Последнее обновление :
27/04/2026
Антибиотик   Colistin mesilate sodium  
Инъекция
Аэрозоль
Стабильность растворов Стабильность смесей Факторы, которые влияют на стабильность Совместимость Способы введения Библиография pdf
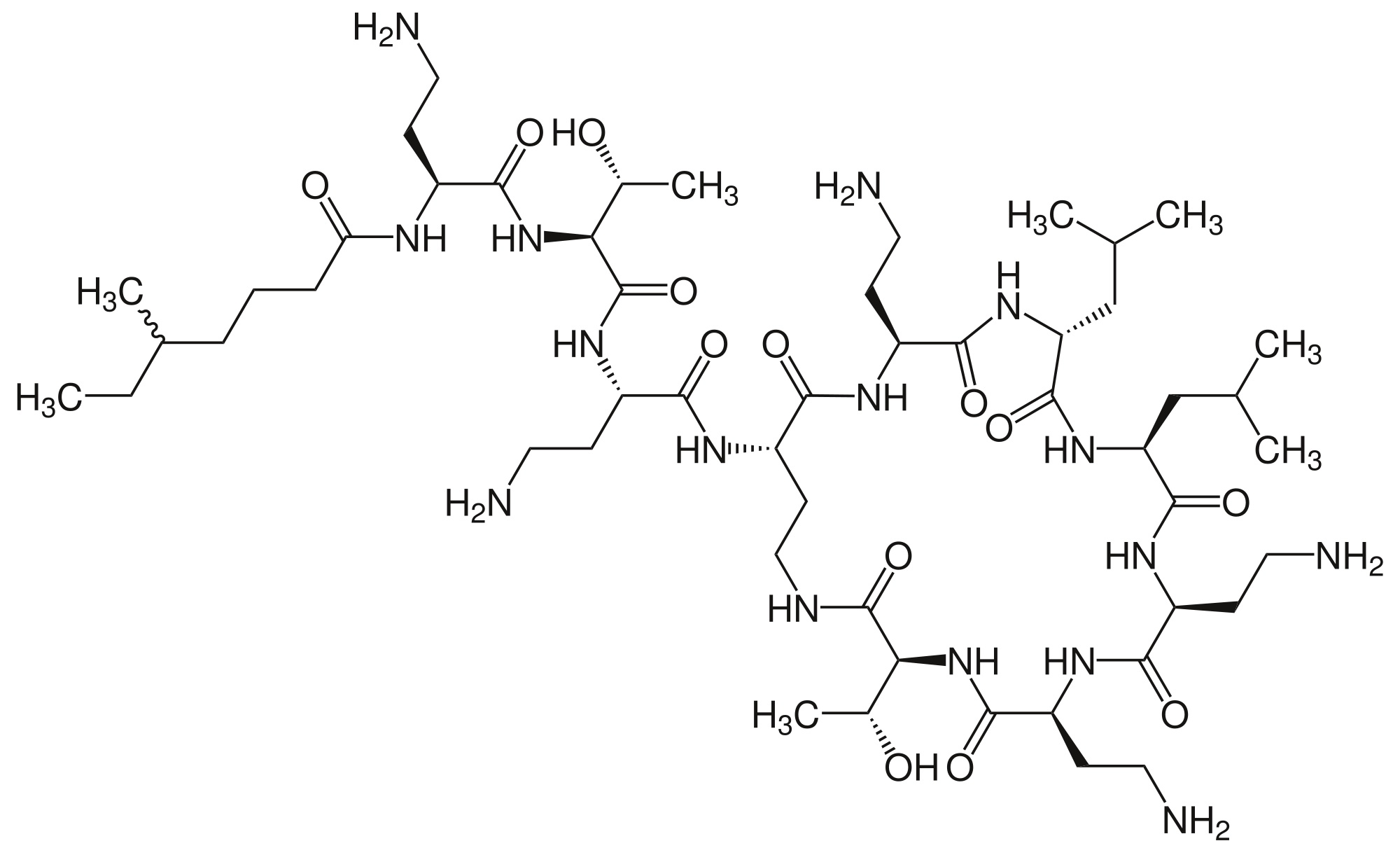
   Химическая структура  

Товарное название   Товарное название     

Trade names are indicative and excipients composition can be different depending on the country and manufacturers

Alficetin Аргентина
Colimicina Италия
Colimycin Дания, Норвегия, Турция
Colimycine Голландия, Люксембург, Марокко, Тунис, Франция
Colismet Перу
Colistimethate Великобритания, Канада, Соединённые Штаты Америки, Франция
Colistin Австрия, Германия, Греция, новая Зеландия, Польша
Colistina Аргентина, Португалия, чили
Colistineb Бельгия
Colistyn Аргентина
Colixin Словения
Colomycin Великобритания, Ирландия, Канада, Малайзия, Соединённые Штаты Америки
Dicupal чили
Elistin Перу
Kolisod Турция
Nolisin
Promixin Великобритания, Германия, Ирландия, Норвегия
Toliscrin Аргентина
Совместимость   Инъекция   Совместимость : Colistin mesilate sodium              
Эта таблица показывает совместимость или несовместимость препаратов, по возможности тип несовместимости (преципитат, смена цвета, разложение эмульсии и др.). Показанные здесь совместимости в основном физические, по возможности указана и химическая стабильность каждой молекулы. Анализ этих смесей произведён для исследования возможности ввести препараты пациенту в Y-соединении систем. Эти данные нельзя использовать, чтобы приготовить лекарства на будущее в мешках или шприцах. Эта информация доступна в разделе "Стабильность смесей".
Молекула Растворитель Ссылки
совместимый
Инъекция Colistin mesilate sodium 4.5 mg/ml
Инъекция Cefiderocol sulfate tosylate 20 mg/mL
Глюкоза 5% 4528
совместимый
Инъекция Colistin mesilate sodium 4.5 mg/ml
Инъекция Cefiderocol sulfate tosylate 20 mg/mL
Натрия хлорид 0,9% 4528
совместимый
Инъекция Colistin mesilate sodium 1.5 mg/ml
Инъекция Ceftazidime 5 mg/ml
Натрия хлорид 0,9% 3997
совместимый
Инъекция Colistin mesilate sodium 4.5 mg/ml
Инъекция Ceftolozane / tazobactam 10/5 mg/ml
Глюкоза 5% 3828
совместимый
Инъекция Colistin mesilate sodium 4.5 mg/ml
Инъекция Ceftolozane / tazobactam 10/5 mg/ml
Натрия хлорид 0,9% 3828
совместимый
Инъекция Colistin mesilate sodium 1.5 mg/ml
Инъекция Cimetidine hydrochloride 3 mg/ml
Глюкоза 5% 1201
несовместимый
Инъекция Colistin mesilate sodium
Аэрозоль Cromoglycate sodium
2550
Немедленная мутность несовместимый
Инъекция Colistin mesilate sodium 4,5 mg/ml
Инъекция Eravacycline 0,6 mg/ml
Натрия хлорид 0,9% 4434
совместимый
Инъекция Colistin mesilate sodium 1.5 mg/ml
Инъекция Ertapenem 5 mg/ml
Натрия хлорид 0,9% 3997
Неопределенная несовместимость несовместимый
Инъекция Colistin mesilate sodium
Инъекция Erythromycin lactobionate
3674
совместимый
Инъекция Colistin mesilate sodium 1.5 mg/ml
Инъекция Fosfomycin 20 mg/ml
Натрия хлорид 0,9% 3997
совместимый
Инъекция Colistin mesilate sodium 4.5 mg/ml
Инъекция Fosfomycin 30 mg/ml
Глюкоза 5% 4055
совместимый
Инъекция Colistin mesilate sodium 4.5 mg/ml
Инъекция Fosfomycin 30 mg/ml
Натрия хлорид 0,9% 4055
Немедленная мутность несовместимый
Инъекция Colistin mesilate sodium 0,67 & 1,5 mg/ml
Инъекция Ibuprofen arginine 4 & 6 mg/ml
Натрия хлорид 0,9% 4855
совместимый
Инъекция Colistin mesilate sodium 1.5 mg/ml
Инъекция Imipenem - cilastatin sodium 5/5 mg/ml
Натрия хлорид 0,9% 3997
Немедленная мутность несовместимый
Инъекция Colistin mesilate sodium 4.5 mg/ml
Инъекция Isavuconazonium sulfate 1.5 mg/ml
Глюкоза 5% 3829
Немедленная мутность несовместимый
Инъекция Colistin mesilate sodium 4.5 mg/ml
Инъекция Isavuconazonium sulfate 1.5 mg/ml
Натрия хлорид 0,9% 3829
совместимый
Инъекция Colistin mesilate sodium 0,67 & 1,5 mg/ml
Инъекция Ketoprofene 0,4 mg/ml
Натрия хлорид 0,9% 4855
совместимый
Инъекция Colistin mesilate sodium 1.5 mg/ml
Инъекция Linezolid 2 mg/ml
Натрия хлорид 0,9% 3997
совместимый
Инъекция Colistin mesilate sodium 75 mg/ml
Инъекция Meropenem 50 mg/ml
Вода для инъекций 4319
совместимый
Инъекция Colistin mesilate sodium 1.5 mg/ml
Инъекция Meropenem 10 mg/ml
Натрия хлорид 0,9% 3997
Изменение цвета несовместимый
Инъекция Colistin mesilate sodium 0,67 & 1,5 mg/ml
Инъекция Metamizol sodium 50 mg/ml
Натрия хлорид 0,9% 4855
Изменение pH> 1 единицы pH несовместимый
Инъекция Colistin mesilate sodium 0,67 & 1,5 mg/ml
Инъекция Morphine sulfate 2 mg/ml
Натрия хлорид 0,9% 4855
совместимый
Инъекция Colistin mesilate sodium 0,67 & 1,5 mg/ml
Инъекция Paracetamol 10 mg/ml
Натрия хлорид 0,9% 4855
совместимый
Инъекция Colistin mesilate sodium 1.5 mg/ml
Инъекция Piperacillin sodium / tazobactam 40/0.5 mg/ml
Натрия хлорид 0,9% 3997
совместимый
Инъекция Colistin mesilate sodium 4.5 mg/ml
Инъекция Plazomicin sulfate 24 mg/ml
Натрия хлорид 0,9% 4145
совместимый
Инъекция Colistin mesilate sodium 4,5 mg/ml
Инъекция Sulbactam/durlobactam 15/15 mg/ml
Натрия хлорид 0,9% 4801
совместимый
Инъекция Colistin mesilate sodium 4.5 mg/ml
Инъекция Tedizolid phosphate 0.8 mg/ml
Натрия хлорид 0,9% 3827
Немедленная мутность несовместимый
Инъекция Colistin mesilate sodium 4,5 mg/ml
Инъекция Telavancin hydrochloride 7,5 mg/ml
Глюкоза 5% 3254
Немедленная мутность несовместимый
Инъекция Colistin mesilate sodium 4,5 mg/ml
Инъекция Telavancin hydrochloride 7,5 mg/ml
Раствор Рингера лактата 3254
совместимый
Инъекция Colistin mesilate sodium 4,5 mg/ml
Инъекция Telavancin hydrochloride 7,5 mg/ml
Натрия хлорид 0,9% 3254
совместимый
Инъекция Colistin mesilate sodium 0,67 & 1,5 mg/ml
Инъекция Tramadol hydrochloride 5 mg/ml
Натрия хлорид 0,9% 4855
совместимый
Инъекция Colistin mesilate sodium
Натрия хлорид 0,9% 4975
совместимый
Инъекция Colistin mesilate sodium 1.5 mg/ml
Инъекция Vancomycin hydrochloride 10 mg/ml
Натрия хлорид 0,9% 3997
совместимый
Инъекция Colistin mesilate sodium 0,8 mg/ml
Парентеральное питание (с липидами) 4438

  Mentions Légales