Letztes “update” :
27/04/2026
Antibiotikum   Colistin mesilate sodium  
Injektion
Aerosol
Stabilität der Lösung Gemengestabilität Stabilitätbeeinflussende Faktoren Kompatibilitäten Applikationsart Literaturverzeichnis pdf
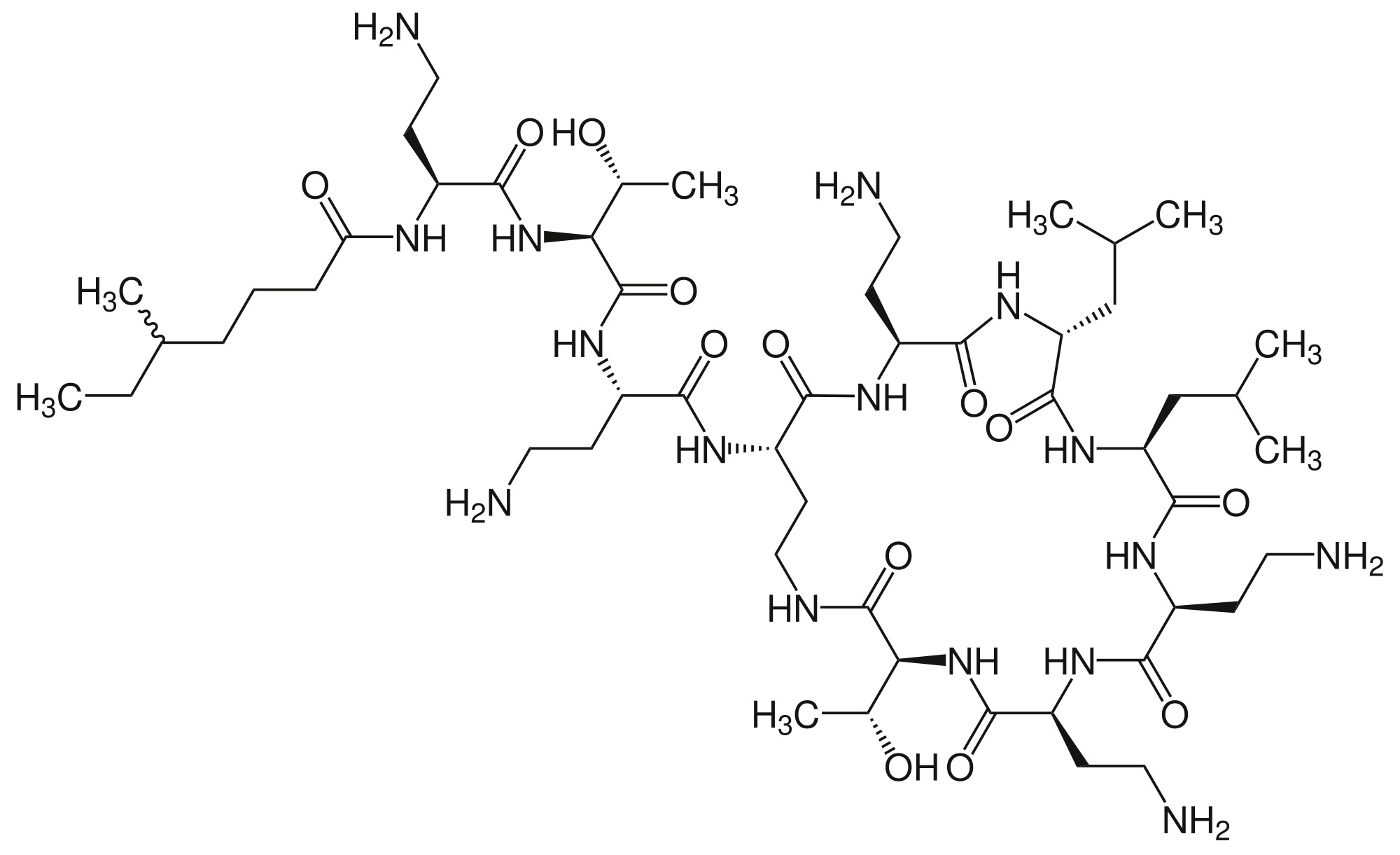
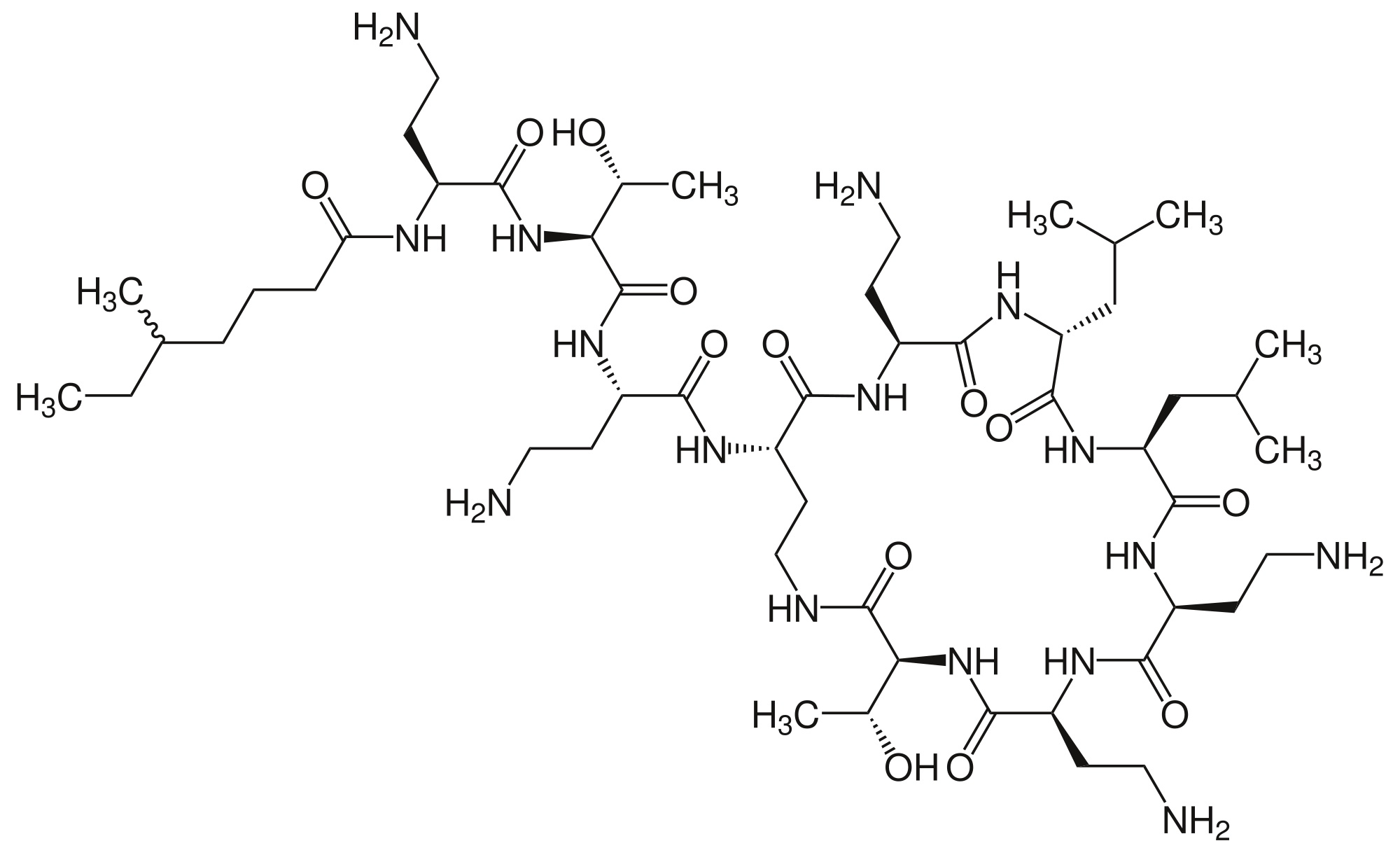
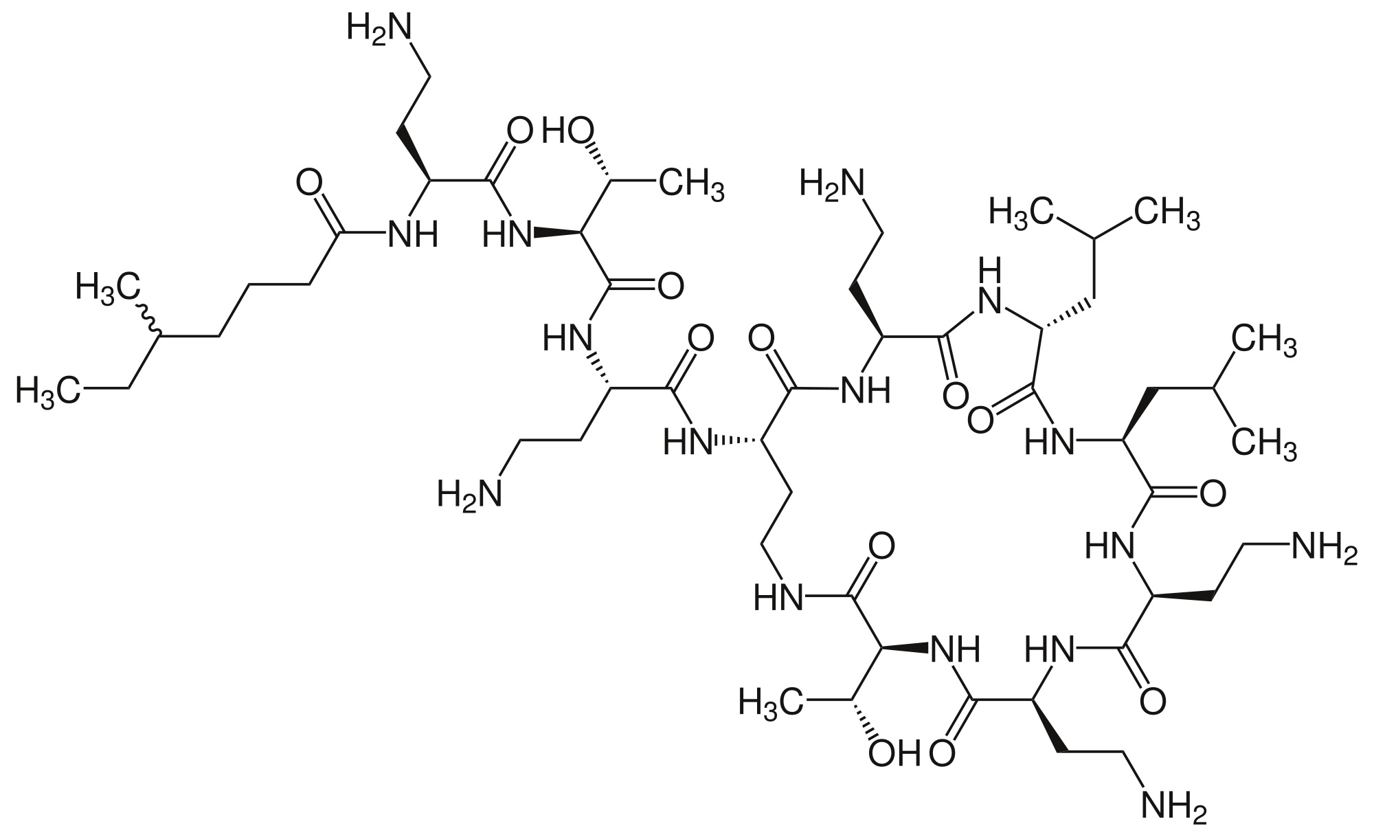
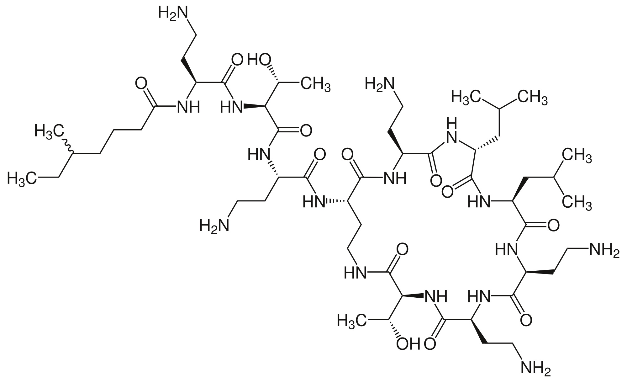
   Chemische Struktur  

Handelsmarke   Handelsmarke     

Handelsnamen sind als beispielhaft anzusehen. Sonstige Bestandteile können je nach Hersteller oder Land verschieden sein

Alficetin Argentinien
Colimicina Italien
Colimycin Dänemark, Norwegen, Türkei
Colimycine Frankreich, Luxemburg, Marokko, Niederlande, Tunesien
Colismet Peru
Colistimethate Frankreich, Großbritannien, Kanada, Vereinigte Staaten von Amerika
Colistin Deutschland, Griechenland, Neuseeland, Österreich, Polen
Colistina Argentinien, Chile, Portugal
Colistineb Belgien
Colistyn Argentinien
Colixin Slowenien
Colomycin Großbritannien, Irland, Kanada, Malaysia, Vereinigte Staaten von Amerika
Dicupal Chile
Elistin Peru
Kolisod Türkei
Nolisin
Promixin Deutschland, Großbritannien, Irland, Norwegen
Toliscrin Argentinien
Kompatibilitäten   Injektion   Kompatibilitäten : Colistin mesilate sodium              
Dieser Bildschirm zeigt die Kompatibilitäten oder Inkompatibilitäten mit der Art der Inkompatibilität (hier: Ausfällung, Farbänderung, Modifikation einer Emulsion usw.) an. Die hier gezeigten Kompatibilitäten sind meist nur physikalisch, wobei die chemische Stabilität jedes Moleküls selten bewertet wird. Die Bewertung dieser Gemische wurde untersucht, um die Möglichkeit einer Verabreichung über eine Y-Verbindung zu berücksichtigen. Diese Daten können daher nicht zur Herstellung von Mischungen im Voraus in Beuteln oder Spritzen verwendet werden. Sie finden diese Informationen auf dem Bildschirm "Stabilität in Mischung».
Molekül Lösungsmittel Literaturverzeichnis
kompatibel
Injektion Colistin mesilate sodium 4.5 mg/ml
Injektion Cefiderocol sulfate tosylate 20 mg/mL
5% Glucose 4528
kompatibel
Injektion Colistin mesilate sodium 4.5 mg/ml
Injektion Cefiderocol sulfate tosylate 20 mg/mL
0,9% Natriumchlorid 4528
kompatibel
Injektion Colistin mesilate sodium 1.5 mg/ml
Injektion Ceftazidime 5 mg/ml
0,9% Natriumchlorid 3997
kompatibel
Injektion Colistin mesilate sodium 4.5 mg/ml
Injektion Ceftolozane / tazobactam 10/5 mg/ml
5% Glucose 3828
kompatibel
Injektion Colistin mesilate sodium 4.5 mg/ml
Injektion Ceftolozane / tazobactam 10/5 mg/ml
0,9% Natriumchlorid 3828
kompatibel
Injektion Colistin mesilate sodium 1.5 mg/ml
Injektion Cimetidine hydrochloride 3 mg/ml
5% Glucose 1201
nicht kompatibel
Injektion Colistin mesilate sodium
Aerosol Cromoglycate sodium
2550
Sofortige Trübung nicht kompatibel
Injektion Colistin mesilate sodium 4,5 mg/ml
Injektion Eravacycline 0,6 mg/ml
0,9% Natriumchlorid 4434
kompatibel
Injektion Colistin mesilate sodium 1.5 mg/ml
Injektion Ertapenem 5 mg/ml
0,9% Natriumchlorid 3997
Nicht spezifizierte Inkompatibilität nicht kompatibel
Injektion Colistin mesilate sodium
Injektion Erythromycin lactobionate
3674
kompatibel
Injektion Colistin mesilate sodium 1.5 mg/ml
Injektion Fosfomycin 20 mg/ml
0,9% Natriumchlorid 3997
kompatibel
Injektion Colistin mesilate sodium 4.5 mg/ml
Injektion Fosfomycin 30 mg/ml
5% Glucose 4055
kompatibel
Injektion Colistin mesilate sodium 4.5 mg/ml
Injektion Fosfomycin 30 mg/ml
0,9% Natriumchlorid 4055
Sofortige Trübung nicht kompatibel
Injektion Colistin mesilate sodium 0,67 & 1,5 mg/ml
Injektion Ibuprofen arginine 4 & 6 mg/ml
0,9% Natriumchlorid 4855
kompatibel
Injektion Colistin mesilate sodium 1.5 mg/ml
Injektion Imipenem - cilastatin sodium 5/5 mg/ml
0,9% Natriumchlorid 3997
Sofortige Trübung nicht kompatibel
Injektion Colistin mesilate sodium 4.5 mg/ml
Injektion Isavuconazonium sulfate 1.5 mg/ml
5% Glucose 3829
Sofortige Trübung nicht kompatibel
Injektion Colistin mesilate sodium 4.5 mg/ml
Injektion Isavuconazonium sulfate 1.5 mg/ml
0,9% Natriumchlorid 3829
kompatibel
Injektion Colistin mesilate sodium 0,67 & 1,5 mg/ml
Injektion Ketoprofene 0,4 mg/ml
0,9% Natriumchlorid 4855
kompatibel
Injektion Colistin mesilate sodium 1.5 mg/ml
Injektion Linezolid 2 mg/ml
0,9% Natriumchlorid 3997
kompatibel
Injektion Colistin mesilate sodium 75 mg/ml
Injektion Meropenem 50 mg/ml
Wasser für injektable präparate 4319
kompatibel
Injektion Colistin mesilate sodium 1.5 mg/ml
Injektion Meropenem 10 mg/ml
0,9% Natriumchlorid 3997
Farbwechsel nicht kompatibel
Injektion Colistin mesilate sodium 0,67 & 1,5 mg/ml
Injektion Metamizol sodium 50 mg/ml
0,9% Natriumchlorid 4855
Modifikation des pH> 1 pH-Einheit nicht kompatibel
Injektion Colistin mesilate sodium 0,67 & 1,5 mg/ml
Injektion Morphine sulfate 2 mg/ml
0,9% Natriumchlorid 4855
kompatibel
Injektion Colistin mesilate sodium 0,67 & 1,5 mg/ml
Injektion Paracetamol 10 mg/ml
0,9% Natriumchlorid 4855
kompatibel
Injektion Colistin mesilate sodium 1.5 mg/ml
Injektion Piperacillin sodium / tazobactam 40/0.5 mg/ml
0,9% Natriumchlorid 3997
kompatibel
Injektion Colistin mesilate sodium 4.5 mg/ml
Injektion Plazomicin sulfate 24 mg/ml
0,9% Natriumchlorid 4145
kompatibel
Injektion Colistin mesilate sodium 4,5 mg/ml
Injektion Sulbactam/durlobactam 15/15 mg/ml
0,9% Natriumchlorid 4801
kompatibel
Injektion Colistin mesilate sodium 4.5 mg/ml
Injektion Tedizolid phosphate 0.8 mg/ml
0,9% Natriumchlorid 3827
Sofortige Trübung nicht kompatibel
Injektion Colistin mesilate sodium 4,5 mg/ml
Injektion Telavancin hydrochloride 7,5 mg/ml
5% Glucose 3254
Sofortige Trübung nicht kompatibel
Injektion Colistin mesilate sodium 4,5 mg/ml
Injektion Telavancin hydrochloride 7,5 mg/ml
Ringer Lactat - Lösung 3254
kompatibel
Injektion Colistin mesilate sodium 4,5 mg/ml
Injektion Telavancin hydrochloride 7,5 mg/ml
0,9% Natriumchlorid 3254
kompatibel
Injektion Colistin mesilate sodium 0,67 & 1,5 mg/ml
Injektion Tramadol hydrochloride 5 mg/ml
0,9% Natriumchlorid 4855
kompatibel
Injektion Colistin mesilate sodium
0,9% Natriumchlorid 4975
kompatibel
Injektion Colistin mesilate sodium 1.5 mg/ml
Injektion Vancomycin hydrochloride 10 mg/ml
0,9% Natriumchlorid 3997
kompatibel
Injektion Colistin mesilate sodium 0,8 mg/ml
Parenterale Ernährung (mit Lipiden) 4438

  Mentions Légales