Τελευταία ενημέρωση :
27/04/2026
Αντιβιοτικό   Colistin mesilate sodium  
Ενέσιμο
Αεροζόλ
Σταθερότητα διαλυμάτων Σταθερότητα σε μίγματα Παράγοντας που επηρεάζει τη σταθερότητα Συμβατότητες Τρόπος χορήγησης Βιβλιογραφία pdf
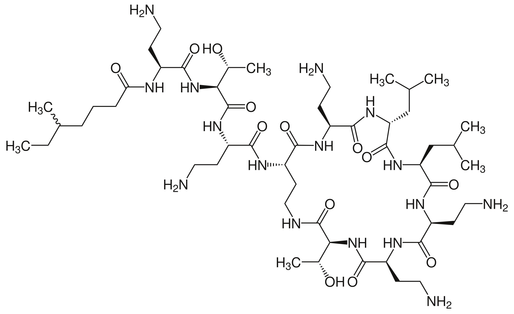
   χημική δομή  

Εμπορική ονομασία   Εμπορική ονομασία     

Οι εμπορικές ονομασίες είναι ενδεικτικές και η σύνθεση των εκδόχων μπορεί να διαφέρει ανάλογα με τη χώρα και τα εργαστήρια

Alficetin Αργεντινή
Colimicina Ιταλία
Colimycin Δανία, Νορβηγία, Τουρκία
Colimycine Γαλλία, Λουξεμβούργο, Μαρόκο, Ολλανδία, Τυνησία
Colismet Περού
Colistimethate Γαλλία, Η.Π.Α., Καναδάς, Μεγάλη Βρετανία
Colistin Αυστρία, Γερμανία, Ελλάδα, νέα Ζηλανδία, Πολωνία
Colistina Αργεντινή, Πορτογαλία, Χιλή
Colistineb Βέλγιο
Colistyn Αργεντινή
Colixin Σλοβενία
Colomycin Η.Π.Α., Ιρλανδία, Καναδάς, Μαλαισία, Μεγάλη Βρετανία
Dicupal Χιλή
Elistin Περού
Kolisod Τουρκία
Nolisin
Promixin Γερμανία, Ιρλανδία, Μεγάλη Βρετανία, Νορβηγία
Toliscrin Αργεντινή
Συμβατότητες    Ενέσιμο   Συμβατότητες : Colistin mesilate sodium              
Σε αυτή την οθόνη εμφανίζονται οι συμβατότητες ή ασυμβατότητες. Σε αυτή την περίπτωση εμφανίζονται το είδος της ασυμβατότητας (ίζημα, αλλαγή χρώματος, μεταβολή γαλακτώματος, κλπ). Οι συμβατότητες που παρουσιάζονται εδώ είναι κυρίως φυσικές, ενώ η χημική σταθερότητα κάθε μορίου σπάνια περιλαμβάνεται. Η αξιολόγηση αυτών των μιγμάτων μελετήθηκε προκειμένου να εκτιμηθεί η πιθανότητα χορήγησης στον ασθενή στο Υ κέντρο. Τα δεδομένα αυτά δεν μπορούν να χρησιμοποιηθούν για την εκ των προτέρων δημιουργία μιγμάτων σε ασκούς ή σύριγγες. Αυτό το είδος πληροφορίας υπάρχει και μπορεί να αναζητηθεί στην οθόνη «Σταθερότητα σε μίγμα».
Συστατικό Διαλυτικό Βιβλιογραφία
Σύμφωνος
Ενέσιμο Colistin mesilate sodium 4.5 mg/ml
Ενέσιμο Cefiderocol sulfate tosylate 20 mg/mL
Γλυκόζη 5% 4528
Σύμφωνος
Ενέσιμο Colistin mesilate sodium 4.5 mg/ml
Ενέσιμο Cefiderocol sulfate tosylate 20 mg/mL
Χλωριούχο νάτριο 0,9% 4528
Σύμφωνος
Ενέσιμο Colistin mesilate sodium 1.5 mg/ml
Ενέσιμο Ceftazidime 5 mg/ml
Χλωριούχο νάτριο 0,9% 3997
Σύμφωνος
Ενέσιμο Colistin mesilate sodium 4.5 mg/ml
Ενέσιμο Ceftolozane / tazobactam 10/5 mg/ml
Γλυκόζη 5% 3828
Σύμφωνος
Ενέσιμο Colistin mesilate sodium 4.5 mg/ml
Ενέσιμο Ceftolozane / tazobactam 10/5 mg/ml
Χλωριούχο νάτριο 0,9% 3828
Σύμφωνος
Ενέσιμο Colistin mesilate sodium 1.5 mg/ml
Ενέσιμο Cimetidine hydrochloride 3 mg/ml
Γλυκόζη 5% 1201
Ασύμβατες
Ενέσιμο Colistin mesilate sodium
Αεροζόλ Cromoglycate sodium
2550
Άμεση θολότητα Ασύμβατες
Ενέσιμο Colistin mesilate sodium 4,5 mg/ml
Ενέσιμο Eravacycline 0,6 mg/ml
Χλωριούχο νάτριο 0,9% 4434
Σύμφωνος
Ενέσιμο Colistin mesilate sodium 1.5 mg/ml
Ενέσιμο Ertapenem 5 mg/ml
Χλωριούχο νάτριο 0,9% 3997
Απροσδιόριστη ασυμβατότητα Ασύμβατες
Ενέσιμο Colistin mesilate sodium
Ενέσιμο Erythromycin lactobionate
3674
Σύμφωνος
Ενέσιμο Colistin mesilate sodium 1.5 mg/ml
Ενέσιμο Fosfomycin 20 mg/ml
Χλωριούχο νάτριο 0,9% 3997
Σύμφωνος
Ενέσιμο Colistin mesilate sodium 4.5 mg/ml
Ενέσιμο Fosfomycin 30 mg/ml
Γλυκόζη 5% 4055
Σύμφωνος
Ενέσιμο Colistin mesilate sodium 4.5 mg/ml
Ενέσιμο Fosfomycin 30 mg/ml
Χλωριούχο νάτριο 0,9% 4055
Άμεση θολότητα Ασύμβατες
Ενέσιμο Colistin mesilate sodium 0,67 & 1,5 mg/ml
Ενέσιμο Ibuprofen arginine 4 & 6 mg/ml
Χλωριούχο νάτριο 0,9% 4855
Σύμφωνος
Ενέσιμο Colistin mesilate sodium 1.5 mg/ml
Ενέσιμο Imipenem - cilastatin sodium 5/5 mg/ml
Χλωριούχο νάτριο 0,9% 3997
Άμεση θολότητα Ασύμβατες
Ενέσιμο Colistin mesilate sodium 4.5 mg/ml
Ενέσιμο Isavuconazonium sulfate 1.5 mg/ml
Γλυκόζη 5% 3829
Άμεση θολότητα Ασύμβατες
Ενέσιμο Colistin mesilate sodium 4.5 mg/ml
Ενέσιμο Isavuconazonium sulfate 1.5 mg/ml
Χλωριούχο νάτριο 0,9% 3829
Σύμφωνος
Ενέσιμο Colistin mesilate sodium 0,67 & 1,5 mg/ml
Ενέσιμο Ketoprofene 0,4 mg/ml
Χλωριούχο νάτριο 0,9% 4855
Σύμφωνος
Ενέσιμο Colistin mesilate sodium 1.5 mg/ml
Ενέσιμο Linezolid 2 mg/ml
Χλωριούχο νάτριο 0,9% 3997
Σύμφωνος
Ενέσιμο Colistin mesilate sodium 75 mg/ml
Ενέσιμο Meropenem 50 mg/ml
Ενέσιμο ύδωρ 4319
Σύμφωνος
Ενέσιμο Colistin mesilate sodium 1.5 mg/ml
Ενέσιμο Meropenem 10 mg/ml
Χλωριούχο νάτριο 0,9% 3997
Αλλαγή χρώματος Ασύμβατες
Ενέσιμο Colistin mesilate sodium 0,67 & 1,5 mg/ml
Ενέσιμο Metamizol sodium 50 mg/ml
Χλωριούχο νάτριο 0,9% 4855
Τροποποίηση pH> 1 μονάδα pH Ασύμβατες
Ενέσιμο Colistin mesilate sodium 0,67 & 1,5 mg/ml
Ενέσιμο Morphine sulfate 2 mg/ml
Χλωριούχο νάτριο 0,9% 4855
Σύμφωνος
Ενέσιμο Colistin mesilate sodium 0,67 & 1,5 mg/ml
Ενέσιμο Paracetamol 10 mg/ml
Χλωριούχο νάτριο 0,9% 4855
Σύμφωνος
Ενέσιμο Colistin mesilate sodium 1.5 mg/ml
Ενέσιμο Piperacillin sodium / tazobactam 40/0.5 mg/ml
Χλωριούχο νάτριο 0,9% 3997
Σύμφωνος
Ενέσιμο Colistin mesilate sodium 4.5 mg/ml
Ενέσιμο Plazomicin sulfate 24 mg/ml
Χλωριούχο νάτριο 0,9% 4145
Σύμφωνος
Ενέσιμο Colistin mesilate sodium 4,5 mg/ml
Ενέσιμο Sulbactam/durlobactam 15/15 mg/ml
Χλωριούχο νάτριο 0,9% 4801
Σύμφωνος
Ενέσιμο Colistin mesilate sodium 4.5 mg/ml
Ενέσιμο Tedizolid phosphate 0.8 mg/ml
Χλωριούχο νάτριο 0,9% 3827
Άμεση θολότητα Ασύμβατες
Ενέσιμο Colistin mesilate sodium 4,5 mg/ml
Ενέσιμο Telavancin hydrochloride 7,5 mg/ml
Γλυκόζη 5% 3254
Άμεση θολότητα Ασύμβατες
Ενέσιμο Colistin mesilate sodium 4,5 mg/ml
Ενέσιμο Telavancin hydrochloride 7,5 mg/ml
Γαλακτικό διάλυμα Ringer 3254
Σύμφωνος
Ενέσιμο Colistin mesilate sodium 4,5 mg/ml
Ενέσιμο Telavancin hydrochloride 7,5 mg/ml
Χλωριούχο νάτριο 0,9% 3254
Σύμφωνος
Ενέσιμο Colistin mesilate sodium 0,67 & 1,5 mg/ml
Ενέσιμο Tramadol hydrochloride 5 mg/ml
Χλωριούχο νάτριο 0,9% 4855
Σύμφωνος
Ενέσιμο Colistin mesilate sodium
Χλωριούχο νάτριο 0,9% 4975
Σύμφωνος
Ενέσιμο Colistin mesilate sodium 1.5 mg/ml
Ενέσιμο Vancomycin hydrochloride 10 mg/ml
Χλωριούχο νάτριο 0,9% 3997
Σύμφωνος
Ενέσιμο Colistin mesilate sodium 0,8 mg/ml
Παρεντερική διατροφή (με λιπίδια) 4438

  Mentions Légales