最新更新 :
27/04/2026
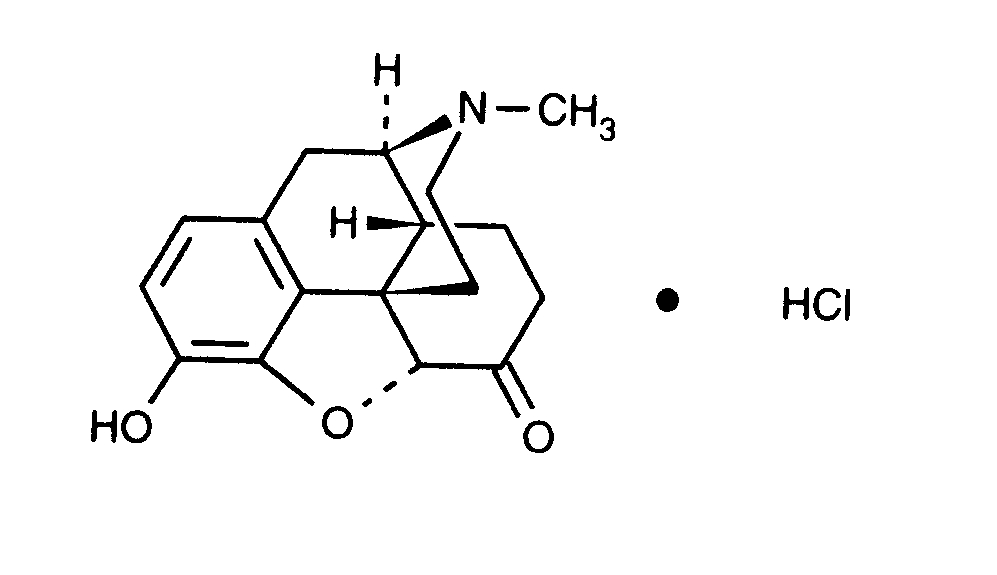
鎮痛薬   Hydromorphone hydrochloride  
注射薬
溶媒内の安定性 混合時の安定性 安定性に影響する因子 互換性 投与経路 引用文献 PDF
   化学構造  

商品名   商品名     

商品名、賦形剤は国、製薬会社ごとに異なることがあります

Dilaudid アメリカ, カナダ
Hydal オーストリア
Palladon スイス, デンマーク
Palladone イギリス
混合時の安定性   注射薬   混合時の安定性 : Hydromorphone hydrochloride     
容器 溶媒 濃度 化合物 温度 保管 安定期間 引用文献
ガラス NaCl 0,9% 0,25 mg/ml
注射薬   Hydromorphone hydrochloride   
注射薬   Granisetron hydrochloride 0,5 mg/ml
20°C-23°C
4 時間
遮光 57
エビデンスレベル A+
ガラス NaCl 0,9% 0,2 mg/ml
注射薬   Hydromorphone hydrochloride   
注射薬   Ketamine hydrochloride 0,2 >> 1 mg/ml
25°C
7 日
遮光 2336
エビデンスレベル D
ガラス NaCl 0,9% 0,05 mg/ml
注射薬   Hydromorphone hydrochloride   
注射薬   Morphine hydrochloride 0,25 mg/ml
25°C
15 日
特記なし 4667
エビデンスレベル D
ガラス NaCl 0,9% 0,05 mg/ml
注射薬   Hydromorphone hydrochloride   
注射薬   Morphine hydrochloride 0,25 mg/ml
37°C
15 日
特記なし 4667
エビデンスレベル D
ガラス グルコース5% 0,1 & 1 mg/ml
注射薬   Hydromorphone hydrochloride   
注射薬   Tacrolimus 5 & 20 µg/ml
23°C-25°C
4 時間
光 814
エビデンスレベル A
ガラス なし 2 & 10 & 40 mg/ml
注射薬   Hydromorphone hydrochloride   
注射薬   Dimenhydrinate 50 mg/ml
23°C
24 時間
特記なし 1497
エビデンスレベル B
ガラス なし 0,25 mg/ml
注射薬   Hydromorphone hydrochloride   
注射薬   Palonosetron hydrochloride 25 µg/ml
25°C
4 時間
光 2196
エビデンスレベル A+
ガラス なし 2 & 10 & 40 mg/ml
注射薬   Hydromorphone hydrochloride   
注射薬   Dimenhydrinate 50 mg/ml
37°C
24 時間
特記なし 1497
エビデンスレベル B
ガラス なし 2 & 10 & 40 mg/ml
注射薬   Hydromorphone hydrochloride   
注射薬   Dimenhydrinate 50 mg/ml
4°C
24 時間
遮光 1497
エビデンスレベル B
ポリ塩化ビニル(PVC) NaCl 0,9% 0,5 mg/ml
注射薬   Hydromorphone hydrochloride   
注射薬   Fluorouracil 1 & 16 mg/ml
-20°C
35 日
遮光 513
エビデンスレベル A+
ポリ塩化ビニル(PVC) NaCl 0,9% 20 mg/ml
注射薬   Hydromorphone hydrochloride   
注射薬   Esketamine 20 mg/ml
22°C
7 日
特記なし 4664
エビデンスレベル D
ポリ塩化ビニル(PVC) NaCl 0,9% 0,5 mg/ml
注射薬   Hydromorphone hydrochloride   
注射薬   Ondansetron hydrochloride 0,1 & 1 mg/ml
22°C
31 日
特記なし 6
エビデンスレベル A+
ポリ塩化ビニル(PVC) NaCl 0,9% 0,5 mg/ml
注射薬   Hydromorphone hydrochloride   
注射薬   Fluorouracil 16 mg/ml
23°C
7 日
特記なし 513
エビデンスレベル A+
ポリ塩化ビニル(PVC) NaCl 0,9% 0,5 mg/ml
注射薬   Hydromorphone hydrochloride   
注射薬   Fluorouracil 1 mg/ml
23°C
35 日
特記なし 513
エビデンスレベル A+
ポリ塩化ビニル(PVC) NaCl 0,9% 0,02 & 0,1 mg/ml
注射薬   Hydromorphone hydrochloride   
注射薬   Bupivacaine hydrochloride 0,62 & 1,2 mg/ml
23°C-25°C
72 時間
光 306
エビデンスレベル A
ポリ塩化ビニル(PVC) NaCl 0,9% 0,2 mg/ml
注射薬   Hydromorphone hydrochloride   
注射薬   Ketamine hydrochloride 0,2 >> 1 mg/ml
25°C
7 日
遮光 2336
エビデンスレベル D
ポリ塩化ビニル(PVC) NaCl 0,9% 0,05 mg/ml
注射薬   Hydromorphone hydrochloride   
注射薬   Morphine hydrochloride 0,25 mg/ml
25°C
15 日
特記なし 4667
エビデンスレベル D
ポリ塩化ビニル(PVC) NaCl 0,9% 0.0015 mg/ml
注射薬   Hydromorphone hydrochloride   
注射薬   Bupivacaine hydrochloride 0.5 mg/ml
25°C
30 日
特記なし 4746
エビデンスレベル A
ポリ塩化ビニル(PVC) NaCl 0,9% 0.03 mg/ml
注射薬   Hydromorphone hydrochloride   
注射薬   Bupivacaine hydrochloride 0.5 mg/ml
25°C
30 日
特記なし 4746
エビデンスレベル A
ポリ塩化ビニル(PVC) NaCl 0,9% 0.03 mg/ml
注射薬   Hydromorphone hydrochloride   
注射薬   Bupivacaine hydrochloride 2.5 mg/ml
25°C
30 日
特記なし 4746
エビデンスレベル A
ポリ塩化ビニル(PVC) NaCl 0,9% 0.0015 mg/ml
注射薬   Hydromorphone hydrochloride   
注射薬   Bupivacaine hydrochloride 2.5 mg/ml
25°C
30 日
特記なし 4746
エビデンスレベル A
ポリ塩化ビニル(PVC) NaCl 0,9% 0,5 mg/ml
注射薬   Hydromorphone hydrochloride   
注射薬   Fluorouracil 16 mg/ml
32°C
3 日
特記なし 513
エビデンスレベル A+
ポリ塩化ビニル(PVC) NaCl 0,9% 0,5 mg/ml
注射薬   Hydromorphone hydrochloride   
注射薬   Ondansetron hydrochloride 0,1 & 1 mg/ml
32°C
7 日
特記なし 6
エビデンスレベル A+
ポリ塩化ビニル(PVC) NaCl 0,9% 0,5 mg/ml
注射薬   Hydromorphone hydrochloride   
注射薬   Fluorouracil 1 mg/ml
32°C
7 日
特記なし 513
エビデンスレベル A+
ポリ塩化ビニル(PVC) NaCl 0,9% 20 mg/ml
注射薬   Hydromorphone hydrochloride   
注射薬   Esketamine 20 mg/ml
37°C
7 日
特記なし 4664
エビデンスレベル D
ポリ塩化ビニル(PVC) NaCl 0,9% 0,05 mg/ml
注射薬   Hydromorphone hydrochloride   
注射薬   Morphine hydrochloride 0,25 mg/ml
37°C
15 日
特記なし 4667
エビデンスレベル D
ポリ塩化ビニル(PVC) NaCl 0,9% 0,5 mg/ml
注射薬   Hydromorphone hydrochloride   
注射薬   Ondansetron hydrochloride 0,1 & 1 mg/ml
4°C
31 日
遮光 6
エビデンスレベル A+
ポリ塩化ビニル(PVC) NaCl 0,9% 0,5 mg/ml
注射薬   Hydromorphone hydrochloride   
注射薬   Fluorouracil 1 & 16 mg/ml
4°C
35 日
遮光 513
エビデンスレベル A+
ポリ塩化ビニル(PVC) NaCl 0,9% 0.0015 mg/ml
注射薬   Hydromorphone hydrochloride   
注射薬   Bupivacaine hydrochloride 0.5 mg/ml
4°C
30 日
特記なし 4746
エビデンスレベル A
ポリ塩化ビニル(PVC) NaCl 0,9% 0.03 mg/ml
注射薬   Hydromorphone hydrochloride   
注射薬   Bupivacaine hydrochloride 0.5 mg/ml
4°C
30 日
特記なし 4746
エビデンスレベル A
ポリ塩化ビニル(PVC) NaCl 0,9% 0.03 mg/ml
注射薬   Hydromorphone hydrochloride   
注射薬   Bupivacaine hydrochloride 2.5 mg/ml
4°C
30 日
特記なし 4746
エビデンスレベル A
ポリ塩化ビニル(PVC) NaCl 0,9% 0.0015 mg/ml
注射薬   Hydromorphone hydrochloride   
注射薬   Bupivacaine hydrochloride 2.5 mg/ml
4°C
30 日
特記なし 4746
エビデンスレベル A
ポリ塩化ビニル(PVC) NaCl 0,9% 0,5 mg/ml
注射薬   Hydromorphone hydrochloride   
注射薬   Ondansetron hydrochloride 0,1 & 1 mg/ml
4°C-22°C
31 日
特記なし 6
エビデンスレベル A+
ポリ塩化ビニル(PVC) NaCl 0,9% 0,5 mg/ml
注射薬   Hydromorphone hydrochloride   
注射薬   Granisetron hydrochloride 0,056 mg/ml
4°C-22°C
31 時間
特記なし 6
エビデンスレベル A+
ポリ塩化ビニル(PVC) NaCl 0,9% 0,5 mg/ml
注射薬   Hydromorphone hydrochloride   
注射薬   Granisetron hydrochloride 0,056 mg/ml
4°C-22°C
31 時間
特記なし 6
エビデンスレベル A+
ポリ塩化ビニル(PVC) グルコース5% 0,5 mg/ml
注射薬   Hydromorphone hydrochloride   
注射薬   Fluorouracil 1 & 16 mg/ml
-20°C
35 日
遮光 513
エビデンスレベル A+
ポリ塩化ビニル(PVC) グルコース5% 0,5 mg/ml
注射薬   Hydromorphone hydrochloride   
注射薬   Fluorouracil 16 mg/ml
23°C
7 日
特記なし 513
エビデンスレベル A+
ポリ塩化ビニル(PVC) グルコース5% 0,5 mg/ml
注射薬   Hydromorphone hydrochloride   
注射薬   Fluorouracil 1 mg/ml
23°C
35 日
特記なし 513
エビデンスレベル A+
ポリ塩化ビニル(PVC) グルコース5% 0,5 mg/ml
注射薬   Hydromorphone hydrochloride   
注射薬   Fluorouracil 16 mg/ml
32°C
3 日
特記なし 513
エビデンスレベル A+
ポリ塩化ビニル(PVC) グルコース5% 0,5 mg/ml
注射薬   Hydromorphone hydrochloride   
注射薬   Fluorouracil 1 mg/ml
32°C
7 日
特記なし 513
エビデンスレベル A+
ポリ塩化ビニル(PVC) グルコース5% 0,5 mg/ml
注射薬   Hydromorphone hydrochloride   
注射薬   Fluorouracil 1 & 16 mg/ml
4°C
35 日
遮光 513
エビデンスレベル A+
ポリエチレン NaCl 0,9% 0,05 mg/ml
注射薬   Hydromorphone hydrochloride   
注射薬   Morphine hydrochloride 0,25 mg/ml
25°C
15 日
特記なし 4667
エビデンスレベル D
ポリエチレン NaCl 0,9% 0,05 mg/ml
注射薬   Hydromorphone hydrochloride   
注射薬   Morphine hydrochloride 0,25 mg/ml
37°C
15 日
特記なし 4667
エビデンスレベル D
ポリオレフィン NaCl 0,9% 0.0015 mg/ml
注射薬   Hydromorphone hydrochloride   
注射薬   Bupivacaine hydrochloride 0.5 mg/ml
25°C
30 日
特記なし 4746
エビデンスレベル A
ポリオレフィン NaCl 0,9% 0.03 mg/ml
注射薬   Hydromorphone hydrochloride   
注射薬   Bupivacaine hydrochloride 0.5 mg/ml
25°C
30 日
特記なし 4746
エビデンスレベル A
ポリオレフィン NaCl 0,9% 0.03 mg/ml
注射薬   Hydromorphone hydrochloride   
注射薬   Bupivacaine hydrochloride 2.5 mg/ml
25°C
30 日
特記なし 4746
エビデンスレベル A
ポリオレフィン NaCl 0,9% 0.0015 mg/ml
注射薬   Hydromorphone hydrochloride   
注射薬   Bupivacaine hydrochloride 2.5 mg/ml
25°C
30 日
特記なし 4746
エビデンスレベル A
ポリオレフィン NaCl 0,9% 0.0015 mg/ml
注射薬   Hydromorphone hydrochloride   
注射薬   Bupivacaine hydrochloride 0.5 mg/ml
4°C
30 日
特記なし 4746
エビデンスレベル A
ポリオレフィン NaCl 0,9% 0.03 mg/ml
注射薬   Hydromorphone hydrochloride   
注射薬   Bupivacaine hydrochloride 0.5 mg/ml
4°C
30 日
特記なし 4746
エビデンスレベル A
ポリオレフィン NaCl 0,9% 0.03 mg/ml
注射薬   Hydromorphone hydrochloride   
注射薬   Bupivacaine hydrochloride 2.5 mg/ml
4°C
30 日
特記なし 4746
エビデンスレベル A
ポリオレフィン NaCl 0,9% 0.0015 mg/ml
注射薬   Hydromorphone hydrochloride   
注射薬   Bupivacaine hydrochloride 2.5 mg/ml
4°C
30 日
特記なし 4746
エビデンスレベル A
シリンジ ポリプロピレン NaCl 0,9% 0,02 & 0,04 mg/ml
注射薬   Hydromorphone hydrochloride   
注射薬   Bupivacaine hydrochloride 2,5 mg/ml
22°C
91 日
光 1931
エビデンスレベル A
シリンジ ポリプロピレン NaCl 0,9% 0,2 mg/ml
注射薬   Hydromorphone hydrochloride   
注射薬   Ketamine hydrochloride 0,2 >> 1 mg/ml
25°C
7 日
遮光 2336
エビデンスレベル D
シリンジ ポリプロピレン NaCl 0,9% 10 mg/ml
注射薬   Hydromorphone hydrochloride   
注射薬   Scopolamine hydrobromide 0,04 mg/ml
注射薬   Famotidine 0,4 mg/ml
注射薬   Haloperidol lactate 0,5 mg/ml
注射薬   Dimenhydrinate 5 mg/ml
25°C
12 時間
特記なし 2166
シリンジ ポリプロピレン NaCl 0,9% 10 mg/ml
注射薬   Hydromorphone hydrochloride   
注射薬   Famotidine 0,4 mg/ml
注射薬   Midazolam hydrochloride 1 mg/ml
25°C
96 時間
特記なし 2166
シリンジ ポリプロピレン NaCl 0,9% 10 mg/ml
注射薬   Hydromorphone hydrochloride   
注射薬   Haloperidol lactate 0,5 mg/ml
注射薬   Metoclopramide hydrochloride 0,5 mg/ml
25°C
96 時間
特記なし 2166
シリンジ ポリプロピレン NaCl 0,9% 10 mg/ml
注射薬   Hydromorphone hydrochloride   
注射薬   Famotidine 0,4 mg/ml
注射薬   Metoclopramide hydrochloride 0,5 mg/ml
坐薬   Ketoprofene   
25°C
96 時間
特記なし 2166
シリンジ ポリプロピレン NaCl 0,9% 10 mg/ml
注射薬   Hydromorphone hydrochloride   
注射薬   Scopolamine hydrobromide 0,04 mg/ml
注射薬   Famotidine 0,4 mg/ml
注射薬   Haloperidol lactate 0,5 mg/ml
注射薬   Dimenhydrinate 5 mg/ml
4°C
12 時間
特記なし 2166
シリンジ ポリプロピレン NaCl 0,9% 10 mg/ml
注射薬   Hydromorphone hydrochloride   
注射薬   Famotidine 0,4 mg/ml
注射薬   Midazolam hydrochloride 1 mg/ml
4°C
96 時間
特記なし 2166
シリンジ ポリプロピレン NaCl 0,9% 10 mg/ml
注射薬   Hydromorphone hydrochloride   
注射薬   Famotidine 0,4 mg/ml
注射薬   Metoclopramide hydrochloride 0,5 mg/ml
注射薬   Ketorolac tromethamine 1,5 mg/ml
4°C
96 時間
特記なし 2166
シリンジ ポリプロピレン NaCl 0,9% 0,02 & 0,04 mg/ml
注射薬   Hydromorphone hydrochloride   
注射薬   Bupivacaine hydrochloride 2,5 mg/ml
6°C
91 日
遮光 1931
エビデンスレベル A
ポリイソプレンエラストマー NaCl 0,9% 0,08 mg/ml
注射薬   Hydromorphone hydrochloride   
注射薬   Fentanyl citrate 16 µg/ml
注射薬   Nefopam 0,8 mg/ml
注射薬   Ramosetron hydrochloride 12 µg/ml
24°C
4 日
遮光 4666
エビデンスレベル D
ポリイソプレンエラストマー NaCl 0,9% 0,08 mg/ml
注射薬   Hydromorphone hydrochloride   
注射薬   Fentanyl citrate 16 µg/ml
注射薬   Nefopam 0,8 mg/ml
注射薬   Ondansetron hydrochloride 0,32 mg/ml
24°C
4 日
遮光 4666
エビデンスレベル D
指定なし NaCl 0,9% 2 & 20 mg/ml
注射薬   Hydromorphone hydrochloride   
注射薬   Midazolam hydrochloride 0.1 & 0.5 mg/ml
23°C
23 日
遮光 345
エビデンスレベル A
指定なし NaCl 0,9% 35 mg/ml
注射薬   Hydromorphone hydrochloride   
注射薬   Ziconotide acetate 25 µg/ml
37°C
19 日
遮光 2251
エビデンスレベル D
指定なし NaCl 0,9% 50 mg/ml
注射薬   Hydromorphone hydrochloride   
注射薬   Bupivacaine hydrochloride 24 mg/ml
注射薬   Clonidine hydrochloride 2 mg/ml
37°C
90 日
遮光 2305
指定なし NaCl 0,9% 2 & 20 mg/ml
注射薬   Hydromorphone hydrochloride   
注射薬   Midazolam hydrochloride 0.1 & 0.5 mg/ml
4°C
23 日
遮光 345
エビデンスレベル A
指定なし グルコース5% 2 & 20 mg/ml
注射薬   Hydromorphone hydrochloride   
注射薬   Midazolam hydrochloride 0.1 & 0.5 mg/ml
23°C
23 日
遮光 345
エビデンスレベル A
指定なし グルコース5% 2 & 20 mg/ml
注射薬   Hydromorphone hydrochloride   
注射薬   Midazolam hydrochloride 0.1 & 0.5 mg/ml
4°C
23 日
遮光 345
エビデンスレベル A
指定なし なし 15 mg/ml
注射薬   Hydromorphone hydrochloride   
注射薬   Bupivacaine hydrochloride 10 mg/ml
37°C
90 日
遮光 4200
エビデンスレベル A

  Mentions Légales