Utolsó frissítés :
27/04/2026
Antibiotikum   Colistin mesilate sodium  
Injekció
aeroszol
Az oldatok stabilitása A keverékek stabilitása Stabilitást befolyásoló tényezők Kompatibilitás Az alkalmazás módja Irodalom pdf
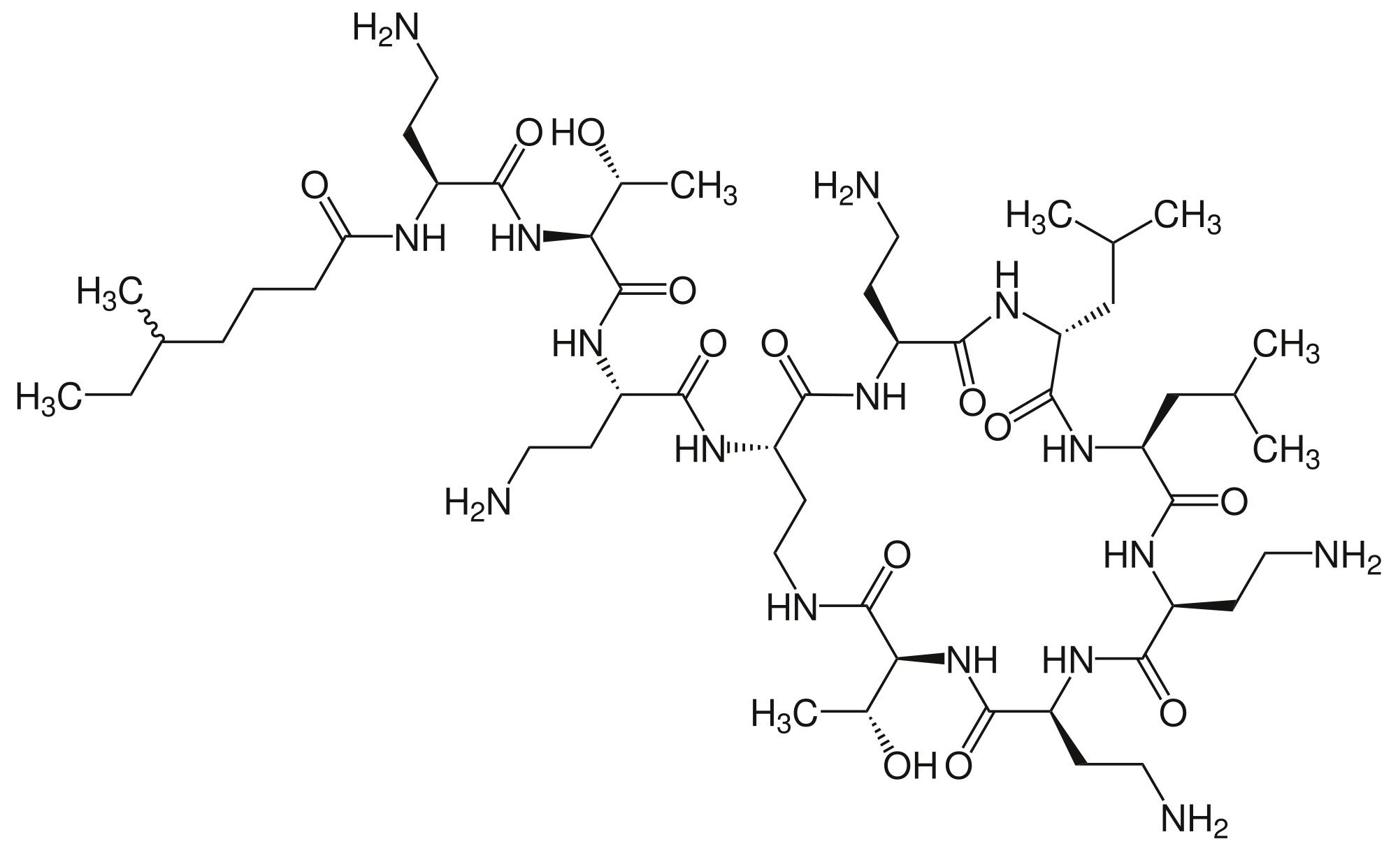
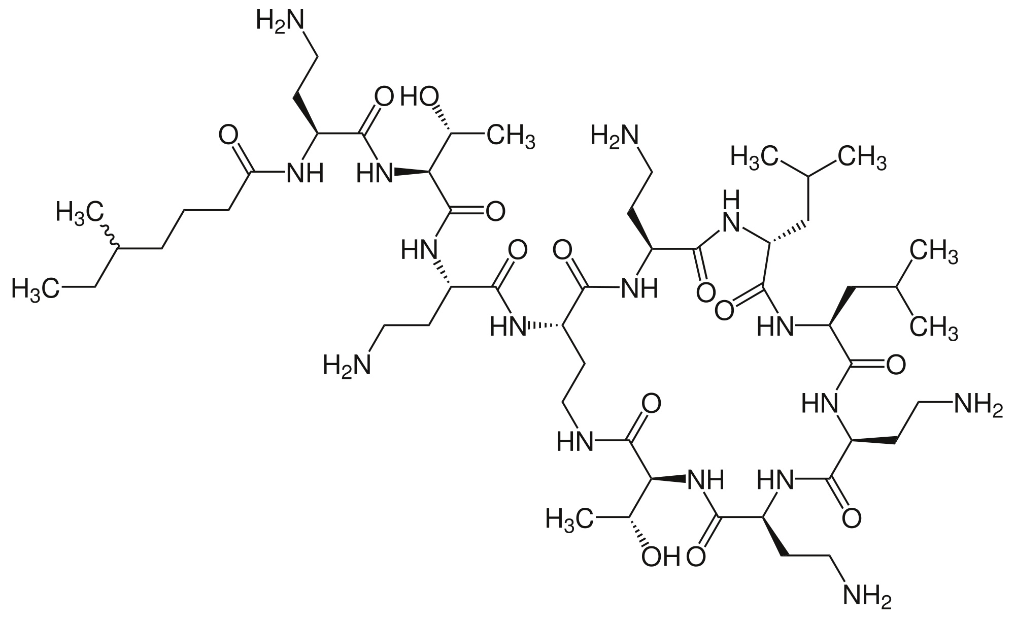
   Kémiai szerkezet   

Kereskedelmi név   Kereskedelmi név     

A kereskedelmi név meghatározó jelentőségű: a készítmények összetétele országonként, előállítóként eltérő lehet

Alficetin Argentína
Colimicina Olaszország
Colimycin Dánia, Norvégia, Törökország
Colimycine Franciaország, Hollandia, Luxemburg, Marokkó, Tunézia
Colismet Peru
Colistimethate Amerikai Egyesült Államok, Franciaország, Kanada, Nagy-Britannia
Colistin Ausztria, Görögország, Lengyelország, Németország, új-Zéland
Colistina Argentína, Chile, Portugália
Colistineb Belgium
Colistyn Argentína
Colixin Szlovénia
Colomycin Amerikai Egyesült Államok, Írország, Kanada, Malaysia, Nagy-Britannia
Dicupal Chile
Elistin Peru
Kolisod Törökország
Nolisin
Promixin Írország, Nagy-Britannia, Németország, Norvégia
Toliscrin Argentína
Kompatibilitás   Injekció   Kompatibilitás : Colistin mesilate sodium              
Ovdje su prikazane kompatibilnosti ili nekompatibilnosti s tipom nekompatibilnosti (taloženje, promjena boje, modifikacija emulzije itd.) u ovom slučaju. Kompatibilnosti prikazane ovdje najčešće su fizikalne dok se kemijska stabilnost molekule rijetko procjenjuje. Procjena ovih mikstura je proučavana kako bi se razmotrila mogućnost primjene lijeka putem Y-mjesta. Ovi se podaci ne smiju koristiti za pripremu mikstura unaprijed u vrećicama ili štrcaljkama. Ova vrsta informacije se može pronaći u odjeljku « stabilnost u miksturama ».
Vegyület Oldószer Irodalom
Összeegyeztethető
Injekció Colistin mesilate sodium 4.5 mg/ml
Injekció Cefiderocol sulfate tosylate 20 mg/mL
5% glükóz 4528
Összeegyeztethető
Injekció Colistin mesilate sodium 4.5 mg/ml
Injekció Cefiderocol sulfate tosylate 20 mg/mL
0,9% nátrium-klorid 4528
Összeegyeztethető
Injekció Colistin mesilate sodium 1.5 mg/ml
Injekció Ceftazidime 5 mg/ml
0,9% nátrium-klorid 3997
Összeegyeztethető
Injekció Colistin mesilate sodium 4.5 mg/ml
Injekció Ceftolozane / tazobactam 10/5 mg/ml
5% glükóz 3828
Összeegyeztethető
Injekció Colistin mesilate sodium 4.5 mg/ml
Injekció Ceftolozane / tazobactam 10/5 mg/ml
0,9% nátrium-klorid 3828
Összeegyeztethető
Injekció Colistin mesilate sodium 1.5 mg/ml
Injekció Cimetidine hydrochloride 3 mg/ml
5% glükóz 1201
Összeegyeztethetetlen
Injekció Colistin mesilate sodium
aeroszol Cromoglycate sodium
2550
Azonnali zavarosság Összeegyeztethetetlen
Injekció Colistin mesilate sodium 4,5 mg/ml
Injekció Eravacycline 0,6 mg/ml
0,9% nátrium-klorid 4434
Összeegyeztethető
Injekció Colistin mesilate sodium 1.5 mg/ml
Injekció Ertapenem 5 mg/ml
0,9% nátrium-klorid 3997
Meghatározatlan összeférhetetlenség Összeegyeztethetetlen
Injekció Colistin mesilate sodium
Injekció Erythromycin lactobionate
3674
Összeegyeztethető
Injekció Colistin mesilate sodium 1.5 mg/ml
Injekció Fosfomycin 20 mg/ml
0,9% nátrium-klorid 3997
Összeegyeztethető
Injekció Colistin mesilate sodium 4.5 mg/ml
Injekció Fosfomycin 30 mg/ml
5% glükóz 4055
Összeegyeztethető
Injekció Colistin mesilate sodium 4.5 mg/ml
Injekció Fosfomycin 30 mg/ml
0,9% nátrium-klorid 4055
Azonnali zavarosság Összeegyeztethetetlen
Injekció Colistin mesilate sodium 0,67 & 1,5 mg/ml
Injekció Ibuprofen arginine 4 & 6 mg/ml
0,9% nátrium-klorid 4855
Összeegyeztethető
Injekció Colistin mesilate sodium 1.5 mg/ml
Injekció Imipenem - cilastatin sodium 5/5 mg/ml
0,9% nátrium-klorid 3997
Azonnali zavarosság Összeegyeztethetetlen
Injekció Colistin mesilate sodium 4.5 mg/ml
Injekció Isavuconazonium sulfate 1.5 mg/ml
5% glükóz 3829
Azonnali zavarosság Összeegyeztethetetlen
Injekció Colistin mesilate sodium 4.5 mg/ml
Injekció Isavuconazonium sulfate 1.5 mg/ml
0,9% nátrium-klorid 3829
Összeegyeztethető
Injekció Colistin mesilate sodium 0,67 & 1,5 mg/ml
Injekció Ketoprofene 0,4 mg/ml
0,9% nátrium-klorid 4855
Összeegyeztethető
Injekció Colistin mesilate sodium 1.5 mg/ml
Injekció Linezolid 2 mg/ml
0,9% nátrium-klorid 3997
Összeegyeztethető
Injekció Colistin mesilate sodium 75 mg/ml
Injekció Meropenem 50 mg/ml
Injekcióhoz való víz 4319
Összeegyeztethető
Injekció Colistin mesilate sodium 1.5 mg/ml
Injekció Meropenem 10 mg/ml
0,9% nátrium-klorid 3997
Színváltozás Összeegyeztethetetlen
Injekció Colistin mesilate sodium 0,67 & 1,5 mg/ml
Injekció Metamizol sodium 50 mg/ml
0,9% nátrium-klorid 4855
A pH módosítása> 1 pH egység Összeegyeztethetetlen
Injekció Colistin mesilate sodium 0,67 & 1,5 mg/ml
Injekció Morphine sulfate 2 mg/ml
0,9% nátrium-klorid 4855
Összeegyeztethető
Injekció Colistin mesilate sodium 0,67 & 1,5 mg/ml
Injekció Paracetamol 10 mg/ml
0,9% nátrium-klorid 4855
Összeegyeztethető
Injekció Colistin mesilate sodium 1.5 mg/ml
Injekció Piperacillin sodium / tazobactam 40/0.5 mg/ml
0,9% nátrium-klorid 3997
Összeegyeztethető
Injekció Colistin mesilate sodium 4.5 mg/ml
Injekció Plazomicin sulfate 24 mg/ml
0,9% nátrium-klorid 4145
Összeegyeztethető
Injekció Colistin mesilate sodium 4,5 mg/ml
Injekció Sulbactam/durlobactam 15/15 mg/ml
0,9% nátrium-klorid 4801
Összeegyeztethető
Injekció Colistin mesilate sodium 4.5 mg/ml
Injekció Tedizolid phosphate 0.8 mg/ml
0,9% nátrium-klorid 3827
Azonnali zavarosság Összeegyeztethetetlen
Injekció Colistin mesilate sodium 4,5 mg/ml
Injekció Telavancin hydrochloride 7,5 mg/ml
5% glükóz 3254
Azonnali zavarosság Összeegyeztethetetlen
Injekció Colistin mesilate sodium 4,5 mg/ml
Injekció Telavancin hydrochloride 7,5 mg/ml
Ringer-laktát oldat 3254
Összeegyeztethető
Injekció Colistin mesilate sodium 4,5 mg/ml
Injekció Telavancin hydrochloride 7,5 mg/ml
0,9% nátrium-klorid 3254
Összeegyeztethető
Injekció Colistin mesilate sodium 0,67 & 1,5 mg/ml
Injekció Tramadol hydrochloride 5 mg/ml
0,9% nátrium-klorid 4855
Összeegyeztethető
Injekció Colistin mesilate sodium
0,9% nátrium-klorid 4975
Összeegyeztethető
Injekció Colistin mesilate sodium 1.5 mg/ml
Injekció Vancomycin hydrochloride 10 mg/ml
0,9% nátrium-klorid 3997
Összeegyeztethető
Injekció Colistin mesilate sodium 0,8 mg/ml
Parenterális táplálás (lipid) 4438

  Mentions Légales