Poslední aktualizace :
27/04/2026
Antibiotikum   Colistin mesilate sodium  
injekce
Aerosol
Stabilita roztoků Stabilita směsí Faktory ovlivňující stabilitu Kompatibilita Způsoby aplikace Odkazy pdf
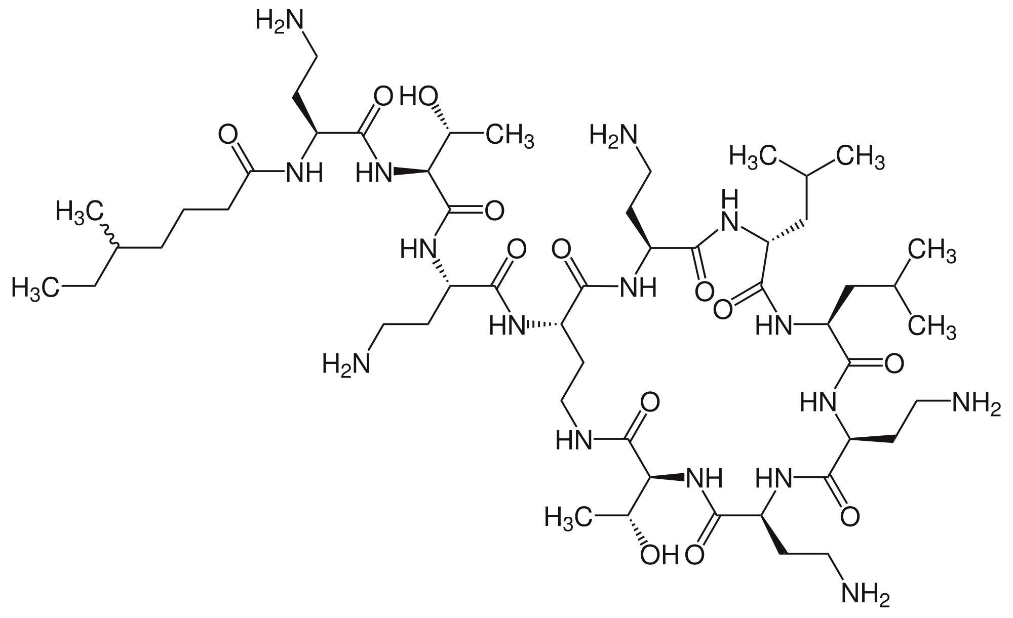
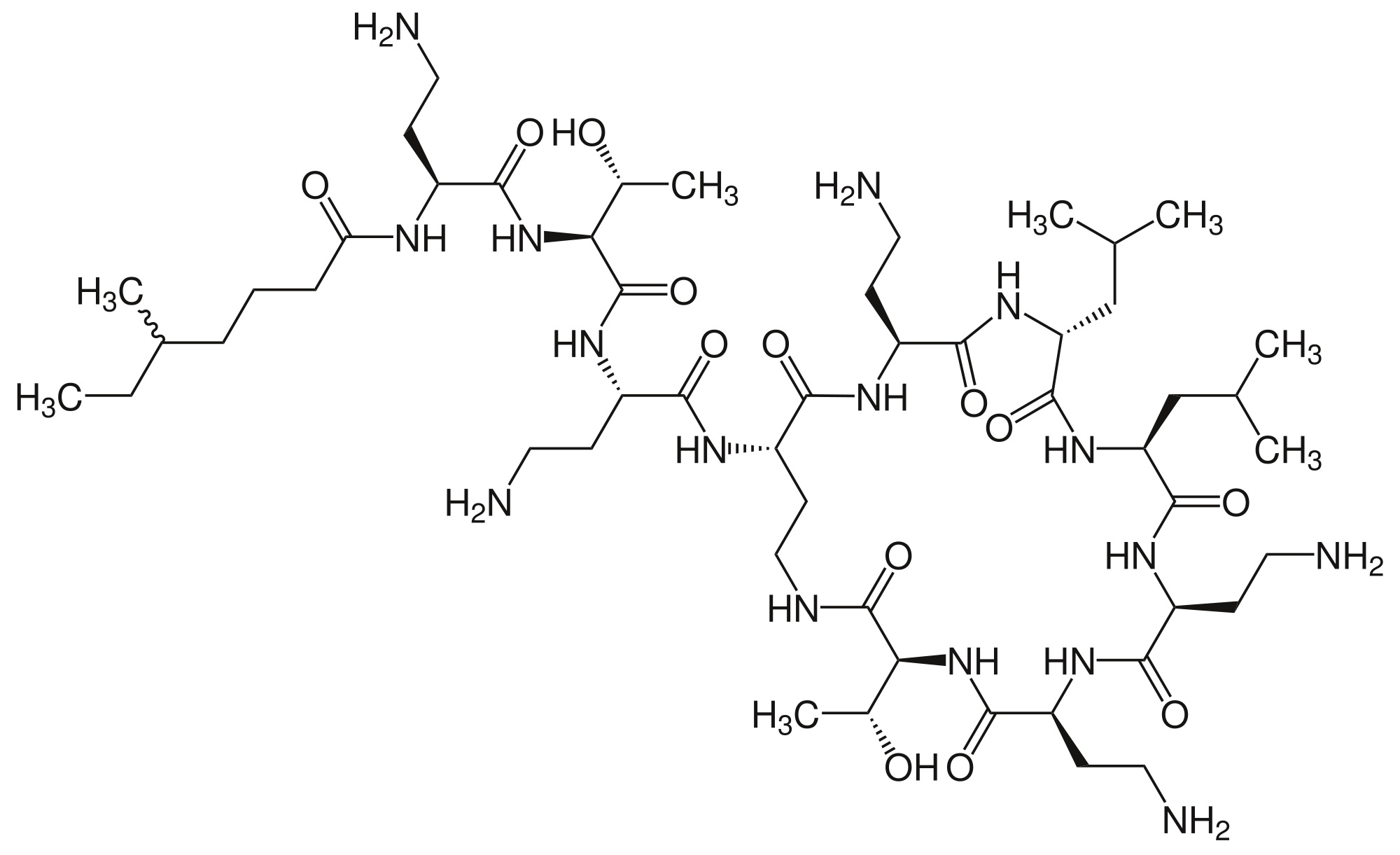
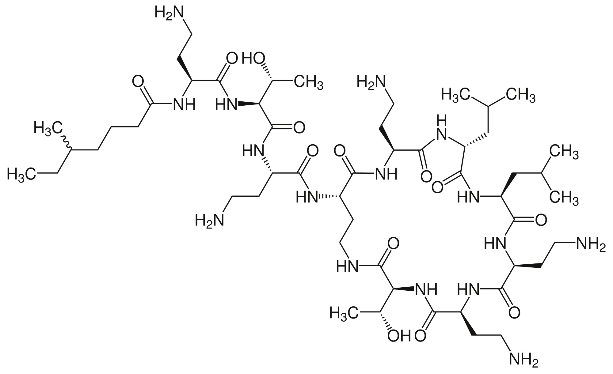
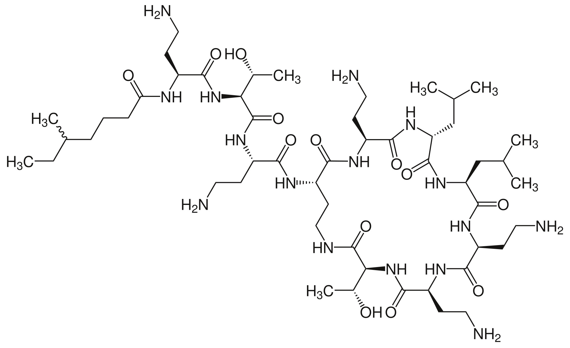
   Chemický vzorec  

Obchodní název   Obchodní název     

Trade names are indicative and excipients composition can be different depending on the country and manufacturers

Alficetin Argentina
Colimicina Itálie
Colimycin Dánsko, Norsko, Turecko
Colimycine Francie, Lucembursko, Maroko, Nizozemsko, Tunisko
Colismet Peru
Colistimethate Francie, Kanada, USA, Velká Británie
Colistin NÏmecko, nový Zéland, Polsko, Rakousko, ÿecko
Colistina Argentina, Chile, Portugalsko
Colistineb Belgie
Colistyn Argentina
Colixin Slovinsko
Colomycin Irsko, Kanada, Malajsie, USA, Velká Británie
Dicupal Chile
Elistin Peru
Kolisod Turecko
Nolisin
Promixin Irsko, NÏmecko, Norsko, Velká Británie
Toliscrin Argentina
Kompatibilita   injekce   Kompatibilita : Colistin mesilate sodium              
Tato obrazovka ukazuje kompatibilitu nebo nekompatibilitu s, v tomto případě, typem nekompatibility (srážení, změna barvy, modifikace emulze atd.). Zde uvedené kompatibility jsou většinou pouze fyzikální, přičemž chemická stabilita každé molekuly je zřídka hodnocena. Hodnocení těchto směsí bylo studováno, aby se zvážila možnost podání Y-místa pacientovi. Tyto údaje nelze použít k přípravě směsí předem v pytlích nebo stříkačkách. Tento typ informací je k dispozici na obrazovce „Stabilita ve směsi“.
SlouËenina RozpouötÏdlo Odkazy
Kompatibilní
injekce Colistin mesilate sodium 4.5 mg/ml
injekce Cefiderocol sulfate tosylate 20 mg/mL
GlukÛza 5% 4528
Kompatibilní
injekce Colistin mesilate sodium 4.5 mg/ml
injekce Cefiderocol sulfate tosylate 20 mg/mL
Chlorid sodný 0,9% 4528
Kompatibilní
injekce Colistin mesilate sodium 1.5 mg/ml
injekce Ceftazidime 5 mg/ml
Chlorid sodný 0,9% 3997
Kompatibilní
injekce Colistin mesilate sodium 4.5 mg/ml
injekce Ceftolozane / tazobactam 10/5 mg/ml
GlukÛza 5% 3828
Kompatibilní
injekce Colistin mesilate sodium 4.5 mg/ml
injekce Ceftolozane / tazobactam 10/5 mg/ml
Chlorid sodný 0,9% 3828
Kompatibilní
injekce Colistin mesilate sodium 1.5 mg/ml
injekce Cimetidine hydrochloride 3 mg/ml
GlukÛza 5% 1201
Nekompatibilní
injekce Colistin mesilate sodium
Aerosol Cromoglycate sodium
2550
Okamžitá zákal Nekompatibilní
injekce Colistin mesilate sodium 4,5 mg/ml
injekce Eravacycline 0,6 mg/ml
Chlorid sodný 0,9% 4434
Kompatibilní
injekce Colistin mesilate sodium 1.5 mg/ml
injekce Ertapenem 5 mg/ml
Chlorid sodný 0,9% 3997
Nespecifikovaná nekompatibilita Nekompatibilní
injekce Colistin mesilate sodium
injekce Erythromycin lactobionate
3674
Kompatibilní
injekce Colistin mesilate sodium 1.5 mg/ml
injekce Fosfomycin 20 mg/ml
Chlorid sodný 0,9% 3997
Kompatibilní
injekce Colistin mesilate sodium 4.5 mg/ml
injekce Fosfomycin 30 mg/ml
GlukÛza 5% 4055
Kompatibilní
injekce Colistin mesilate sodium 4.5 mg/ml
injekce Fosfomycin 30 mg/ml
Chlorid sodný 0,9% 4055
Okamžitá zákal Nekompatibilní
injekce Colistin mesilate sodium 0,67 & 1,5 mg/ml
injekce Ibuprofen arginine 4 & 6 mg/ml
Chlorid sodný 0,9% 4855
Kompatibilní
injekce Colistin mesilate sodium 1.5 mg/ml
injekce Imipenem - cilastatin sodium 5/5 mg/ml
Chlorid sodný 0,9% 3997
Okamžitá zákal Nekompatibilní
injekce Colistin mesilate sodium 4.5 mg/ml
injekce Isavuconazonium sulfate 1.5 mg/ml
GlukÛza 5% 3829
Okamžitá zákal Nekompatibilní
injekce Colistin mesilate sodium 4.5 mg/ml
injekce Isavuconazonium sulfate 1.5 mg/ml
Chlorid sodný 0,9% 3829
Kompatibilní
injekce Colistin mesilate sodium 0,67 & 1,5 mg/ml
injekce Ketoprofene 0,4 mg/ml
Chlorid sodný 0,9% 4855
Kompatibilní
injekce Colistin mesilate sodium 1.5 mg/ml
injekce Linezolid 2 mg/ml
Chlorid sodný 0,9% 3997
Kompatibilní
injekce Colistin mesilate sodium 75 mg/ml
injekce Meropenem 50 mg/ml
Voda pro injekci 4319
Kompatibilní
injekce Colistin mesilate sodium 1.5 mg/ml
injekce Meropenem 10 mg/ml
Chlorid sodný 0,9% 3997
Změna barvy Nekompatibilní
injekce Colistin mesilate sodium 0,67 & 1,5 mg/ml
injekce Metamizol sodium 50 mg/ml
Chlorid sodný 0,9% 4855
Úprava pH> 1 jednotka pH Nekompatibilní
injekce Colistin mesilate sodium 0,67 & 1,5 mg/ml
injekce Morphine sulfate 2 mg/ml
Chlorid sodný 0,9% 4855
Kompatibilní
injekce Colistin mesilate sodium 0,67 & 1,5 mg/ml
injekce Paracetamol 10 mg/ml
Chlorid sodný 0,9% 4855
Kompatibilní
injekce Colistin mesilate sodium 1.5 mg/ml
injekce Piperacillin sodium / tazobactam 40/0.5 mg/ml
Chlorid sodný 0,9% 3997
Kompatibilní
injekce Colistin mesilate sodium 4.5 mg/ml
injekce Plazomicin sulfate 24 mg/ml
Chlorid sodný 0,9% 4145
Kompatibilní
injekce Colistin mesilate sodium 4,5 mg/ml
injekce Sulbactam/durlobactam 15/15 mg/ml
Chlorid sodný 0,9% 4801
Kompatibilní
injekce Colistin mesilate sodium 4.5 mg/ml
injekce Tedizolid phosphate 0.8 mg/ml
Chlorid sodný 0,9% 3827
Okamžitá zákal Nekompatibilní
injekce Colistin mesilate sodium 4,5 mg/ml
injekce Telavancin hydrochloride 7,5 mg/ml
GlukÛza 5% 3254
Okamžitá zákal Nekompatibilní
injekce Colistin mesilate sodium 4,5 mg/ml
injekce Telavancin hydrochloride 7,5 mg/ml
RingerŐs laktátový roztok 3254
Kompatibilní
injekce Colistin mesilate sodium 4,5 mg/ml
injekce Telavancin hydrochloride 7,5 mg/ml
Chlorid sodný 0,9% 3254
Kompatibilní
injekce Colistin mesilate sodium 0,67 & 1,5 mg/ml
injekce Tramadol hydrochloride 5 mg/ml
Chlorid sodný 0,9% 4855
Kompatibilní
injekce Colistin mesilate sodium
Chlorid sodný 0,9% 4975
Kompatibilní
injekce Colistin mesilate sodium 1.5 mg/ml
injekce Vancomycin hydrochloride 10 mg/ml
Chlorid sodný 0,9% 3997
Kompatibilní
injekce Colistin mesilate sodium 0,8 mg/ml
Parenterální výživa (lipidy) 4438

  Mentions Légales