Dernière mise à jour :
27/04/2026
Antibiotique   Colistin mesilate sodium  
injectable
Aérosol
Stabilité des solutions Stabilité en mélange Facteur influençant la stabilité Compatibilités Voie d’administration Bibliographie pdf
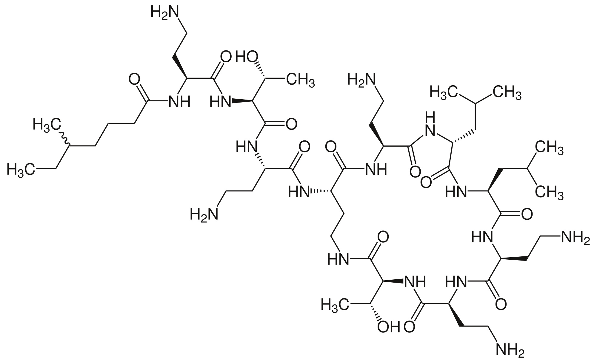
   Structure chimique  

Noms commerciaux   Noms commerciaux     

Les noms commerciaux sont donnés à titre indicatif et la composition en excipients peut être différente selon les pays et selon les laboratoires

Alficetin Argentine
Colimicina Italie
Colimycin Danemark, Norvège, Turquie
Colimycine France, Luxembourg, Maroc, Pays bas, Tunisie
Colismet Pérou
Colistimethate Canada, Etats Unis d’Amérique, France, Grande Bretagne
Colistin Allemagne, Autriche, Grèce, Nouvelle Zélande, Pologne
Colistina Argentine, Chili, Portugal
Colistineb Belgique
Colistyn Argentine
Colixin Slovénie
Colomycin Canada, Etats Unis d’Amérique, Grande Bretagne, Irlande, Malaisie
Dicupal Chili
Elistin Pérou
Kolisod Turquie
Nolisin
Promixin Allemagne, Grande Bretagne, Irlande, Norvège
Toliscrin Argentine
Compatibilités   injectable   Compatibilités : Colistin mesilate sodium              
Cet écran indique les compatibilités ou incompatibilités avec, dans ce cas, le type d'incompatibilité (précipitation, changement de couleur, modification d'une émulsion, etc.). Les compatibilités présentées ici sont pour la plupart uniquement physiques, la stabilité chimique de chaque molécule étant rarement évaluée. L'évaluation de ces mélanges a été étudiée pour envisager la possibilité d'une administration en site Y au patient. Ces données ne peuvent pas être utilisées pour préparer des mélanges à l'avance dans des poches de perfusion ou des seringues. Ce type d'informations est disponible dans l'écran « Stabilité en mélange ».
Molécule Solvant Bibliographie
Compatible
injectable Colistin mesilate sodium 4.5 mg/ml
injectable Cefiderocol sulfate tosylate 20 mg/mL
Glucose 5% 4528
Compatible
injectable Colistin mesilate sodium 4.5 mg/ml
injectable Cefiderocol sulfate tosylate 20 mg/mL
Chlorure de sodium 0,9% 4528
Compatible
injectable Colistin mesilate sodium 1.5 mg/ml
injectable Ceftazidime 5 mg/ml
Chlorure de sodium 0,9% 3997
Compatible
injectable Colistin mesilate sodium 4.5 mg/ml
injectable Ceftolozane / tazobactam 10/5 mg/ml
Glucose 5% 3828
Compatible
injectable Colistin mesilate sodium 4.5 mg/ml
injectable Ceftolozane / tazobactam 10/5 mg/ml
Chlorure de sodium 0,9% 3828
Compatible
injectable Colistin mesilate sodium 1.5 mg/ml
injectable Cimetidine hydrochloride 3 mg/ml
Glucose 5% 1201
Incompatible
injectable Colistin mesilate sodium
Aérosol Cromoglycate sodium
2550
Turbidité immédiate Incompatible
injectable Colistin mesilate sodium 4,5 mg/ml
injectable Eravacycline 0,6 mg/ml
Chlorure de sodium 0,9% 4434
Compatible
injectable Colistin mesilate sodium 1.5 mg/ml
injectable Ertapenem 5 mg/ml
Chlorure de sodium 0,9% 3997
Incompatibilité non précisée Incompatible
injectable Colistin mesilate sodium
injectable Erythromycin lactobionate
3674
Compatible
injectable Colistin mesilate sodium 1.5 mg/ml
injectable Fosfomycin 20 mg/ml
Chlorure de sodium 0,9% 3997
Compatible
injectable Colistin mesilate sodium 4.5 mg/ml
injectable Fosfomycin 30 mg/ml
Glucose 5% 4055
Compatible
injectable Colistin mesilate sodium 4.5 mg/ml
injectable Fosfomycin 30 mg/ml
Chlorure de sodium 0,9% 4055
Turbidité immédiate Incompatible
injectable Colistin mesilate sodium 0,67 & 1,5 mg/ml
injectable Ibuprofen arginine 4 & 6 mg/ml
Chlorure de sodium 0,9% 4855
Compatible
injectable Colistin mesilate sodium 1.5 mg/ml
injectable Imipenem - cilastatin sodium 5/5 mg/ml
Chlorure de sodium 0,9% 3997
Turbidité immédiate Incompatible
injectable Colistin mesilate sodium 4.5 mg/ml
injectable Isavuconazonium sulfate 1.5 mg/ml
Glucose 5% 3829
Turbidité immédiate Incompatible
injectable Colistin mesilate sodium 4.5 mg/ml
injectable Isavuconazonium sulfate 1.5 mg/ml
Chlorure de sodium 0,9% 3829
Compatible
injectable Colistin mesilate sodium 0,67 & 1,5 mg/ml
injectable Ketoprofene 0,4 mg/ml
Chlorure de sodium 0,9% 4855
Compatible
injectable Colistin mesilate sodium 1.5 mg/ml
injectable Linezolid 2 mg/ml
Chlorure de sodium 0,9% 3997
Compatible
injectable Colistin mesilate sodium 75 mg/ml
injectable Meropenem 50 mg/ml
Eau pour préparation injectable 4319
Compatible
injectable Colistin mesilate sodium 1.5 mg/ml
injectable Meropenem 10 mg/ml
Chlorure de sodium 0,9% 3997
Changement de couleur Incompatible
injectable Colistin mesilate sodium 0,67 & 1,5 mg/ml
injectable Metamizol sodium 50 mg/ml
Chlorure de sodium 0,9% 4855
Modification du pH > 1 unité pH Incompatible
injectable Colistin mesilate sodium 0,67 & 1,5 mg/ml
injectable Morphine sulfate 2 mg/ml
Chlorure de sodium 0,9% 4855
Compatible
injectable Colistin mesilate sodium 0,67 & 1,5 mg/ml
injectable Paracetamol 10 mg/ml
Chlorure de sodium 0,9% 4855
Compatible
injectable Colistin mesilate sodium 1.5 mg/ml
injectable Piperacillin sodium / tazobactam 40/0.5 mg/ml
Chlorure de sodium 0,9% 3997
Compatible
injectable Colistin mesilate sodium 4.5 mg/ml
injectable Plazomicin sulfate 24 mg/ml
Chlorure de sodium 0,9% 4145
Compatible
injectable Colistin mesilate sodium 4,5 mg/ml
injectable Sulbactam/durlobactam 15/15 mg/ml
Chlorure de sodium 0,9% 4801
Compatible
injectable Colistin mesilate sodium 4.5 mg/ml
injectable Tedizolid phosphate 0.8 mg/ml
Chlorure de sodium 0,9% 3827
Turbidité immédiate Incompatible
injectable Colistin mesilate sodium 4,5 mg/ml
injectable Telavancin hydrochloride 7,5 mg/ml
Glucose 5% 3254
Turbidité immédiate Incompatible
injectable Colistin mesilate sodium 4,5 mg/ml
injectable Telavancin hydrochloride 7,5 mg/ml
Ringer lactate 3254
Compatible
injectable Colistin mesilate sodium 4,5 mg/ml
injectable Telavancin hydrochloride 7,5 mg/ml
Chlorure de sodium 0,9% 3254
Compatible
injectable Colistin mesilate sodium 0,67 & 1,5 mg/ml
injectable Tramadol hydrochloride 5 mg/ml
Chlorure de sodium 0,9% 4855
Compatible
injectable Colistin mesilate sodium
Chlorure de sodium 0,9% 4975
Compatible
injectable Colistin mesilate sodium 1.5 mg/ml
injectable Vancomycin hydrochloride 10 mg/ml
Chlorure de sodium 0,9% 3997
Compatible
injectable Colistin mesilate sodium 0,8 mg/ml
Nutrition parentérale (mélange ternaire) 4438

  Mentions Légales