Poslední aktualizace :
27/04/2026
Antibiotikas   Colistin mesilate sodium  
Įpurškimas
Aerozolis
Tirpalų stabilumas Mišinių stabilumas Stabilumą lemiantys veiksniai Suderinamumas Leidimo būdai Bibliografija pdf
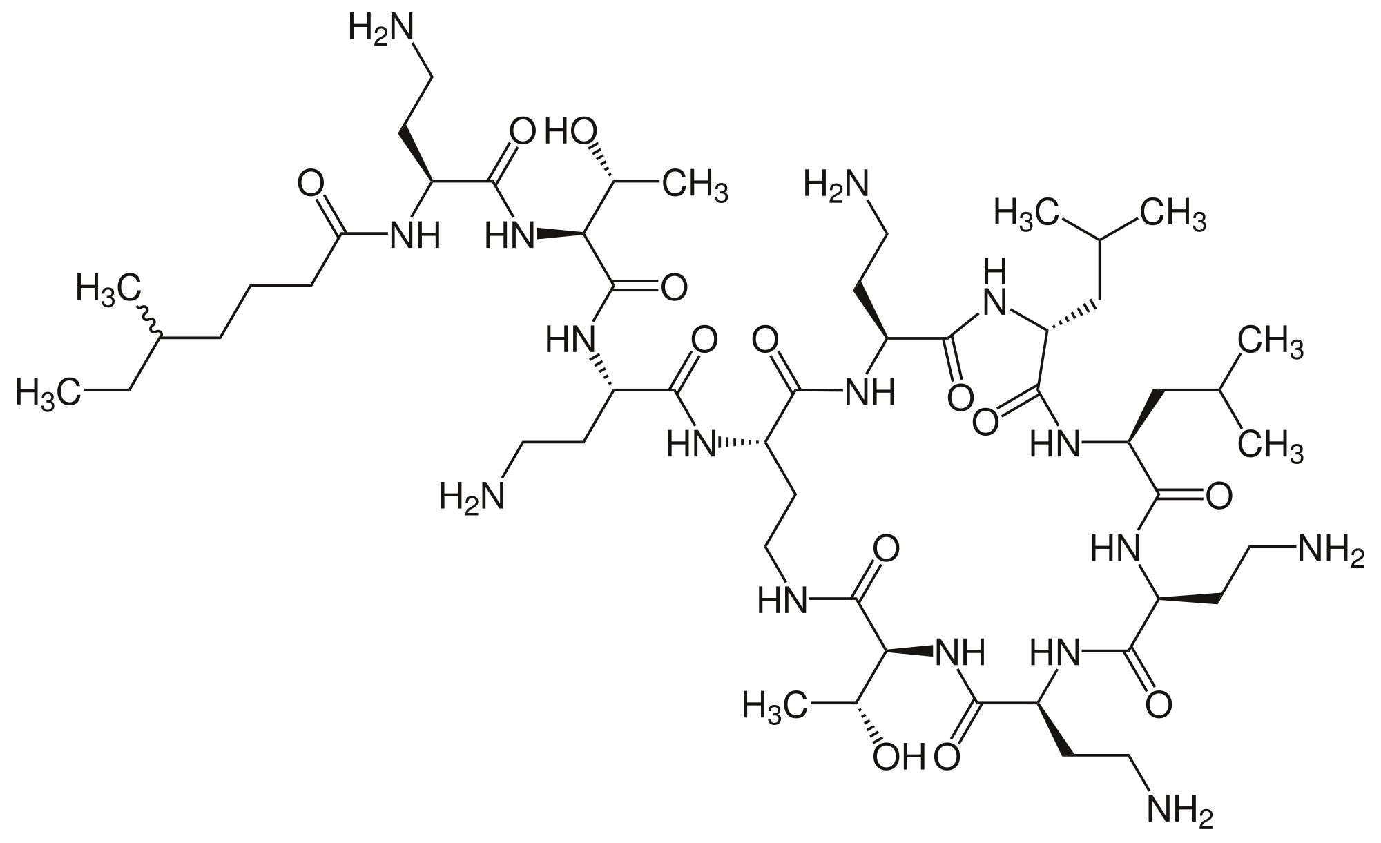
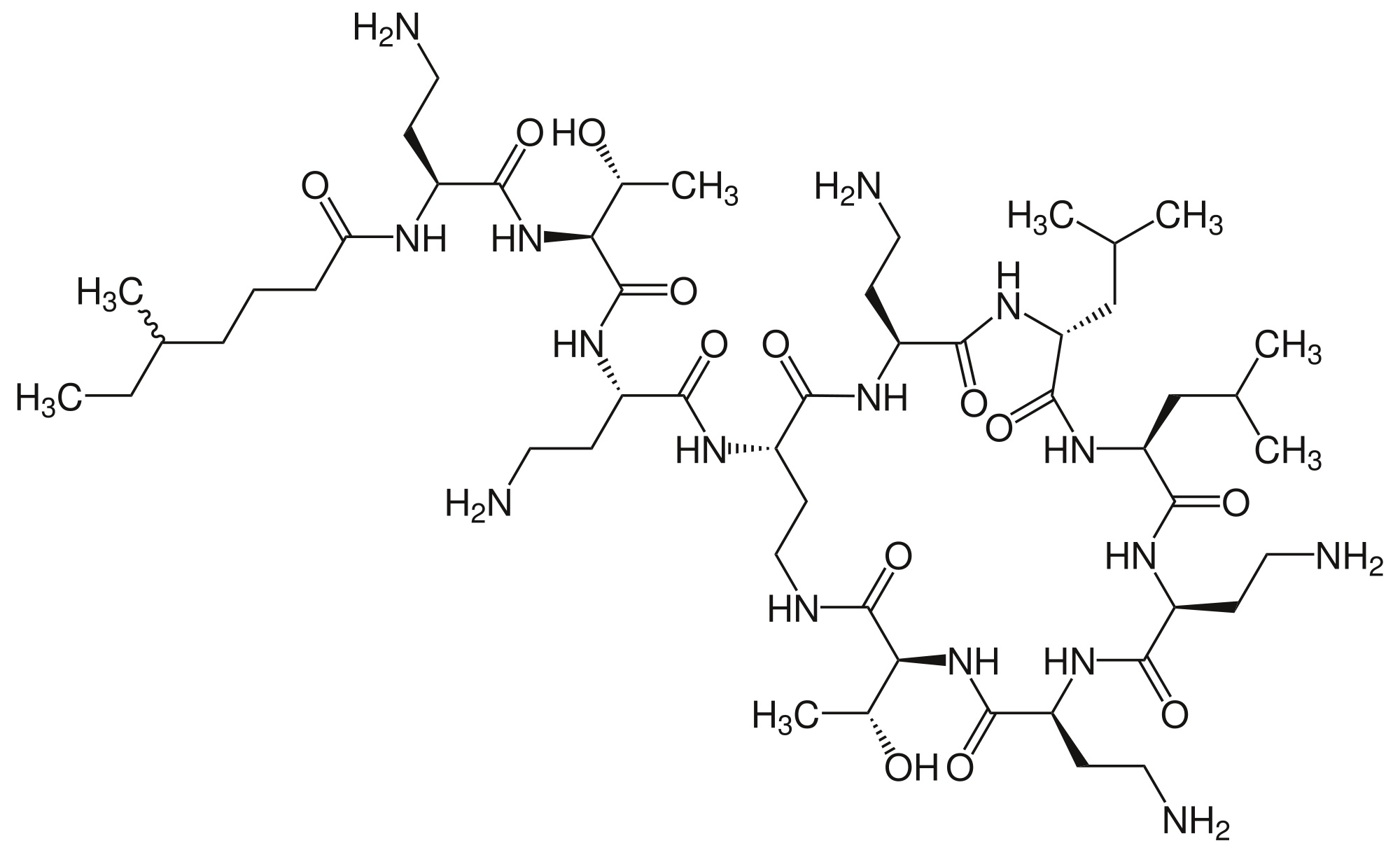
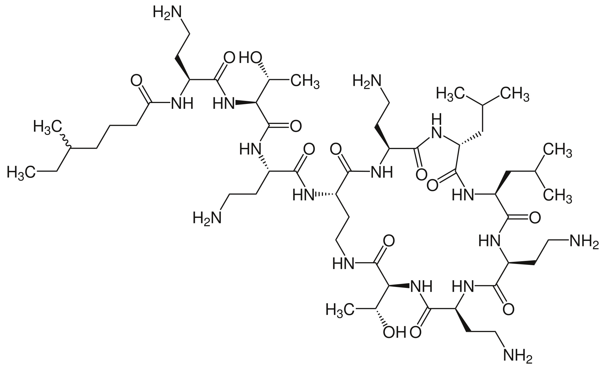
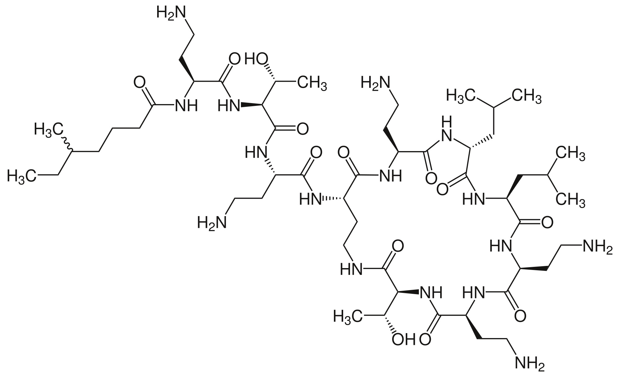
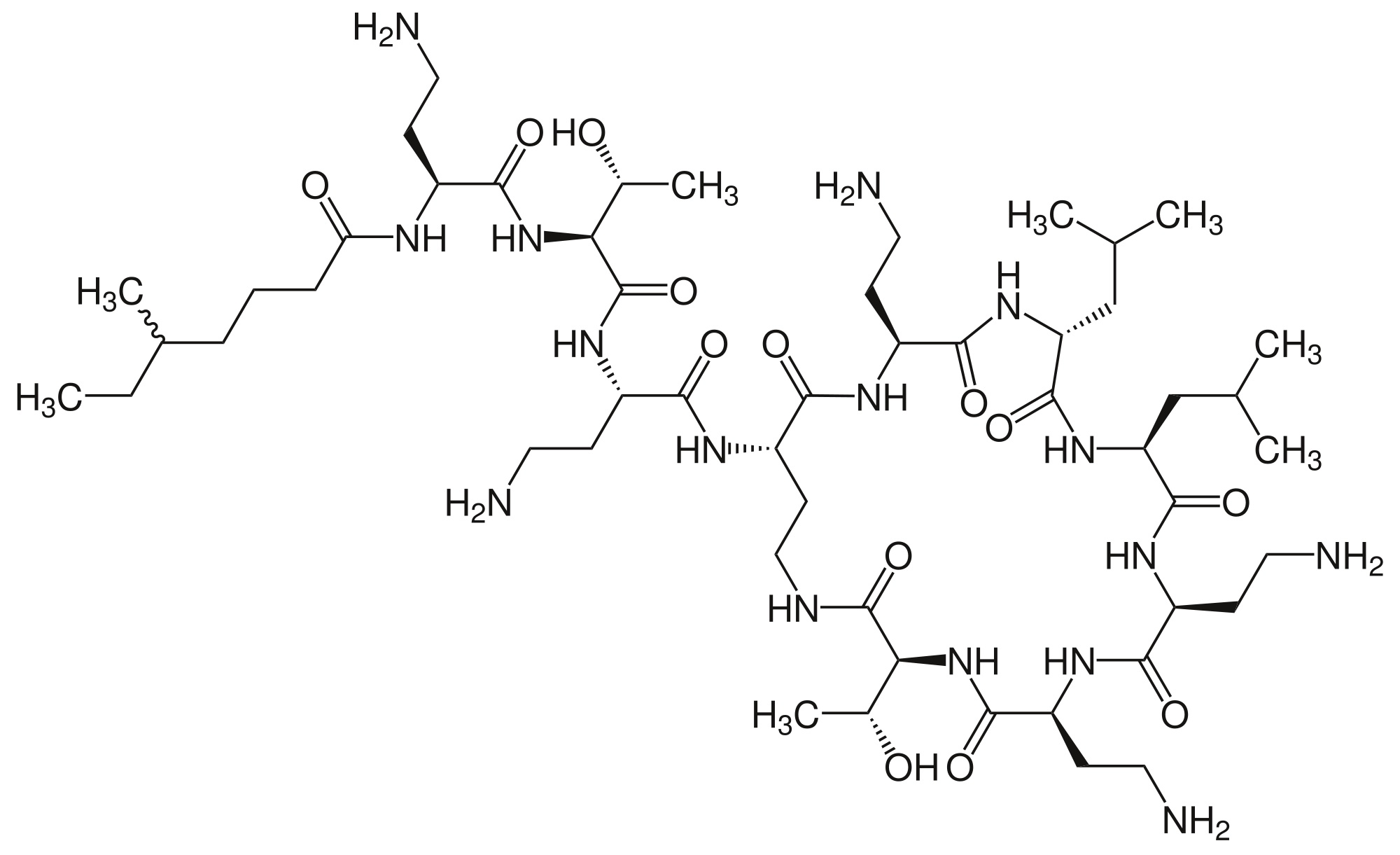
   Cheminė sandara  

Prekinis pavadinimas   Prekinis pavadinimas     

Trade names are indicative and excipients composition can be different depending on the country and manufacturers

Alficetin Argentina
Colimicina Italija
Colimycin Danija, Norvegija, Turkija
Colimycine Liuksemburgas, Marokas, Olandija, Prancūzija, Tunisas
Colismet Peru
Colistimethate Didžioji Britanija, Jungtinės Amerikos Valstijos, Kanada, Prancūzija
Colistin Austrija, Graikija, Lenkija, Naujojoje Zelandijoje, Vokietija
Colistina Argentina, Čilė, Portugalija
Colistineb Belgija
Colistyn Argentina
Colixin Slovėnija
Colomycin Airija, Didžioji Britanija, Jungtinės Amerikos Valstijos, Kanada, Malaizija
Dicupal Čilė
Elistin Peru
Kolisod Turkija
Nolisin
Promixin Airija, Didžioji Britanija, Norvegija, Vokietija
Toliscrin Argentina
Suderinamumas   Įpurškimas   Suderinamumas : Colistin mesilate sodium              
explication_incompatibilite_molecules
Molekulė Tirpiklis Nuorodos
Suderinamas
Įpurškimas Colistin mesilate sodium 4.5 mg/ml
Įpurškimas Cefiderocol sulfate tosylate 20 mg/mL
Gliukozė 5% 4528
Suderinamas
Įpurškimas Colistin mesilate sodium 4.5 mg/ml
Įpurškimas Cefiderocol sulfate tosylate 20 mg/mL
Natrio chloridas 0,9% 4528
Suderinamas
Įpurškimas Colistin mesilate sodium 1.5 mg/ml
Įpurškimas Ceftazidime 5 mg/ml
Natrio chloridas 0,9% 3997
Suderinamas
Įpurškimas Colistin mesilate sodium 4.5 mg/ml
Įpurškimas Ceftolozane / tazobactam 10/5 mg/ml
Gliukozė 5% 3828
Suderinamas
Įpurškimas Colistin mesilate sodium 4.5 mg/ml
Įpurškimas Ceftolozane / tazobactam 10/5 mg/ml
Natrio chloridas 0,9% 3828
Suderinamas
Įpurškimas Colistin mesilate sodium 1.5 mg/ml
Įpurškimas Cimetidine hydrochloride 3 mg/ml
Gliukozė 5% 1201
Nesuderinamas
Įpurškimas Colistin mesilate sodium
Aerozolis Cromoglycate sodium
2550
Tiesioginis drumstumas Nesuderinamas
Įpurškimas Colistin mesilate sodium 4,5 mg/ml
Įpurškimas Eravacycline 0,6 mg/ml
Natrio chloridas 0,9% 4434
Suderinamas
Įpurškimas Colistin mesilate sodium 1.5 mg/ml
Įpurškimas Ertapenem 5 mg/ml
Natrio chloridas 0,9% 3997
Nepatikslintas nesuderinamumas Nesuderinamas
Įpurškimas Colistin mesilate sodium
Įpurškimas Erythromycin lactobionate
3674
Suderinamas
Įpurškimas Colistin mesilate sodium 1.5 mg/ml
Įpurškimas Fosfomycin 20 mg/ml
Natrio chloridas 0,9% 3997
Suderinamas
Įpurškimas Colistin mesilate sodium 4.5 mg/ml
Įpurškimas Fosfomycin 30 mg/ml
Gliukozė 5% 4055
Suderinamas
Įpurškimas Colistin mesilate sodium 4.5 mg/ml
Įpurškimas Fosfomycin 30 mg/ml
Natrio chloridas 0,9% 4055
Tiesioginis drumstumas Nesuderinamas
Įpurškimas Colistin mesilate sodium 0,67 & 1,5 mg/ml
Įpurškimas Ibuprofen arginine 4 & 6 mg/ml
Natrio chloridas 0,9% 4855
Suderinamas
Įpurškimas Colistin mesilate sodium 1.5 mg/ml
Įpurškimas Imipenem - cilastatin sodium 5/5 mg/ml
Natrio chloridas 0,9% 3997
Tiesioginis drumstumas Nesuderinamas
Įpurškimas Colistin mesilate sodium 4.5 mg/ml
Įpurškimas Isavuconazonium sulfate 1.5 mg/ml
Gliukozė 5% 3829
Tiesioginis drumstumas Nesuderinamas
Įpurškimas Colistin mesilate sodium 4.5 mg/ml
Įpurškimas Isavuconazonium sulfate 1.5 mg/ml
Natrio chloridas 0,9% 3829
Suderinamas
Įpurškimas Colistin mesilate sodium 0,67 & 1,5 mg/ml
Įpurškimas Ketoprofene 0,4 mg/ml
Natrio chloridas 0,9% 4855
Suderinamas
Įpurškimas Colistin mesilate sodium 1.5 mg/ml
Įpurškimas Linezolid 2 mg/ml
Natrio chloridas 0,9% 3997
Suderinamas
Įpurškimas Colistin mesilate sodium 75 mg/ml
Įpurškimas Meropenem 50 mg/ml
Vanduo injekcijoms 4319
Suderinamas
Įpurškimas Colistin mesilate sodium 1.5 mg/ml
Įpurškimas Meropenem 10 mg/ml
Natrio chloridas 0,9% 3997
Spalvos pasikeitimas Nesuderinamas
Įpurškimas Colistin mesilate sodium 0,67 & 1,5 mg/ml
Įpurškimas Metamizol sodium 50 mg/ml
Natrio chloridas 0,9% 4855
pH modifikavimas> 1 pH vienetas Nesuderinamas
Įpurškimas Colistin mesilate sodium 0,67 & 1,5 mg/ml
Įpurškimas Morphine sulfate 2 mg/ml
Natrio chloridas 0,9% 4855
Suderinamas
Įpurškimas Colistin mesilate sodium 0,67 & 1,5 mg/ml
Įpurškimas Paracetamol 10 mg/ml
Natrio chloridas 0,9% 4855
Suderinamas
Įpurškimas Colistin mesilate sodium 1.5 mg/ml
Įpurškimas Piperacillin sodium / tazobactam 40/0.5 mg/ml
Natrio chloridas 0,9% 3997
Suderinamas
Įpurškimas Colistin mesilate sodium 4.5 mg/ml
Įpurškimas Plazomicin sulfate 24 mg/ml
Natrio chloridas 0,9% 4145
Suderinamas
Įpurškimas Colistin mesilate sodium 4,5 mg/ml
Įpurškimas Sulbactam/durlobactam 15/15 mg/ml
Natrio chloridas 0,9% 4801
Suderinamas
Įpurškimas Colistin mesilate sodium 4.5 mg/ml
Įpurškimas Tedizolid phosphate 0.8 mg/ml
Natrio chloridas 0,9% 3827
Tiesioginis drumstumas Nesuderinamas
Įpurškimas Colistin mesilate sodium 4,5 mg/ml
Įpurškimas Telavancin hydrochloride 7,5 mg/ml
Gliukozė 5% 3254
Tiesioginis drumstumas Nesuderinamas
Įpurškimas Colistin mesilate sodium 4,5 mg/ml
Įpurškimas Telavancin hydrochloride 7,5 mg/ml
Ringerio laktato tirpalas 3254
Suderinamas
Įpurškimas Colistin mesilate sodium 4,5 mg/ml
Įpurškimas Telavancin hydrochloride 7,5 mg/ml
Natrio chloridas 0,9% 3254
Suderinamas
Įpurškimas Colistin mesilate sodium 0,67 & 1,5 mg/ml
Įpurškimas Tramadol hydrochloride 5 mg/ml
Natrio chloridas 0,9% 4855
Suderinamas
Įpurškimas Colistin mesilate sodium
Natrio chloridas 0,9% 4975
Suderinamas
Įpurškimas Colistin mesilate sodium 1.5 mg/ml
Įpurškimas Vancomycin hydrochloride 10 mg/ml
Natrio chloridas 0,9% 3997
Suderinamas
Įpurškimas Colistin mesilate sodium 0,8 mg/ml
Parenteriniu būdu (su lipidų) 4438

  Mentions Légales