-kohta potilaalle. Näitä tietoja ei voida käyttää seosten valmistamiseen etukäteen pusseissa tai ruiskuissa. Tämäntyyppiset tiedot ovat saatavilla "Stabiilisuus seoksessa" -näytössä.
Yhdiste Liuotin Viitteet
Yhteensopiva
Injektioneste Colistin mesilate sodium 4.5 mg/ml
Injektioneste Cefiderocol sulfate tosylate 20 mg/mL
Glukoosi 5% 4528
Yhteensopiva
Injektioneste Colistin mesilate sodium 4.5 mg/ml
Injektioneste Cefiderocol sulfate tosylate 20 mg/mL
Natriumkloridi 0,9% 4528
Yhteensopiva
Injektioneste Colistin mesilate sodium 1.5 mg/ml
Injektioneste Ceftazidime 5 mg/ml
Natriumkloridi 0,9% 3997
Yhteensopiva
Injektioneste Colistin mesilate sodium 4.5 mg/ml
Injektioneste Ceftolozane / tazobactam 10/5 mg/ml
Glukoosi 5% 3828
Yhteensopiva
Injektioneste Colistin mesilate sodium 4.5 mg/ml
Injektioneste Ceftolozane / tazobactam 10/5 mg/ml
Natriumkloridi 0,9% 3828
Yhteensopiva
Injektioneste Colistin mesilate sodium 1.5 mg/ml
Injektioneste Cimetidine hydrochloride 3 mg/ml
Glukoosi 5% 1201
yhteensopimaton
Injektioneste Colistin mesilate sodium
Aerosoli Cromoglycate sodium
2550
Välitön sameus yhteensopimaton
Injektioneste Colistin mesilate sodium 4,5 mg/ml
Injektioneste Eravacycline 0,6 mg/ml
Natriumkloridi 0,9% 4434
Yhteensopiva
Injektioneste Colistin mesilate sodium 1.5 mg/ml
Injektioneste Ertapenem 5 mg/ml
Natriumkloridi 0,9% 3997
Määrittelemätön yhteensopimattomuus yhteensopimaton
Injektioneste Colistin mesilate sodium
Injektioneste Erythromycin lactobionate
3674
Yhteensopiva
Injektioneste Colistin mesilate sodium 1.5 mg/ml
Injektioneste Fosfomycin 20 mg/ml
Natriumkloridi 0,9% 3997
Yhteensopiva
Injektioneste Colistin mesilate sodium 4.5 mg/ml
Injektioneste Fosfomycin 30 mg/ml
Glukoosi 5% 4055
Yhteensopiva
Injektioneste Colistin mesilate sodium 4.5 mg/ml
Injektioneste Fosfomycin 30 mg/ml
Natriumkloridi 0,9% 4055
Välitön sameus yhteensopimaton
Injektioneste Colistin mesilate sodium 0,67 & 1,5 mg/ml
Injektioneste Ibuprofen arginine 4 & 6 mg/ml
Natriumkloridi 0,9% 4855
Yhteensopiva
Injektioneste Colistin mesilate sodium 1.5 mg/ml
Injektioneste Imipenem - cilastatin sodium 5/5 mg/ml
Natriumkloridi 0,9% 3997
Välitön sameus yhteensopimaton
Injektioneste Colistin mesilate sodium 4.5 mg/ml
Injektioneste Isavuconazonium sulfate 1.5 mg/ml
Glukoosi 5% 3829
Välitön sameus yhteensopimaton
Injektioneste Colistin mesilate sodium 4.5 mg/ml
Injektioneste Isavuconazonium sulfate 1.5 mg/ml
Natriumkloridi 0,9% 3829
Yhteensopiva
Injektioneste Colistin mesilate sodium 0,67 & 1,5 mg/ml
Injektioneste Ketoprofene 0,4 mg/ml
Natriumkloridi 0,9% 4855
Yhteensopiva
Injektioneste Colistin mesilate sodium 1.5 mg/ml
Injektioneste Linezolid 2 mg/ml
Natriumkloridi 0,9% 3997
Yhteensopiva
Injektioneste Colistin mesilate sodium 75 mg/ml
Injektioneste Meropenem 50 mg/ml
Injektionesteisiin käytettävä vesi 4319
Yhteensopiva
Injektioneste Colistin mesilate sodium 1.5 mg/ml
Injektioneste Meropenem 10 mg/ml
Natriumkloridi 0,9% 3997
Värinvaihto yhteensopimaton
Injektioneste Colistin mesilate sodium 0,67 & 1,5 mg/ml
Injektioneste Metamizol sodium 50 mg/ml
Natriumkloridi 0,9% 4855
PH: n muuttaminen> 1 pH-yksikkö yhteensopimaton
Injektioneste Colistin mesilate sodium 0,67 & 1,5 mg/ml
Injektioneste Morphine sulfate 2 mg/ml
Natriumkloridi 0,9% 4855
Yhteensopiva
Injektioneste Colistin mesilate sodium 0,67 & 1,5 mg/ml
Injektioneste Paracetamol 10 mg/ml
Natriumkloridi 0,9% 4855
Yhteensopiva
Injektioneste Colistin mesilate sodium 1.5 mg/ml
Injektioneste Piperacillin sodium / tazobactam 40/0.5 mg/ml
Natriumkloridi 0,9% 3997
Yhteensopiva
Injektioneste Colistin mesilate sodium 4.5 mg/ml
Injektioneste Plazomicin sulfate 24 mg/ml
Natriumkloridi 0,9% 4145
Yhteensopiva
Injektioneste Colistin mesilate sodium 4,5 mg/ml
Injektioneste Sulbactam/durlobactam 15/15 mg/ml
Natriumkloridi 0,9% 4801
Yhteensopiva
Injektioneste Colistin mesilate sodium 4.5 mg/ml
Injektioneste Tedizolid phosphate 0.8 mg/ml
Natriumkloridi 0,9% 3827
Välitön sameus yhteensopimaton
Injektioneste Colistin mesilate sodium 4,5 mg/ml
Injektioneste Telavancin hydrochloride 7,5 mg/ml
Glukoosi 5% 3254
Välitön sameus yhteensopimaton
Injektioneste Colistin mesilate sodium 4,5 mg/ml
Injektioneste Telavancin hydrochloride 7,5 mg/ml
Ringerlaktaattiliuos 3254
Yhteensopiva
Injektioneste Colistin mesilate sodium 4,5 mg/ml
Injektioneste Telavancin hydrochloride 7,5 mg/ml
Natriumkloridi 0,9% 3254
Yhteensopiva
Injektioneste Colistin mesilate sodium 0,67 & 1,5 mg/ml
Injektioneste Tramadol hydrochloride 5 mg/ml
Natriumkloridi 0,9% 4855
Yhteensopiva
Injektioneste Colistin mesilate sodium
Natriumkloridi 0,9% 4975
Yhteensopiva
Injektioneste Colistin mesilate sodium 1.5 mg/ml
Injektioneste Vancomycin hydrochloride 10 mg/ml
Natriumkloridi 0,9% 3997
Yhteensopiva
Injektioneste Colistin mesilate sodium 0,8 mg/ml
Parenteraalinen (lipidien) 4438

  Mentions Légales