Dernière mise à jour :
27/04/2026
Antalgique   Hydromorphone hydrochloride  
injectable
Stabilité des solutions Stabilité en mélange Facteur influençant la stabilité Compatibilités Voie d’administration Bibliographie pdf
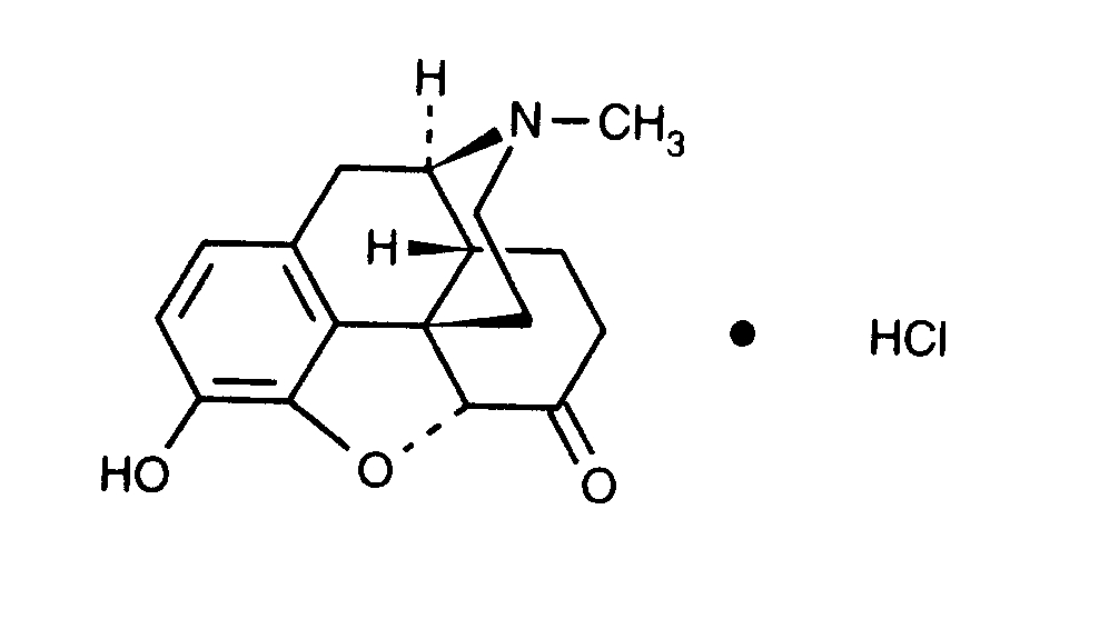
   Structure chimique  

Noms commerciaux   Noms commerciaux     

Les noms commerciaux sont donnés à titre indicatif et la composition en excipients peut être différente selon les pays et selon les laboratoires

Dilaudid Canada, Etats Unis d’Amérique
Hydal Autriche
Palladon Danemark, Suisse
Palladone Grande Bretagne
Stabilité en mélange   injectable   Stabilité en mélange : Hydromorphone hydrochloride     
Contenant Solvant Concentration Molécule Température Conservation Durée de stabilité Bibliographie
Verre Chlorure de sodium 0,9% 0,25 mg/ml
injectable   Hydromorphone hydrochloride   
injectable   Granisetron hydrochloride 0,5 mg/ml
20°C-23°C
4 Heure
A l’abri de la lumière 57
Niveau de preuve A +
Verre Chlorure de sodium 0,9% 0,2 mg/ml
injectable   Hydromorphone hydrochloride   
injectable   Ketamine hydrochloride 0,2 >> 1 mg/ml
25°C
7 Jour
A l’abri de la lumière 2336
Niveau de preuve D
Verre Chlorure de sodium 0,9% 0,05 mg/ml
injectable   Hydromorphone hydrochloride   
injectable   Morphine hydrochloride 0,25 mg/ml
25°C
15 Jour
Non précisée 4667
Niveau de preuve D
Verre Chlorure de sodium 0,9% 0,05 mg/ml
injectable   Hydromorphone hydrochloride   
injectable   Morphine hydrochloride 0,25 mg/ml
37°C
15 Jour
Non précisée 4667
Niveau de preuve D
Verre Glucose 5% 0,1 & 1 mg/ml
injectable   Hydromorphone hydrochloride   
injectable   Tacrolimus 5 & 20 µg/ml
23°C-25°C
4 Heure
Lumière 814
Niveau de preuve A
Verre Aucun 2 & 10 & 40 mg/ml
injectable   Hydromorphone hydrochloride   
injectable   Dimenhydrinate 50 mg/ml
23°C
24 Heure
Non précisée 1497
Niveau de preuve B
Verre Aucun 0,25 mg/ml
injectable   Hydromorphone hydrochloride   
injectable   Palonosetron hydrochloride 25 µg/ml
25°C
4 Heure
Lumière 2196
Niveau de preuve A +
Verre Aucun 2 & 10 & 40 mg/ml
injectable   Hydromorphone hydrochloride   
injectable   Dimenhydrinate 50 mg/ml
37°C
24 Heure
Non précisée 1497
Niveau de preuve B
Verre Aucun 2 & 10 & 40 mg/ml
injectable   Hydromorphone hydrochloride   
injectable   Dimenhydrinate 50 mg/ml
4°C
24 Heure
A l’abri de la lumière 1497
Niveau de preuve B
Polyvinyl chlorure Chlorure de sodium 0,9% 0,5 mg/ml
injectable   Hydromorphone hydrochloride   
injectable   Fluorouracil 1 & 16 mg/ml
-20°C
35 Jour
A l’abri de la lumière 513
Niveau de preuve A +
Polyvinyl chlorure Chlorure de sodium 0,9% 20 mg/ml
injectable   Hydromorphone hydrochloride   
injectable   Esketamine 20 mg/ml
22°C
7 Jour
Non précisée 4664
Niveau de preuve D
Polyvinyl chlorure Chlorure de sodium 0,9% 0,5 mg/ml
injectable   Hydromorphone hydrochloride   
injectable   Ondansetron hydrochloride 0,1 & 1 mg/ml
22°C
31 Jour
Non précisée 6
Niveau de preuve A +
Polyvinyl chlorure Chlorure de sodium 0,9% 0,5 mg/ml
injectable   Hydromorphone hydrochloride   
injectable   Fluorouracil 16 mg/ml
23°C
7 Jour
Non précisée 513
Niveau de preuve A +
Polyvinyl chlorure Chlorure de sodium 0,9% 0,5 mg/ml
injectable   Hydromorphone hydrochloride   
injectable   Fluorouracil 1 mg/ml
23°C
35 Jour
Non précisée 513
Niveau de preuve A +
Polyvinyl chlorure Chlorure de sodium 0,9% 0,02 & 0,1 mg/ml
injectable   Hydromorphone hydrochloride   
injectable   Bupivacaine hydrochloride 0,62 & 1,2 mg/ml
23°C-25°C
72 Heure
Lumière 306
Niveau de preuve A
Polyvinyl chlorure Chlorure de sodium 0,9% 0,2 mg/ml
injectable   Hydromorphone hydrochloride   
injectable   Ketamine hydrochloride 0,2 >> 1 mg/ml
25°C
7 Jour
A l’abri de la lumière 2336
Niveau de preuve D
Polyvinyl chlorure Chlorure de sodium 0,9% 0,05 mg/ml
injectable   Hydromorphone hydrochloride   
injectable   Morphine hydrochloride 0,25 mg/ml
25°C
15 Jour
Non précisée 4667
Niveau de preuve D
Polyvinyl chlorure Chlorure de sodium 0,9% 0.0015 mg/ml
injectable   Hydromorphone hydrochloride   
injectable   Bupivacaine hydrochloride 0.5 mg/ml
25°C
30 Jour
Non précisée 4746
Niveau de preuve A
Polyvinyl chlorure Chlorure de sodium 0,9% 0.03 mg/ml
injectable   Hydromorphone hydrochloride   
injectable   Bupivacaine hydrochloride 0.5 mg/ml
25°C
30 Jour
Non précisée 4746
Niveau de preuve A
Polyvinyl chlorure Chlorure de sodium 0,9% 0.03 mg/ml
injectable   Hydromorphone hydrochloride   
injectable   Bupivacaine hydrochloride 2.5 mg/ml
25°C
30 Jour
Non précisée 4746
Niveau de preuve A
Polyvinyl chlorure Chlorure de sodium 0,9% 0.0015 mg/ml
injectable   Hydromorphone hydrochloride   
injectable   Bupivacaine hydrochloride 2.5 mg/ml
25°C
30 Jour
Non précisée 4746
Niveau de preuve A
Polyvinyl chlorure Chlorure de sodium 0,9% 0,5 mg/ml
injectable   Hydromorphone hydrochloride   
injectable   Fluorouracil 16 mg/ml
32°C
3 Jour
Non précisée 513
Niveau de preuve A +
Polyvinyl chlorure Chlorure de sodium 0,9% 0,5 mg/ml
injectable   Hydromorphone hydrochloride   
injectable   Ondansetron hydrochloride 0,1 & 1 mg/ml
32°C
7 Jour
Non précisée 6
Niveau de preuve A +
Polyvinyl chlorure Chlorure de sodium 0,9% 0,5 mg/ml
injectable   Hydromorphone hydrochloride   
injectable   Fluorouracil 1 mg/ml
32°C
7 Jour
Non précisée 513
Niveau de preuve A +
Polyvinyl chlorure Chlorure de sodium 0,9% 20 mg/ml
injectable   Hydromorphone hydrochloride   
injectable   Esketamine 20 mg/ml
37°C
7 Jour
Non précisée 4664
Niveau de preuve D
Polyvinyl chlorure Chlorure de sodium 0,9% 0,05 mg/ml
injectable   Hydromorphone hydrochloride   
injectable   Morphine hydrochloride 0,25 mg/ml
37°C
15 Jour
Non précisée 4667
Niveau de preuve D
Polyvinyl chlorure Chlorure de sodium 0,9% 0,5 mg/ml
injectable   Hydromorphone hydrochloride   
injectable   Ondansetron hydrochloride 0,1 & 1 mg/ml
4°C
31 Jour
A l’abri de la lumière 6
Niveau de preuve A +
Polyvinyl chlorure Chlorure de sodium 0,9% 0,5 mg/ml
injectable   Hydromorphone hydrochloride   
injectable   Fluorouracil 1 & 16 mg/ml
4°C
35 Jour
A l’abri de la lumière 513
Niveau de preuve A +
Polyvinyl chlorure Chlorure de sodium 0,9% 0.0015 mg/ml
injectable   Hydromorphone hydrochloride   
injectable   Bupivacaine hydrochloride 0.5 mg/ml
4°C
30 Jour
Non précisée 4746
Niveau de preuve A
Polyvinyl chlorure Chlorure de sodium 0,9% 0.03 mg/ml
injectable   Hydromorphone hydrochloride   
injectable   Bupivacaine hydrochloride 0.5 mg/ml
4°C
30 Jour
Non précisée 4746
Niveau de preuve A
Polyvinyl chlorure Chlorure de sodium 0,9% 0.03 mg/ml
injectable   Hydromorphone hydrochloride   
injectable   Bupivacaine hydrochloride 2.5 mg/ml
4°C
30 Jour
Non précisée 4746
Niveau de preuve A
Polyvinyl chlorure Chlorure de sodium 0,9% 0.0015 mg/ml
injectable   Hydromorphone hydrochloride   
injectable   Bupivacaine hydrochloride 2.5 mg/ml
4°C
30 Jour
Non précisée 4746
Niveau de preuve A
Polyvinyl chlorure Chlorure de sodium 0,9% 0,5 mg/ml
injectable   Hydromorphone hydrochloride   
injectable   Ondansetron hydrochloride 0,1 & 1 mg/ml
4°C-22°C
31 Jour
Non précisée 6
Niveau de preuve A +
Polyvinyl chlorure Chlorure de sodium 0,9% 0,5 mg/ml
injectable   Hydromorphone hydrochloride   
injectable   Granisetron hydrochloride 0,056 mg/ml
4°C-22°C
31 Heure
Non précisée 6
Niveau de preuve A +
Polyvinyl chlorure Chlorure de sodium 0,9% 0,5 mg/ml
injectable   Hydromorphone hydrochloride   
injectable   Granisetron hydrochloride 0,056 mg/ml
4°C-22°C
31 Heure
Non précisée 6
Niveau de preuve A +
Polyvinyl chlorure Glucose 5% 0,5 mg/ml
injectable   Hydromorphone hydrochloride   
injectable   Fluorouracil 1 & 16 mg/ml
-20°C
35 Jour
A l’abri de la lumière 513
Niveau de preuve A +
Polyvinyl chlorure Glucose 5% 0,5 mg/ml
injectable   Hydromorphone hydrochloride   
injectable   Fluorouracil 16 mg/ml
23°C
7 Jour
Non précisée 513
Niveau de preuve A +
Polyvinyl chlorure Glucose 5% 0,5 mg/ml
injectable   Hydromorphone hydrochloride   
injectable   Fluorouracil 1 mg/ml
23°C
35 Jour
Non précisée 513
Niveau de preuve A +
Polyvinyl chlorure Glucose 5% 0,5 mg/ml
injectable   Hydromorphone hydrochloride   
injectable   Fluorouracil 16 mg/ml
32°C
3 Jour
Non précisée 513
Niveau de preuve A +
Polyvinyl chlorure Glucose 5% 0,5 mg/ml
injectable   Hydromorphone hydrochloride   
injectable   Fluorouracil 1 mg/ml
32°C
7 Jour
Non précisée 513
Niveau de preuve A +
Polyvinyl chlorure Glucose 5% 0,5 mg/ml
injectable   Hydromorphone hydrochloride   
injectable   Fluorouracil 1 & 16 mg/ml
4°C
35 Jour
A l’abri de la lumière 513
Niveau de preuve A +
Polyéthylène Chlorure de sodium 0,9% 0,05 mg/ml
injectable   Hydromorphone hydrochloride   
injectable   Morphine hydrochloride 0,25 mg/ml
25°C
15 Jour
Non précisée 4667
Niveau de preuve D
Polyéthylène Chlorure de sodium 0,9% 0,05 mg/ml
injectable   Hydromorphone hydrochloride   
injectable   Morphine hydrochloride 0,25 mg/ml
37°C
15 Jour
Non précisée 4667
Niveau de preuve D
Polyolefine Chlorure de sodium 0,9% 0.0015 mg/ml
injectable   Hydromorphone hydrochloride   
injectable   Bupivacaine hydrochloride 0.5 mg/ml
25°C
30 Jour
Non précisée 4746
Niveau de preuve A
Polyolefine Chlorure de sodium 0,9% 0.03 mg/ml
injectable   Hydromorphone hydrochloride   
injectable   Bupivacaine hydrochloride 0.5 mg/ml
25°C
30 Jour
Non précisée 4746
Niveau de preuve A
Polyolefine Chlorure de sodium 0,9% 0.03 mg/ml
injectable   Hydromorphone hydrochloride   
injectable   Bupivacaine hydrochloride 2.5 mg/ml
25°C
30 Jour
Non précisée 4746
Niveau de preuve A
Polyolefine Chlorure de sodium 0,9% 0.0015 mg/ml
injectable   Hydromorphone hydrochloride   
injectable   Bupivacaine hydrochloride 2.5 mg/ml
25°C
30 Jour
Non précisée 4746
Niveau de preuve A
Polyolefine Chlorure de sodium 0,9% 0.0015 mg/ml
injectable   Hydromorphone hydrochloride   
injectable   Bupivacaine hydrochloride 0.5 mg/ml
4°C
30 Jour
Non précisée 4746
Niveau de preuve A
Polyolefine Chlorure de sodium 0,9% 0.03 mg/ml
injectable   Hydromorphone hydrochloride   
injectable   Bupivacaine hydrochloride 0.5 mg/ml
4°C
30 Jour
Non précisée 4746
Niveau de preuve A
Polyolefine Chlorure de sodium 0,9% 0.03 mg/ml
injectable   Hydromorphone hydrochloride   
injectable   Bupivacaine hydrochloride 2.5 mg/ml
4°C
30 Jour
Non précisée 4746
Niveau de preuve A
Polyolefine Chlorure de sodium 0,9% 0.0015 mg/ml
injectable   Hydromorphone hydrochloride   
injectable   Bupivacaine hydrochloride 2.5 mg/ml
4°C
30 Jour
Non précisée 4746
Niveau de preuve A
Seringue polypropylène Chlorure de sodium 0,9% 0,02 & 0,04 mg/ml
injectable   Hydromorphone hydrochloride   
injectable   Bupivacaine hydrochloride 2,5 mg/ml
22°C
91 Jour
Lumière 1931
Niveau de preuve A
Seringue polypropylène Chlorure de sodium 0,9% 0,2 mg/ml
injectable   Hydromorphone hydrochloride   
injectable   Ketamine hydrochloride 0,2 >> 1 mg/ml
25°C
7 Jour
A l’abri de la lumière 2336
Niveau de preuve D
Seringue polypropylène Chlorure de sodium 0,9% 10 mg/ml
injectable   Hydromorphone hydrochloride   
injectable   Scopolamine hydrobromide 0,04 mg/ml
injectable   Famotidine 0,4 mg/ml
injectable   Haloperidol lactate 0,5 mg/ml
injectable   Dimenhydrinate 5 mg/ml
25°C
12 Heure
Non précisée 2166
Seringue polypropylène Chlorure de sodium 0,9% 10 mg/ml
injectable   Hydromorphone hydrochloride   
injectable   Famotidine 0,4 mg/ml
injectable   Midazolam hydrochloride 1 mg/ml
25°C
96 Heure
Non précisée 2166
Seringue polypropylène Chlorure de sodium 0,9% 10 mg/ml
injectable   Hydromorphone hydrochloride   
injectable   Haloperidol lactate 0,5 mg/ml
injectable   Metoclopramide hydrochloride 0,5 mg/ml
25°C
96 Heure
Non précisée 2166
Seringue polypropylène Chlorure de sodium 0,9% 10 mg/ml
injectable   Hydromorphone hydrochloride   
injectable   Famotidine 0,4 mg/ml
injectable   Metoclopramide hydrochloride 0,5 mg/ml
Suppositoires   Ketoprofene   
25°C
96 Heure
Non précisée 2166
Seringue polypropylène Chlorure de sodium 0,9% 10 mg/ml
injectable   Hydromorphone hydrochloride   
injectable   Scopolamine hydrobromide 0,04 mg/ml
injectable   Famotidine 0,4 mg/ml
injectable   Haloperidol lactate 0,5 mg/ml
injectable   Dimenhydrinate 5 mg/ml
4°C
12 Heure
Non précisée 2166
Seringue polypropylène Chlorure de sodium 0,9% 10 mg/ml
injectable   Hydromorphone hydrochloride   
injectable   Famotidine 0,4 mg/ml
injectable   Midazolam hydrochloride 1 mg/ml
4°C
96 Heure
Non précisée 2166
Seringue polypropylène Chlorure de sodium 0,9% 10 mg/ml
injectable   Hydromorphone hydrochloride   
injectable   Famotidine 0,4 mg/ml
injectable   Metoclopramide hydrochloride 0,5 mg/ml
injectable   Ketorolac tromethamine 1,5 mg/ml
4°C
96 Heure
Non précisée 2166
Seringue polypropylène Chlorure de sodium 0,9% 0,02 & 0,04 mg/ml
injectable   Hydromorphone hydrochloride   
injectable   Bupivacaine hydrochloride 2,5 mg/ml
6°C
91 Jour
A l’abri de la lumière 1931
Niveau de preuve A
Elastomère en polyisoprène Chlorure de sodium 0,9% 0,08 mg/ml
injectable   Hydromorphone hydrochloride   
injectable   Fentanyl citrate 16 µg/ml
injectable   Nefopam 0,8 mg/ml
injectable   Ramosetron hydrochloride 12 µg/ml
24°C
4 Jour
A l’abri de la lumière 4666
Niveau de preuve D
Elastomère en polyisoprène Chlorure de sodium 0,9% 0,08 mg/ml
injectable   Hydromorphone hydrochloride   
injectable   Fentanyl citrate 16 µg/ml
injectable   Nefopam 0,8 mg/ml
injectable   Ondansetron hydrochloride 0,32 mg/ml
24°C
4 Jour
A l’abri de la lumière 4666
Niveau de preuve D
Non précisé Chlorure de sodium 0,9% 2 & 20 mg/ml
injectable   Hydromorphone hydrochloride   
injectable   Midazolam hydrochloride 0.1 & 0.5 mg/ml
23°C
23 Jour
A l’abri de la lumière 345
Niveau de preuve A
Non précisé Chlorure de sodium 0,9% 35 mg/ml
injectable   Hydromorphone hydrochloride   
injectable   Ziconotide acetate 25 µg/ml
37°C
19 Jour
A l’abri de la lumière 2251
Niveau de preuve D
Non précisé Chlorure de sodium 0,9% 50 mg/ml
injectable   Hydromorphone hydrochloride   
injectable   Bupivacaine hydrochloride 24 mg/ml
injectable   Clonidine hydrochloride 2 mg/ml
37°C
90 Jour
A l’abri de la lumière 2305
Non précisé Chlorure de sodium 0,9% 2 & 20 mg/ml
injectable   Hydromorphone hydrochloride   
injectable   Midazolam hydrochloride 0.1 & 0.5 mg/ml
4°C
23 Jour
A l’abri de la lumière 345
Niveau de preuve A
Non précisé Glucose 5% 2 & 20 mg/ml
injectable   Hydromorphone hydrochloride   
injectable   Midazolam hydrochloride 0.1 & 0.5 mg/ml
23°C
23 Jour
A l’abri de la lumière 345
Niveau de preuve A
Non précisé Glucose 5% 2 & 20 mg/ml
injectable   Hydromorphone hydrochloride   
injectable   Midazolam hydrochloride 0.1 & 0.5 mg/ml
4°C
23 Jour
A l’abri de la lumière 345
Niveau de preuve A
Non précisé Aucun 15 mg/ml
injectable   Hydromorphone hydrochloride   
injectable   Bupivacaine hydrochloride 10 mg/ml
37°C
90 Jour
A l’abri de la lumière 4200
Niveau de preuve A

  Mentions Légales