Son güncelleme :
27/04/2026
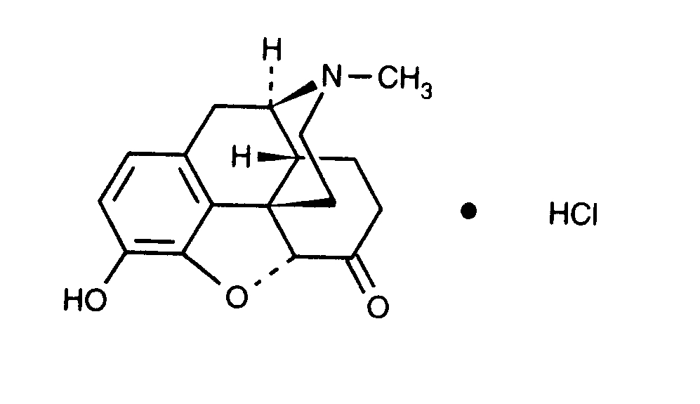
Analjezik   Hydromorphone hydrochloride  
Enjeksiyon
Çözeltilerin stabilitesi Karışımlardaki stabilitesi Stabiliteyi etkileyen faktörler Uyumluluk Uygulama yöntemi Kaynaklar pdf
   Kimyasal yapı   

Ticari isim   Ticari isim     

Trade names are indicative and excipients composition can be different depending on the country and manufacturers

Dilaudid Amerika Birleşik Devletleri, Kanada
Hydal Avusturya
Palladon Danimarka, İsviçre
Palladone Büyük Britanya
Karışımlardaki stabilitesi   Enjeksiyon    Karışımlardaki stabilitesi : Hydromorphone hydrochloride     
Saklama kabı Çözücü Konsantrasyon Bileşik Isı Saklama    Stabilite süresi Kaynaklar
Cam Sodyum klorür % 0,9 0,25 mg/ml
Enjeksiyon   Hydromorphone hydrochloride   
Enjeksiyon   Granisetron hydrochloride 0,5 mg/ml
20°C-23°C
4 Zaman
Işıktan koruyunuz 57
Kanıt düzeyi A+
Cam Sodyum klorür % 0,9 0,2 mg/ml
Enjeksiyon   Hydromorphone hydrochloride   
Enjeksiyon   Ketamine hydrochloride 0,2 >> 1 mg/ml
25°C
7 Gün
Işıktan koruyunuz 2336
Kanıt düzeyi D
Cam Sodyum klorür % 0,9 0,05 mg/ml
Enjeksiyon   Hydromorphone hydrochloride   
Enjeksiyon   Morphine hydrochloride 0,25 mg/ml
25°C
15 Gün
Belirtilmemiş 4667
Kanıt düzeyi D
Cam Sodyum klorür % 0,9 0,05 mg/ml
Enjeksiyon   Hydromorphone hydrochloride   
Enjeksiyon   Morphine hydrochloride 0,25 mg/ml
37°C
15 Gün
Belirtilmemiş 4667
Kanıt düzeyi D
Cam Glukoz %5 0,1 & 1 mg/ml
Enjeksiyon   Hydromorphone hydrochloride   
Enjeksiyon   Tacrolimus 5 & 20 µg/ml
23°C-25°C
4 Zaman
I_ık 814
Kanıt düzeyi A
Cam Yok 2 & 10 & 40 mg/ml
Enjeksiyon   Hydromorphone hydrochloride   
Enjeksiyon   Dimenhydrinate 50 mg/ml
23°C
24 Zaman
Belirtilmemiş 1497
Kanıt düzeyi B
Cam Yok 0,25 mg/ml
Enjeksiyon   Hydromorphone hydrochloride   
Enjeksiyon   Palonosetron hydrochloride 25 µg/ml
25°C
4 Zaman
I_ık 2196
Kanıt düzeyi A+
Cam Yok 2 & 10 & 40 mg/ml
Enjeksiyon   Hydromorphone hydrochloride   
Enjeksiyon   Dimenhydrinate 50 mg/ml
37°C
24 Zaman
Belirtilmemiş 1497
Kanıt düzeyi B
Cam Yok 2 & 10 & 40 mg/ml
Enjeksiyon   Hydromorphone hydrochloride   
Enjeksiyon   Dimenhydrinate 50 mg/ml
4°C
24 Zaman
Işıktan koruyunuz 1497
Kanıt düzeyi B
Polivinil klorür Sodyum klorür % 0,9 0,5 mg/ml
Enjeksiyon   Hydromorphone hydrochloride   
Enjeksiyon   Fluorouracil 1 & 16 mg/ml
-20°C
35 Gün
Işıktan koruyunuz 513
Kanıt düzeyi A+
Polivinil klorür Sodyum klorür % 0,9 20 mg/ml
Enjeksiyon   Hydromorphone hydrochloride   
Enjeksiyon   Esketamine 20 mg/ml
22°C
7 Gün
Belirtilmemiş 4664
Kanıt düzeyi D
Polivinil klorür Sodyum klorür % 0,9 0,5 mg/ml
Enjeksiyon   Hydromorphone hydrochloride   
Enjeksiyon   Ondansetron hydrochloride 0,1 & 1 mg/ml
22°C
31 Gün
Belirtilmemiş 6
Kanıt düzeyi A+
Polivinil klorür Sodyum klorür % 0,9 0,5 mg/ml
Enjeksiyon   Hydromorphone hydrochloride   
Enjeksiyon   Fluorouracil 16 mg/ml
23°C
7 Gün
Belirtilmemiş 513
Kanıt düzeyi A+
Polivinil klorür Sodyum klorür % 0,9 0,5 mg/ml
Enjeksiyon   Hydromorphone hydrochloride   
Enjeksiyon   Fluorouracil 1 mg/ml
23°C
35 Gün
Belirtilmemiş 513
Kanıt düzeyi A+
Polivinil klorür Sodyum klorür % 0,9 0,02 & 0,1 mg/ml
Enjeksiyon   Hydromorphone hydrochloride   
Enjeksiyon   Bupivacaine hydrochloride 0,62 & 1,2 mg/ml
23°C-25°C
72 Zaman
I_ık 306
Kanıt düzeyi A
Polivinil klorür Sodyum klorür % 0,9 0,2 mg/ml
Enjeksiyon   Hydromorphone hydrochloride   
Enjeksiyon   Ketamine hydrochloride 0,2 >> 1 mg/ml
25°C
7 Gün
Işıktan koruyunuz 2336
Kanıt düzeyi D
Polivinil klorür Sodyum klorür % 0,9 0,05 mg/ml
Enjeksiyon   Hydromorphone hydrochloride   
Enjeksiyon   Morphine hydrochloride 0,25 mg/ml
25°C
15 Gün
Belirtilmemiş 4667
Kanıt düzeyi D
Polivinil klorür Sodyum klorür % 0,9 0.0015 mg/ml
Enjeksiyon   Hydromorphone hydrochloride   
Enjeksiyon   Bupivacaine hydrochloride 0.5 mg/ml
25°C
30 Gün
Belirtilmemiş 4746
Kanıt düzeyi A
Polivinil klorür Sodyum klorür % 0,9 0.03 mg/ml
Enjeksiyon   Hydromorphone hydrochloride   
Enjeksiyon   Bupivacaine hydrochloride 0.5 mg/ml
25°C
30 Gün
Belirtilmemiş 4746
Kanıt düzeyi A
Polivinil klorür Sodyum klorür % 0,9 0.03 mg/ml
Enjeksiyon   Hydromorphone hydrochloride   
Enjeksiyon   Bupivacaine hydrochloride 2.5 mg/ml
25°C
30 Gün
Belirtilmemiş 4746
Kanıt düzeyi A
Polivinil klorür Sodyum klorür % 0,9 0.0015 mg/ml
Enjeksiyon   Hydromorphone hydrochloride   
Enjeksiyon   Bupivacaine hydrochloride 2.5 mg/ml
25°C
30 Gün
Belirtilmemiş 4746
Kanıt düzeyi A
Polivinil klorür Sodyum klorür % 0,9 0,5 mg/ml
Enjeksiyon   Hydromorphone hydrochloride   
Enjeksiyon   Fluorouracil 16 mg/ml
32°C
3 Gün
Belirtilmemiş 513
Kanıt düzeyi A+
Polivinil klorür Sodyum klorür % 0,9 0,5 mg/ml
Enjeksiyon   Hydromorphone hydrochloride   
Enjeksiyon   Ondansetron hydrochloride 0,1 & 1 mg/ml
32°C
7 Gün
Belirtilmemiş 6
Kanıt düzeyi A+
Polivinil klorür Sodyum klorür % 0,9 0,5 mg/ml
Enjeksiyon   Hydromorphone hydrochloride   
Enjeksiyon   Fluorouracil 1 mg/ml
32°C
7 Gün
Belirtilmemiş 513
Kanıt düzeyi A+
Polivinil klorür Sodyum klorür % 0,9 20 mg/ml
Enjeksiyon   Hydromorphone hydrochloride   
Enjeksiyon   Esketamine 20 mg/ml
37°C
7 Gün
Belirtilmemiş 4664
Kanıt düzeyi D
Polivinil klorür Sodyum klorür % 0,9 0,05 mg/ml
Enjeksiyon   Hydromorphone hydrochloride   
Enjeksiyon   Morphine hydrochloride 0,25 mg/ml
37°C
15 Gün
Belirtilmemiş 4667
Kanıt düzeyi D
Polivinil klorür Sodyum klorür % 0,9 0,5 mg/ml
Enjeksiyon   Hydromorphone hydrochloride   
Enjeksiyon   Ondansetron hydrochloride 0,1 & 1 mg/ml
4°C
31 Gün
Işıktan koruyunuz 6
Kanıt düzeyi A+
Polivinil klorür Sodyum klorür % 0,9 0,5 mg/ml
Enjeksiyon   Hydromorphone hydrochloride   
Enjeksiyon   Fluorouracil 1 & 16 mg/ml
4°C
35 Gün
Işıktan koruyunuz 513
Kanıt düzeyi A+
Polivinil klorür Sodyum klorür % 0,9 0.0015 mg/ml
Enjeksiyon   Hydromorphone hydrochloride   
Enjeksiyon   Bupivacaine hydrochloride 0.5 mg/ml
4°C
30 Gün
Belirtilmemiş 4746
Kanıt düzeyi A
Polivinil klorür Sodyum klorür % 0,9 0.03 mg/ml
Enjeksiyon   Hydromorphone hydrochloride   
Enjeksiyon   Bupivacaine hydrochloride 0.5 mg/ml
4°C
30 Gün
Belirtilmemiş 4746
Kanıt düzeyi A
Polivinil klorür Sodyum klorür % 0,9 0.03 mg/ml
Enjeksiyon   Hydromorphone hydrochloride   
Enjeksiyon   Bupivacaine hydrochloride 2.5 mg/ml
4°C
30 Gün
Belirtilmemiş 4746
Kanıt düzeyi A
Polivinil klorür Sodyum klorür % 0,9 0.0015 mg/ml
Enjeksiyon   Hydromorphone hydrochloride   
Enjeksiyon   Bupivacaine hydrochloride 2.5 mg/ml
4°C
30 Gün
Belirtilmemiş 4746
Kanıt düzeyi A
Polivinil klorür Sodyum klorür % 0,9 0,5 mg/ml
Enjeksiyon   Hydromorphone hydrochloride   
Enjeksiyon   Ondansetron hydrochloride 0,1 & 1 mg/ml
4°C-22°C
31 Gün
Belirtilmemiş 6
Kanıt düzeyi A+
Polivinil klorür Sodyum klorür % 0,9 0,5 mg/ml
Enjeksiyon   Hydromorphone hydrochloride   
Enjeksiyon   Granisetron hydrochloride 0,056 mg/ml
4°C-22°C
31 Zaman
Belirtilmemiş 6
Kanıt düzeyi A+
Polivinil klorür Sodyum klorür % 0,9 0,5 mg/ml
Enjeksiyon   Hydromorphone hydrochloride   
Enjeksiyon   Granisetron hydrochloride 0,056 mg/ml
4°C-22°C
31 Zaman
Belirtilmemiş 6
Kanıt düzeyi A+
Polivinil klorür Glukoz %5 0,5 mg/ml
Enjeksiyon   Hydromorphone hydrochloride   
Enjeksiyon   Fluorouracil 1 & 16 mg/ml
-20°C
35 Gün
Işıktan koruyunuz 513
Kanıt düzeyi A+
Polivinil klorür Glukoz %5 0,5 mg/ml
Enjeksiyon   Hydromorphone hydrochloride   
Enjeksiyon   Fluorouracil 16 mg/ml
23°C
7 Gün
Belirtilmemiş 513
Kanıt düzeyi A+
Polivinil klorür Glukoz %5 0,5 mg/ml
Enjeksiyon   Hydromorphone hydrochloride   
Enjeksiyon   Fluorouracil 1 mg/ml
23°C
35 Gün
Belirtilmemiş 513
Kanıt düzeyi A+
Polivinil klorür Glukoz %5 0,5 mg/ml
Enjeksiyon   Hydromorphone hydrochloride   
Enjeksiyon   Fluorouracil 16 mg/ml
32°C
3 Gün
Belirtilmemiş 513
Kanıt düzeyi A+
Polivinil klorür Glukoz %5 0,5 mg/ml
Enjeksiyon   Hydromorphone hydrochloride   
Enjeksiyon   Fluorouracil 1 mg/ml
32°C
7 Gün
Belirtilmemiş 513
Kanıt düzeyi A+
Polivinil klorür Glukoz %5 0,5 mg/ml
Enjeksiyon   Hydromorphone hydrochloride   
Enjeksiyon   Fluorouracil 1 & 16 mg/ml
4°C
35 Gün
Işıktan koruyunuz 513
Kanıt düzeyi A+
Polietilen Sodyum klorür % 0,9 0,05 mg/ml
Enjeksiyon   Hydromorphone hydrochloride   
Enjeksiyon   Morphine hydrochloride 0,25 mg/ml
25°C
15 Gün
Belirtilmemiş 4667
Kanıt düzeyi D
Polietilen Sodyum klorür % 0,9 0,05 mg/ml
Enjeksiyon   Hydromorphone hydrochloride   
Enjeksiyon   Morphine hydrochloride 0,25 mg/ml
37°C
15 Gün
Belirtilmemiş 4667
Kanıt düzeyi D
Poliolefin Sodyum klorür % 0,9 0.0015 mg/ml
Enjeksiyon   Hydromorphone hydrochloride   
Enjeksiyon   Bupivacaine hydrochloride 0.5 mg/ml
25°C
30 Gün
Belirtilmemiş 4746
Kanıt düzeyi A
Poliolefin Sodyum klorür % 0,9 0.03 mg/ml
Enjeksiyon   Hydromorphone hydrochloride   
Enjeksiyon   Bupivacaine hydrochloride 0.5 mg/ml
25°C
30 Gün
Belirtilmemiş 4746
Kanıt düzeyi A
Poliolefin Sodyum klorür % 0,9 0.03 mg/ml
Enjeksiyon   Hydromorphone hydrochloride   
Enjeksiyon   Bupivacaine hydrochloride 2.5 mg/ml
25°C
30 Gün
Belirtilmemiş 4746
Kanıt düzeyi A
Poliolefin Sodyum klorür % 0,9 0.0015 mg/ml
Enjeksiyon   Hydromorphone hydrochloride   
Enjeksiyon   Bupivacaine hydrochloride 2.5 mg/ml
25°C
30 Gün
Belirtilmemiş 4746
Kanıt düzeyi A
Poliolefin Sodyum klorür % 0,9 0.0015 mg/ml
Enjeksiyon   Hydromorphone hydrochloride   
Enjeksiyon   Bupivacaine hydrochloride 0.5 mg/ml
4°C
30 Gün
Belirtilmemiş 4746
Kanıt düzeyi A
Poliolefin Sodyum klorür % 0,9 0.03 mg/ml
Enjeksiyon   Hydromorphone hydrochloride   
Enjeksiyon   Bupivacaine hydrochloride 0.5 mg/ml
4°C
30 Gün
Belirtilmemiş 4746
Kanıt düzeyi A
Poliolefin Sodyum klorür % 0,9 0.03 mg/ml
Enjeksiyon   Hydromorphone hydrochloride   
Enjeksiyon   Bupivacaine hydrochloride 2.5 mg/ml
4°C
30 Gün
Belirtilmemiş 4746
Kanıt düzeyi A
Poliolefin Sodyum klorür % 0,9 0.0015 mg/ml
Enjeksiyon   Hydromorphone hydrochloride   
Enjeksiyon   Bupivacaine hydrochloride 2.5 mg/ml
4°C
30 Gün
Belirtilmemiş 4746
Kanıt düzeyi A
Şırınga polipropilen Sodyum klorür % 0,9 0,02 & 0,04 mg/ml
Enjeksiyon   Hydromorphone hydrochloride   
Enjeksiyon   Bupivacaine hydrochloride 2,5 mg/ml
22°C
91 Gün
I_ık 1931
Kanıt düzeyi A
Şırınga polipropilen Sodyum klorür % 0,9 0,2 mg/ml
Enjeksiyon   Hydromorphone hydrochloride   
Enjeksiyon   Ketamine hydrochloride 0,2 >> 1 mg/ml
25°C
7 Gün
Işıktan koruyunuz 2336
Kanıt düzeyi D
Şırınga polipropilen Sodyum klorür % 0,9 10 mg/ml
Enjeksiyon   Hydromorphone hydrochloride   
Enjeksiyon   Scopolamine hydrobromide 0,04 mg/ml
Enjeksiyon   Famotidine 0,4 mg/ml
Enjeksiyon   Haloperidol lactate 0,5 mg/ml
Enjeksiyon   Dimenhydrinate 5 mg/ml
25°C
12 Zaman
Belirtilmemiş 2166
Şırınga polipropilen Sodyum klorür % 0,9 10 mg/ml
Enjeksiyon   Hydromorphone hydrochloride   
Enjeksiyon   Famotidine 0,4 mg/ml
Enjeksiyon   Midazolam hydrochloride 1 mg/ml
25°C
96 Zaman
Belirtilmemiş 2166
Şırınga polipropilen Sodyum klorür % 0,9 10 mg/ml
Enjeksiyon   Hydromorphone hydrochloride   
Enjeksiyon   Haloperidol lactate 0,5 mg/ml
Enjeksiyon   Metoclopramide hydrochloride 0,5 mg/ml
25°C
96 Zaman
Belirtilmemiş 2166
Şırınga polipropilen Sodyum klorür % 0,9 10 mg/ml
Enjeksiyon   Hydromorphone hydrochloride   
Enjeksiyon   Famotidine 0,4 mg/ml
Enjeksiyon   Metoclopramide hydrochloride 0,5 mg/ml
Fitil   Ketoprofene   
25°C
96 Zaman
Belirtilmemiş 2166
Şırınga polipropilen Sodyum klorür % 0,9 10 mg/ml
Enjeksiyon   Hydromorphone hydrochloride   
Enjeksiyon   Scopolamine hydrobromide 0,04 mg/ml
Enjeksiyon   Famotidine 0,4 mg/ml
Enjeksiyon   Haloperidol lactate 0,5 mg/ml
Enjeksiyon   Dimenhydrinate 5 mg/ml
4°C
12 Zaman
Belirtilmemiş 2166
Şırınga polipropilen Sodyum klorür % 0,9 10 mg/ml
Enjeksiyon   Hydromorphone hydrochloride   
Enjeksiyon   Famotidine 0,4 mg/ml
Enjeksiyon   Midazolam hydrochloride 1 mg/ml
4°C
96 Zaman
Belirtilmemiş 2166
Şırınga polipropilen Sodyum klorür % 0,9 10 mg/ml
Enjeksiyon   Hydromorphone hydrochloride   
Enjeksiyon   Famotidine 0,4 mg/ml
Enjeksiyon   Metoclopramide hydrochloride 0,5 mg/ml
Enjeksiyon   Ketorolac tromethamine 1,5 mg/ml
4°C
96 Zaman
Belirtilmemiş 2166
Şırınga polipropilen Sodyum klorür % 0,9 0,02 & 0,04 mg/ml
Enjeksiyon   Hydromorphone hydrochloride   
Enjeksiyon   Bupivacaine hydrochloride 2,5 mg/ml
6°C
91 Gün
Işıktan koruyunuz 1931
Kanıt düzeyi A
poliizopren elastomer Sodyum klorür % 0,9 0,08 mg/ml
Enjeksiyon   Hydromorphone hydrochloride   
Enjeksiyon   Fentanyl citrate 16 µg/ml
Enjeksiyon   Nefopam 0,8 mg/ml
Enjeksiyon   Ramosetron hydrochloride 12 µg/ml
24°C
4 Gün
Işıktan koruyunuz 4666
Kanıt düzeyi D
poliizopren elastomer Sodyum klorür % 0,9 0,08 mg/ml
Enjeksiyon   Hydromorphone hydrochloride   
Enjeksiyon   Fentanyl citrate 16 µg/ml
Enjeksiyon   Nefopam 0,8 mg/ml
Enjeksiyon   Ondansetron hydrochloride 0,32 mg/ml
24°C
4 Gün
Işıktan koruyunuz 4666
Kanıt düzeyi D
Belirtilmemiş Sodyum klorür % 0,9 2 & 20 mg/ml
Enjeksiyon   Hydromorphone hydrochloride   
Enjeksiyon   Midazolam hydrochloride 0.1 & 0.5 mg/ml
23°C
23 Gün
Işıktan koruyunuz 345
Kanıt düzeyi A
Belirtilmemiş Sodyum klorür % 0,9 35 mg/ml
Enjeksiyon   Hydromorphone hydrochloride   
Enjeksiyon   Ziconotide acetate 25 µg/ml
37°C
19 Gün
Işıktan koruyunuz 2251
Kanıt düzeyi D
Belirtilmemiş Sodyum klorür % 0,9 50 mg/ml
Enjeksiyon   Hydromorphone hydrochloride   
Enjeksiyon   Bupivacaine hydrochloride 24 mg/ml
Enjeksiyon   Clonidine hydrochloride 2 mg/ml
37°C
90 Gün
Işıktan koruyunuz 2305
Belirtilmemiş Sodyum klorür % 0,9 2 & 20 mg/ml
Enjeksiyon   Hydromorphone hydrochloride   
Enjeksiyon   Midazolam hydrochloride 0.1 & 0.5 mg/ml
4°C
23 Gün
Işıktan koruyunuz 345
Kanıt düzeyi A
Belirtilmemiş Glukoz %5 2 & 20 mg/ml
Enjeksiyon   Hydromorphone hydrochloride   
Enjeksiyon   Midazolam hydrochloride 0.1 & 0.5 mg/ml
23°C
23 Gün
Işıktan koruyunuz 345
Kanıt düzeyi A
Belirtilmemiş Glukoz %5 2 & 20 mg/ml
Enjeksiyon   Hydromorphone hydrochloride   
Enjeksiyon   Midazolam hydrochloride 0.1 & 0.5 mg/ml
4°C
23 Gün
Işıktan koruyunuz 345
Kanıt düzeyi A
Belirtilmemiş Yok 15 mg/ml
Enjeksiyon   Hydromorphone hydrochloride   
Enjeksiyon   Bupivacaine hydrochloride 10 mg/ml
37°C
90 Gün
Işıktan koruyunuz 4200
Kanıt düzeyi A

  Mentions Légales