آخر تحديث :
27/04/2026
مضاد حيوي   Colistin mesilate sodium  
حقن
الأيروصولات
الاستقرار في حلول استقرار مخاليط العوامل التي تؤثر على الاستقرار التوافق طريقة التعاطي مراجع pdf
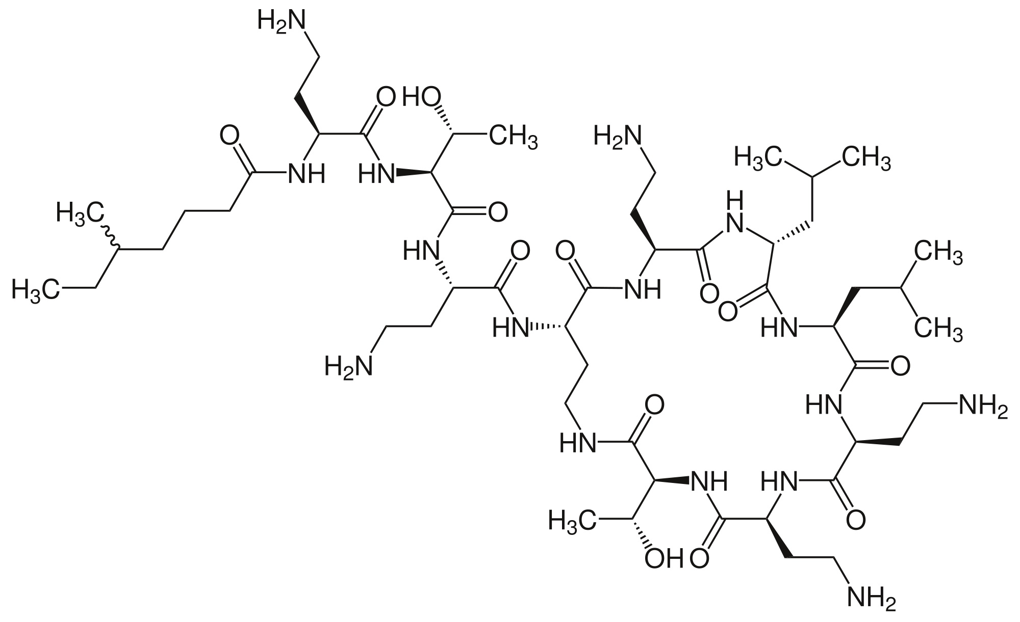
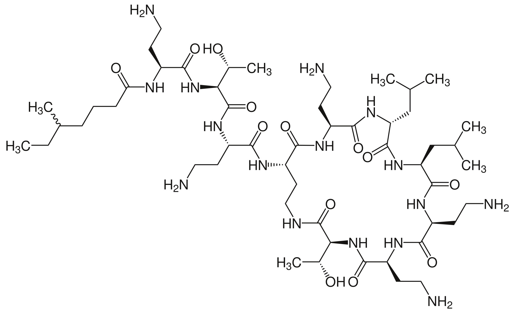
   التركيب الكيميائي  

حجز الاسم التجاري   حجز الاسم التجاري     

تحذير الأسماء التجاريه المختلفه قد تحتوي علي محتوي إضافات مختلفة حسب الدوله و المعمل

Alficetin الأرجنتين
Colimicina إيطاليا
Colimycin الدنمارك, النرويج, تركيا
Colimycine المغرب, تونس, فرنسا, لوكسمبورغ, هولندا
Colismet بيرو
Colistimethate الولايات المتحدة, بريطانيا العظمي, فرنسا, كندا
Colistin ألمانيا, النمسا, بولندا, زيلاندا الجديدة, يونان
Colistina الأرجنتين, البرتغال, تشيلي
Colistineb بلجيكا
Colistyn الأرجنتين
Colixin سلوفينيا
Colomycin الولايات المتحدة, ايرلندا, بريطانيا العظمي, كندا, ماليزيا
Dicupal تشيلي
Elistin بيرو
Kolisod تركيا
Nolisin
Promixin ألمانيا, النرويج, ايرلندا, بريطانيا العظمي
Toliscrin الأرجنتين
التوافق   حقن   التوافق : Colistin mesilate sodium              
This screen indicates the compatibilities or incompatibilities with, in this case, the type of incompatibility (precipitation, color change, modification of an emulsion, etc.). The compatibilities shown here are mostly physical only, with the chemical stability of each molecule rarely being assessed. The evaluation of these mixtures was studied to consider the possibility of Y-site administration to the patient. These data cannot be used for making mixtures in advance in bags or syringes. This type of information is available in the screen "Stability in mixture ».
مركب مذيب مراجع
kompatibel
حقن Colistin mesilate sodium 4.5 mg/ml
حقن Cefiderocol sulfate tosylate 20 mg/mL
الجلوكوز %5 4528
kompatibel
حقن Colistin mesilate sodium 4.5 mg/ml
حقن Cefiderocol sulfate tosylate 20 mg/mL
كلوريد الصوديوم 0.9% 4528
kompatibel
حقن Colistin mesilate sodium 1.5 mg/ml
حقن Ceftazidime 5 mg/ml
كلوريد الصوديوم 0.9% 3997
kompatibel
حقن Colistin mesilate sodium 4.5 mg/ml
حقن Ceftolozane / tazobactam 10/5 mg/ml
الجلوكوز %5 3828
kompatibel
حقن Colistin mesilate sodium 4.5 mg/ml
حقن Ceftolozane / tazobactam 10/5 mg/ml
كلوريد الصوديوم 0.9% 3828
kompatibel
حقن Colistin mesilate sodium 1.5 mg/ml
حقن Cimetidine hydrochloride 3 mg/ml
الجلوكوز %5 1201
غير متوافق
حقن Colistin mesilate sodium
الأيروصولات Cromoglycate sodium
2550
التعكر الفوري غير متوافق
حقن Colistin mesilate sodium 4,5 mg/ml
حقن Eravacycline 0,6 mg/ml
كلوريد الصوديوم 0.9% 4434
kompatibel
حقن Colistin mesilate sodium 1.5 mg/ml
حقن Ertapenem 5 mg/ml
كلوريد الصوديوم 0.9% 3997
عدم توافق غير محدد غير متوافق
حقن Colistin mesilate sodium
حقن Erythromycin lactobionate
3674
kompatibel
حقن Colistin mesilate sodium 1.5 mg/ml
حقن Fosfomycin 20 mg/ml
كلوريد الصوديوم 0.9% 3997
kompatibel
حقن Colistin mesilate sodium 4.5 mg/ml
حقن Fosfomycin 30 mg/ml
الجلوكوز %5 4055
kompatibel
حقن Colistin mesilate sodium 4.5 mg/ml
حقن Fosfomycin 30 mg/ml
كلوريد الصوديوم 0.9% 4055
التعكر الفوري غير متوافق
حقن Colistin mesilate sodium 0,67 & 1,5 mg/ml
حقن Ibuprofen arginine 4 & 6 mg/ml
كلوريد الصوديوم 0.9% 4855
kompatibel
حقن Colistin mesilate sodium 1.5 mg/ml
حقن Imipenem - cilastatin sodium 5/5 mg/ml
كلوريد الصوديوم 0.9% 3997
التعكر الفوري غير متوافق
حقن Colistin mesilate sodium 4.5 mg/ml
حقن Isavuconazonium sulfate 1.5 mg/ml
الجلوكوز %5 3829
التعكر الفوري غير متوافق
حقن Colistin mesilate sodium 4.5 mg/ml
حقن Isavuconazonium sulfate 1.5 mg/ml
كلوريد الصوديوم 0.9% 3829
kompatibel
حقن Colistin mesilate sodium 0,67 & 1,5 mg/ml
حقن Ketoprofene 0,4 mg/ml
كلوريد الصوديوم 0.9% 4855
kompatibel
حقن Colistin mesilate sodium 1.5 mg/ml
حقن Linezolid 2 mg/ml
كلوريد الصوديوم 0.9% 3997
kompatibel
حقن Colistin mesilate sodium 75 mg/ml
حقن Meropenem 50 mg/ml
حقن المياه لل 4319
kompatibel
حقن Colistin mesilate sodium 1.5 mg/ml
حقن Meropenem 10 mg/ml
كلوريد الصوديوم 0.9% 3997
تغير اللون غير متوافق
حقن Colistin mesilate sodium 0,67 & 1,5 mg/ml
حقن Metamizol sodium 50 mg/ml
كلوريد الصوديوم 0.9% 4855
تعديل درجة الحموضة> 1 وحدة أس هيدروجيني غير متوافق
حقن Colistin mesilate sodium 0,67 & 1,5 mg/ml
حقن Morphine sulfate 2 mg/ml
كلوريد الصوديوم 0.9% 4855
kompatibel
حقن Colistin mesilate sodium 0,67 & 1,5 mg/ml
حقن Paracetamol 10 mg/ml
كلوريد الصوديوم 0.9% 4855
kompatibel
حقن Colistin mesilate sodium 1.5 mg/ml
حقن Piperacillin sodium / tazobactam 40/0.5 mg/ml
كلوريد الصوديوم 0.9% 3997
kompatibel
حقن Colistin mesilate sodium 4.5 mg/ml
حقن Plazomicin sulfate 24 mg/ml
كلوريد الصوديوم 0.9% 4145
kompatibel
حقن Colistin mesilate sodium 4,5 mg/ml
حقن Sulbactam/durlobactam 15/15 mg/ml
كلوريد الصوديوم 0.9% 4801
kompatibel
حقن Colistin mesilate sodium 4.5 mg/ml
حقن Tedizolid phosphate 0.8 mg/ml
كلوريد الصوديوم 0.9% 3827
التعكر الفوري غير متوافق
حقن Colistin mesilate sodium 4,5 mg/ml
حقن Telavancin hydrochloride 7,5 mg/ml
الجلوكوز %5 3254
التعكر الفوري غير متوافق
حقن Colistin mesilate sodium 4,5 mg/ml
حقن Telavancin hydrochloride 7,5 mg/ml
محلول رينجر  اللاكتات 3254
kompatibel
حقن Colistin mesilate sodium 4,5 mg/ml
حقن Telavancin hydrochloride 7,5 mg/ml
كلوريد الصوديوم 0.9% 3254
kompatibel
حقن Colistin mesilate sodium 0,67 & 1,5 mg/ml
حقن Tramadol hydrochloride 5 mg/ml
كلوريد الصوديوم 0.9% 4855
kompatibel
حقن Colistin mesilate sodium
كلوريد الصوديوم 0.9% 4975
kompatibel
حقن Colistin mesilate sodium 1.5 mg/ml
حقن Vancomycin hydrochloride 10 mg/ml
كلوريد الصوديوم 0.9% 3997
kompatibel
حقن Colistin mesilate sodium 0,8 mg/ml
التغذية الوريدية (مع الدهون) 4438

  Mentions Légales