Letztes “update” :
27/04/2026
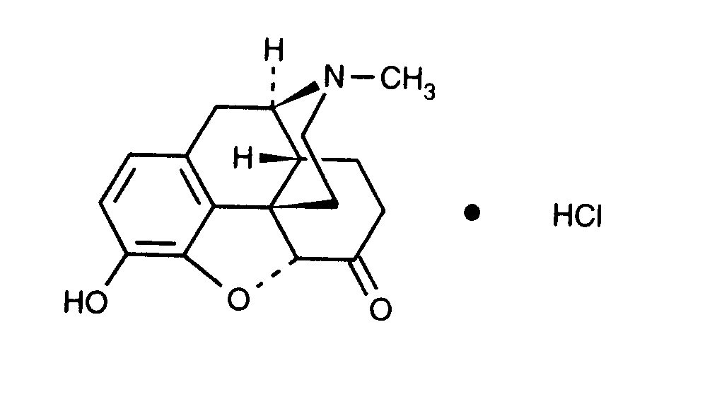
Analgetikum   Hydromorphone hydrochloride  
Injektion
Stabilität der Lösung Gemengestabilität Stabilitätbeeinflussende Faktoren Kompatibilitäten Applikationsart Literaturverzeichnis pdf
   Chemische Struktur  

Handelsmarke   Handelsmarke     

Handelsnamen sind als beispielhaft anzusehen. Sonstige Bestandteile können je nach Hersteller oder Land verschieden sein

Dilaudid Kanada, Vereinigte Staaten von Amerika
Hydal Österreich
Palladon Dänemark, Schweiz
Palladone Großbritannien
Gemengestabilität   Injektion   Gemengestabilität : Hydromorphone hydrochloride     
Behälter Lösungsmittel Konzentration Molekül Temperatur Konservierung Dauer der Stabilität Literaturverzeichnis
Glas 0,9% Natriumchlorid 0,25 mg/ml
Injektion   Hydromorphone hydrochloride   
Injektion   Granisetron hydrochloride 0,5 mg/ml
20°C-23°C
4 Stunde
Ohne Licht 57
Evidenzgrad A+
Glas 0,9% Natriumchlorid 0,2 mg/ml
Injektion   Hydromorphone hydrochloride   
Injektion   Ketamine hydrochloride 0,2 >> 1 mg/ml
25°C
7 Tag
Ohne Licht 2336
Evidenzgrad D
Glas 0,9% Natriumchlorid 0,05 mg/ml
Injektion   Hydromorphone hydrochloride   
Injektion   Morphine hydrochloride 0,25 mg/ml
25°C
15 Tag
Nicht genau angegeben 4667
Evidenzgrad D
Glas 0,9% Natriumchlorid 0,05 mg/ml
Injektion   Hydromorphone hydrochloride   
Injektion   Morphine hydrochloride 0,25 mg/ml
37°C
15 Tag
Nicht genau angegeben 4667
Evidenzgrad D
Glas 5% Glucose 0,1 & 1 mg/ml
Injektion   Hydromorphone hydrochloride   
Injektion   Tacrolimus 5 & 20 µg/ml
23°C-25°C
4 Stunde
Licht 814
Evidenzgrad A
Glas Kein 2 & 10 & 40 mg/ml
Injektion   Hydromorphone hydrochloride   
Injektion   Dimenhydrinate 50 mg/ml
23°C
24 Stunde
Nicht genau angegeben 1497
Evidenzgrad B
Glas Kein 0,25 mg/ml
Injektion   Hydromorphone hydrochloride   
Injektion   Palonosetron hydrochloride 25 µg/ml
25°C
4 Stunde
Licht 2196
Evidenzgrad A+
Glas Kein 2 & 10 & 40 mg/ml
Injektion   Hydromorphone hydrochloride   
Injektion   Dimenhydrinate 50 mg/ml
37°C
24 Stunde
Nicht genau angegeben 1497
Evidenzgrad B
Glas Kein 2 & 10 & 40 mg/ml
Injektion   Hydromorphone hydrochloride   
Injektion   Dimenhydrinate 50 mg/ml
4°C
24 Stunde
Ohne Licht 1497
Evidenzgrad B
Polyvinylchlorid 0,9% Natriumchlorid 0,5 mg/ml
Injektion   Hydromorphone hydrochloride   
Injektion   Fluorouracil 1 & 16 mg/ml
-20°C
35 Tag
Ohne Licht 513
Evidenzgrad A+
Polyvinylchlorid 0,9% Natriumchlorid 20 mg/ml
Injektion   Hydromorphone hydrochloride   
Injektion   Esketamine 20 mg/ml
22°C
7 Tag
Nicht genau angegeben 4664
Evidenzgrad D
Polyvinylchlorid 0,9% Natriumchlorid 0,5 mg/ml
Injektion   Hydromorphone hydrochloride   
Injektion   Ondansetron hydrochloride 0,1 & 1 mg/ml
22°C
31 Tag
Nicht genau angegeben 6
Evidenzgrad A+
Polyvinylchlorid 0,9% Natriumchlorid 0,5 mg/ml
Injektion   Hydromorphone hydrochloride   
Injektion   Fluorouracil 16 mg/ml
23°C
7 Tag
Nicht genau angegeben 513
Evidenzgrad A+
Polyvinylchlorid 0,9% Natriumchlorid 0,5 mg/ml
Injektion   Hydromorphone hydrochloride   
Injektion   Fluorouracil 1 mg/ml
23°C
35 Tag
Nicht genau angegeben 513
Evidenzgrad A+
Polyvinylchlorid 0,9% Natriumchlorid 0,02 & 0,1 mg/ml
Injektion   Hydromorphone hydrochloride   
Injektion   Bupivacaine hydrochloride 0,62 & 1,2 mg/ml
23°C-25°C
72 Stunde
Licht 306
Evidenzgrad A
Polyvinylchlorid 0,9% Natriumchlorid 0,2 mg/ml
Injektion   Hydromorphone hydrochloride   
Injektion   Ketamine hydrochloride 0,2 >> 1 mg/ml
25°C
7 Tag
Ohne Licht 2336
Evidenzgrad D
Polyvinylchlorid 0,9% Natriumchlorid 0,05 mg/ml
Injektion   Hydromorphone hydrochloride   
Injektion   Morphine hydrochloride 0,25 mg/ml
25°C
15 Tag
Nicht genau angegeben 4667
Evidenzgrad D
Polyvinylchlorid 0,9% Natriumchlorid 0.0015 mg/ml
Injektion   Hydromorphone hydrochloride   
Injektion   Bupivacaine hydrochloride 0.5 mg/ml
25°C
30 Tag
Nicht genau angegeben 4746
Evidenzgrad A
Polyvinylchlorid 0,9% Natriumchlorid 0.03 mg/ml
Injektion   Hydromorphone hydrochloride   
Injektion   Bupivacaine hydrochloride 0.5 mg/ml
25°C
30 Tag
Nicht genau angegeben 4746
Evidenzgrad A
Polyvinylchlorid 0,9% Natriumchlorid 0.03 mg/ml
Injektion   Hydromorphone hydrochloride   
Injektion   Bupivacaine hydrochloride 2.5 mg/ml
25°C
30 Tag
Nicht genau angegeben 4746
Evidenzgrad A
Polyvinylchlorid 0,9% Natriumchlorid 0.0015 mg/ml
Injektion   Hydromorphone hydrochloride   
Injektion   Bupivacaine hydrochloride 2.5 mg/ml
25°C
30 Tag
Nicht genau angegeben 4746
Evidenzgrad A
Polyvinylchlorid 0,9% Natriumchlorid 0,5 mg/ml
Injektion   Hydromorphone hydrochloride   
Injektion   Fluorouracil 16 mg/ml
32°C
3 Tag
Nicht genau angegeben 513
Evidenzgrad A+
Polyvinylchlorid 0,9% Natriumchlorid 0,5 mg/ml
Injektion   Hydromorphone hydrochloride   
Injektion   Ondansetron hydrochloride 0,1 & 1 mg/ml
32°C
7 Tag
Nicht genau angegeben 6
Evidenzgrad A+
Polyvinylchlorid 0,9% Natriumchlorid 0,5 mg/ml
Injektion   Hydromorphone hydrochloride   
Injektion   Fluorouracil 1 mg/ml
32°C
7 Tag
Nicht genau angegeben 513
Evidenzgrad A+
Polyvinylchlorid 0,9% Natriumchlorid 20 mg/ml
Injektion   Hydromorphone hydrochloride   
Injektion   Esketamine 20 mg/ml
37°C
7 Tag
Nicht genau angegeben 4664
Evidenzgrad D
Polyvinylchlorid 0,9% Natriumchlorid 0,05 mg/ml
Injektion   Hydromorphone hydrochloride   
Injektion   Morphine hydrochloride 0,25 mg/ml
37°C
15 Tag
Nicht genau angegeben 4667
Evidenzgrad D
Polyvinylchlorid 0,9% Natriumchlorid 0,5 mg/ml
Injektion   Hydromorphone hydrochloride   
Injektion   Ondansetron hydrochloride 0,1 & 1 mg/ml
4°C
31 Tag
Ohne Licht 6
Evidenzgrad A+
Polyvinylchlorid 0,9% Natriumchlorid 0,5 mg/ml
Injektion   Hydromorphone hydrochloride   
Injektion   Fluorouracil 1 & 16 mg/ml
4°C
35 Tag
Ohne Licht 513
Evidenzgrad A+
Polyvinylchlorid 0,9% Natriumchlorid 0.0015 mg/ml
Injektion   Hydromorphone hydrochloride   
Injektion   Bupivacaine hydrochloride 0.5 mg/ml
4°C
30 Tag
Nicht genau angegeben 4746
Evidenzgrad A
Polyvinylchlorid 0,9% Natriumchlorid 0.03 mg/ml
Injektion   Hydromorphone hydrochloride   
Injektion   Bupivacaine hydrochloride 0.5 mg/ml
4°C
30 Tag
Nicht genau angegeben 4746
Evidenzgrad A
Polyvinylchlorid 0,9% Natriumchlorid 0.03 mg/ml
Injektion   Hydromorphone hydrochloride   
Injektion   Bupivacaine hydrochloride 2.5 mg/ml
4°C
30 Tag
Nicht genau angegeben 4746
Evidenzgrad A
Polyvinylchlorid 0,9% Natriumchlorid 0.0015 mg/ml
Injektion   Hydromorphone hydrochloride   
Injektion   Bupivacaine hydrochloride 2.5 mg/ml
4°C
30 Tag
Nicht genau angegeben 4746
Evidenzgrad A
Polyvinylchlorid 0,9% Natriumchlorid 0,5 mg/ml
Injektion   Hydromorphone hydrochloride   
Injektion   Ondansetron hydrochloride 0,1 & 1 mg/ml
4°C-22°C
31 Tag
Nicht genau angegeben 6
Evidenzgrad A+
Polyvinylchlorid 0,9% Natriumchlorid 0,5 mg/ml
Injektion   Hydromorphone hydrochloride   
Injektion   Granisetron hydrochloride 0,056 mg/ml
4°C-22°C
31 Stunde
Nicht genau angegeben 6
Evidenzgrad A+
Polyvinylchlorid 0,9% Natriumchlorid 0,5 mg/ml
Injektion   Hydromorphone hydrochloride   
Injektion   Granisetron hydrochloride 0,056 mg/ml
4°C-22°C
31 Stunde
Nicht genau angegeben 6
Evidenzgrad A+
Polyvinylchlorid 5% Glucose 0,5 mg/ml
Injektion   Hydromorphone hydrochloride   
Injektion   Fluorouracil 1 & 16 mg/ml
-20°C
35 Tag
Ohne Licht 513
Evidenzgrad A+
Polyvinylchlorid 5% Glucose 0,5 mg/ml
Injektion   Hydromorphone hydrochloride   
Injektion   Fluorouracil 16 mg/ml
23°C
7 Tag
Nicht genau angegeben 513
Evidenzgrad A+
Polyvinylchlorid 5% Glucose 0,5 mg/ml
Injektion   Hydromorphone hydrochloride   
Injektion   Fluorouracil 1 mg/ml
23°C
35 Tag
Nicht genau angegeben 513
Evidenzgrad A+
Polyvinylchlorid 5% Glucose 0,5 mg/ml
Injektion   Hydromorphone hydrochloride   
Injektion   Fluorouracil 16 mg/ml
32°C
3 Tag
Nicht genau angegeben 513
Evidenzgrad A+
Polyvinylchlorid 5% Glucose 0,5 mg/ml
Injektion   Hydromorphone hydrochloride   
Injektion   Fluorouracil 1 mg/ml
32°C
7 Tag
Nicht genau angegeben 513
Evidenzgrad A+
Polyvinylchlorid 5% Glucose 0,5 mg/ml
Injektion   Hydromorphone hydrochloride   
Injektion   Fluorouracil 1 & 16 mg/ml
4°C
35 Tag
Ohne Licht 513
Evidenzgrad A+
Polyäthylen 0,9% Natriumchlorid 0,05 mg/ml
Injektion   Hydromorphone hydrochloride   
Injektion   Morphine hydrochloride 0,25 mg/ml
25°C
15 Tag
Nicht genau angegeben 4667
Evidenzgrad D
Polyäthylen 0,9% Natriumchlorid 0,05 mg/ml
Injektion   Hydromorphone hydrochloride   
Injektion   Morphine hydrochloride 0,25 mg/ml
37°C
15 Tag
Nicht genau angegeben 4667
Evidenzgrad D
Polyolefin 0,9% Natriumchlorid 0.0015 mg/ml
Injektion   Hydromorphone hydrochloride   
Injektion   Bupivacaine hydrochloride 0.5 mg/ml
25°C
30 Tag
Nicht genau angegeben 4746
Evidenzgrad A
Polyolefin 0,9% Natriumchlorid 0.03 mg/ml
Injektion   Hydromorphone hydrochloride   
Injektion   Bupivacaine hydrochloride 0.5 mg/ml
25°C
30 Tag
Nicht genau angegeben 4746
Evidenzgrad A
Polyolefin 0,9% Natriumchlorid 0.03 mg/ml
Injektion   Hydromorphone hydrochloride   
Injektion   Bupivacaine hydrochloride 2.5 mg/ml
25°C
30 Tag
Nicht genau angegeben 4746
Evidenzgrad A
Polyolefin 0,9% Natriumchlorid 0.0015 mg/ml
Injektion   Hydromorphone hydrochloride   
Injektion   Bupivacaine hydrochloride 2.5 mg/ml
25°C
30 Tag
Nicht genau angegeben 4746
Evidenzgrad A
Polyolefin 0,9% Natriumchlorid 0.0015 mg/ml
Injektion   Hydromorphone hydrochloride   
Injektion   Bupivacaine hydrochloride 0.5 mg/ml
4°C
30 Tag
Nicht genau angegeben 4746
Evidenzgrad A
Polyolefin 0,9% Natriumchlorid 0.03 mg/ml
Injektion   Hydromorphone hydrochloride   
Injektion   Bupivacaine hydrochloride 0.5 mg/ml
4°C
30 Tag
Nicht genau angegeben 4746
Evidenzgrad A
Polyolefin 0,9% Natriumchlorid 0.03 mg/ml
Injektion   Hydromorphone hydrochloride   
Injektion   Bupivacaine hydrochloride 2.5 mg/ml
4°C
30 Tag
Nicht genau angegeben 4746
Evidenzgrad A
Polyolefin 0,9% Natriumchlorid 0.0015 mg/ml
Injektion   Hydromorphone hydrochloride   
Injektion   Bupivacaine hydrochloride 2.5 mg/ml
4°C
30 Tag
Nicht genau angegeben 4746
Evidenzgrad A
 Spritze Polypropylen 0,9% Natriumchlorid 0,02 & 0,04 mg/ml
Injektion   Hydromorphone hydrochloride   
Injektion   Bupivacaine hydrochloride 2,5 mg/ml
22°C
91 Tag
Licht 1931
Evidenzgrad A
 Spritze Polypropylen 0,9% Natriumchlorid 0,2 mg/ml
Injektion   Hydromorphone hydrochloride   
Injektion   Ketamine hydrochloride 0,2 >> 1 mg/ml
25°C
7 Tag
Ohne Licht 2336
Evidenzgrad D
 Spritze Polypropylen 0,9% Natriumchlorid 10 mg/ml
Injektion   Hydromorphone hydrochloride   
Injektion   Scopolamine hydrobromide 0,04 mg/ml
Injektion   Famotidine 0,4 mg/ml
Injektion   Haloperidol lactate 0,5 mg/ml
Injektion   Dimenhydrinate 5 mg/ml
25°C
12 Stunde
Nicht genau angegeben 2166
 Spritze Polypropylen 0,9% Natriumchlorid 10 mg/ml
Injektion   Hydromorphone hydrochloride   
Injektion   Famotidine 0,4 mg/ml
Injektion   Midazolam hydrochloride 1 mg/ml
25°C
96 Stunde
Nicht genau angegeben 2166
 Spritze Polypropylen 0,9% Natriumchlorid 10 mg/ml
Injektion   Hydromorphone hydrochloride   
Injektion   Haloperidol lactate 0,5 mg/ml
Injektion   Metoclopramide hydrochloride 0,5 mg/ml
25°C
96 Stunde
Nicht genau angegeben 2166
 Spritze Polypropylen 0,9% Natriumchlorid 10 mg/ml
Injektion   Hydromorphone hydrochloride   
Injektion   Famotidine 0,4 mg/ml
Injektion   Metoclopramide hydrochloride 0,5 mg/ml
Zäpfchen   Ketoprofene   
25°C
96 Stunde
Nicht genau angegeben 2166
 Spritze Polypropylen 0,9% Natriumchlorid 10 mg/ml
Injektion   Hydromorphone hydrochloride   
Injektion   Scopolamine hydrobromide 0,04 mg/ml
Injektion   Famotidine 0,4 mg/ml
Injektion   Haloperidol lactate 0,5 mg/ml
Injektion   Dimenhydrinate 5 mg/ml
4°C
12 Stunde
Nicht genau angegeben 2166
 Spritze Polypropylen 0,9% Natriumchlorid 10 mg/ml
Injektion   Hydromorphone hydrochloride   
Injektion   Famotidine 0,4 mg/ml
Injektion   Midazolam hydrochloride 1 mg/ml
4°C
96 Stunde
Nicht genau angegeben 2166
 Spritze Polypropylen 0,9% Natriumchlorid 10 mg/ml
Injektion   Hydromorphone hydrochloride   
Injektion   Famotidine 0,4 mg/ml
Injektion   Metoclopramide hydrochloride 0,5 mg/ml
Injektion   Ketorolac tromethamine 1,5 mg/ml
4°C
96 Stunde
Nicht genau angegeben 2166
 Spritze Polypropylen 0,9% Natriumchlorid 0,02 & 0,04 mg/ml
Injektion   Hydromorphone hydrochloride   
Injektion   Bupivacaine hydrochloride 2,5 mg/ml
6°C
91 Tag
Ohne Licht 1931
Evidenzgrad A
Polyisoprenelastomer 0,9% Natriumchlorid 0,08 mg/ml
Injektion   Hydromorphone hydrochloride   
Injektion   Fentanyl citrate 16 µg/ml
Injektion   Nefopam 0,8 mg/ml
Injektion   Ramosetron hydrochloride 12 µg/ml
24°C
4 Tag
Ohne Licht 4666
Evidenzgrad D
Polyisoprenelastomer 0,9% Natriumchlorid 0,08 mg/ml
Injektion   Hydromorphone hydrochloride   
Injektion   Fentanyl citrate 16 µg/ml
Injektion   Nefopam 0,8 mg/ml
Injektion   Ondansetron hydrochloride 0,32 mg/ml
24°C
4 Tag
Ohne Licht 4666
Evidenzgrad D
Nicht genau angegeben 0,9% Natriumchlorid 2 & 20 mg/ml
Injektion   Hydromorphone hydrochloride   
Injektion   Midazolam hydrochloride 0.1 & 0.5 mg/ml
23°C
23 Tag
Ohne Licht 345
Evidenzgrad A
Nicht genau angegeben 0,9% Natriumchlorid 35 mg/ml
Injektion   Hydromorphone hydrochloride   
Injektion   Ziconotide acetate 25 µg/ml
37°C
19 Tag
Ohne Licht 2251
Evidenzgrad D
Nicht genau angegeben 0,9% Natriumchlorid 50 mg/ml
Injektion   Hydromorphone hydrochloride   
Injektion   Bupivacaine hydrochloride 24 mg/ml
Injektion   Clonidine hydrochloride 2 mg/ml
37°C
90 Tag
Ohne Licht 2305
Nicht genau angegeben 0,9% Natriumchlorid 2 & 20 mg/ml
Injektion   Hydromorphone hydrochloride   
Injektion   Midazolam hydrochloride 0.1 & 0.5 mg/ml
4°C
23 Tag
Ohne Licht 345
Evidenzgrad A
Nicht genau angegeben 5% Glucose 2 & 20 mg/ml
Injektion   Hydromorphone hydrochloride   
Injektion   Midazolam hydrochloride 0.1 & 0.5 mg/ml
23°C
23 Tag
Ohne Licht 345
Evidenzgrad A
Nicht genau angegeben 5% Glucose 2 & 20 mg/ml
Injektion   Hydromorphone hydrochloride   
Injektion   Midazolam hydrochloride 0.1 & 0.5 mg/ml
4°C
23 Tag
Ohne Licht 345
Evidenzgrad A
Nicht genau angegeben Kein 15 mg/ml
Injektion   Hydromorphone hydrochloride   
Injektion   Bupivacaine hydrochloride 10 mg/ml
37°C
90 Tag
Ohne Licht 4200
Evidenzgrad A

  Mentions Légales