Laatste update :
27/04/2026
Analgeticum   Hydromorphone hydrochloride  
injecteerbaar geneesmiddel
Stabiliteit in oplossing Stabiliteit in mengsels Factoren die de stabiliteit beïnvloeden Verenigbaarheden Toedieningswijze Literatuur pdf
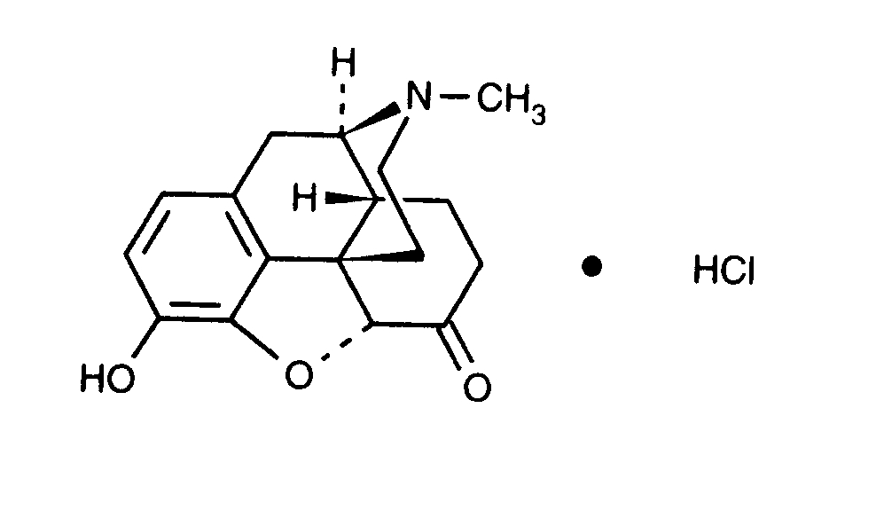
   Molecuulstructuur  

Merknamen in verschillende landen   Merknamen in verschillende landen     

Handelsnamen zijn slechts een indicatie; de samenstelling van hulpstoffen kan per land variëren afhankelijk van de fabrikant

Dilaudid Canada, USA
Hydal Oostenrijk
Palladon Denemarken, Zwitserland
Palladone Groot Britannië
Stabiliteit in mengsels   injecteerbaar geneesmiddel   Stabiliteit in mengsels : Hydromorphone hydrochloride     
Verpakking Oplosmiddel Concentratie Stof Temperatuur Bewaring Duur van de stabiliteit Literatuur
Glas Natriumchloride 0,9% 0,25 mg/ml
injecteerbaar geneesmiddel   Hydromorphone hydrochloride   
injecteerbaar geneesmiddel   Granisetron hydrochloride 0,5 mg/ml
20°C-23°C
4 Uur
Buiten invloed van licht 57
Bewijsniveau A+
Glas Natriumchloride 0,9% 0,2 mg/ml
injecteerbaar geneesmiddel   Hydromorphone hydrochloride   
injecteerbaar geneesmiddel   Ketamine hydrochloride 0,2 >> 1 mg/ml
25°C
7 Dag
Buiten invloed van licht 2336
Bewijsniveau D
Glas Natriumchloride 0,9% 0,05 mg/ml
injecteerbaar geneesmiddel   Hydromorphone hydrochloride   
injecteerbaar geneesmiddel   Morphine hydrochloride 0,25 mg/ml
25°C
15 Dag
Niet gespecificeerd 4667
Bewijsniveau D
Glas Natriumchloride 0,9% 0,05 mg/ml
injecteerbaar geneesmiddel   Hydromorphone hydrochloride   
injecteerbaar geneesmiddel   Morphine hydrochloride 0,25 mg/ml
37°C
15 Dag
Niet gespecificeerd 4667
Bewijsniveau D
Glas Glucose 5% 0,1 & 1 mg/ml
injecteerbaar geneesmiddel   Hydromorphone hydrochloride   
injecteerbaar geneesmiddel   Tacrolimus 5 & 20 µg/ml
23°C-25°C
4 Uur
Licht 814
Bewijsniveau A
Glas Geen 2 & 10 & 40 mg/ml
injecteerbaar geneesmiddel   Hydromorphone hydrochloride   
injecteerbaar geneesmiddel   Dimenhydrinate 50 mg/ml
23°C
24 Uur
Niet gespecificeerd 1497
Bewijsniveau B
Glas Geen 0,25 mg/ml
injecteerbaar geneesmiddel   Hydromorphone hydrochloride   
injecteerbaar geneesmiddel   Palonosetron hydrochloride 25 µg/ml
25°C
4 Uur
Licht 2196
Bewijsniveau A+
Glas Geen 2 & 10 & 40 mg/ml
injecteerbaar geneesmiddel   Hydromorphone hydrochloride   
injecteerbaar geneesmiddel   Dimenhydrinate 50 mg/ml
37°C
24 Uur
Niet gespecificeerd 1497
Bewijsniveau B
Glas Geen 2 & 10 & 40 mg/ml
injecteerbaar geneesmiddel   Hydromorphone hydrochloride   
injecteerbaar geneesmiddel   Dimenhydrinate 50 mg/ml
4°C
24 Uur
Buiten invloed van licht 1497
Bewijsniveau B
Polyvinylchloride (PVC) Natriumchloride 0,9% 0,5 mg/ml
injecteerbaar geneesmiddel   Hydromorphone hydrochloride   
injecteerbaar geneesmiddel   Fluorouracil 1 & 16 mg/ml
-20°C
35 Dag
Buiten invloed van licht 513
Bewijsniveau A+
Polyvinylchloride (PVC) Natriumchloride 0,9% 20 mg/ml
injecteerbaar geneesmiddel   Hydromorphone hydrochloride   
injecteerbaar geneesmiddel   Esketamine 20 mg/ml
22°C
7 Dag
Niet gespecificeerd 4664
Bewijsniveau D
Polyvinylchloride (PVC) Natriumchloride 0,9% 0,5 mg/ml
injecteerbaar geneesmiddel   Hydromorphone hydrochloride   
injecteerbaar geneesmiddel   Ondansetron hydrochloride 0,1 & 1 mg/ml
22°C
31 Dag
Niet gespecificeerd 6
Bewijsniveau A+
Polyvinylchloride (PVC) Natriumchloride 0,9% 0,5 mg/ml
injecteerbaar geneesmiddel   Hydromorphone hydrochloride   
injecteerbaar geneesmiddel   Fluorouracil 16 mg/ml
23°C
7 Dag
Niet gespecificeerd 513
Bewijsniveau A+
Polyvinylchloride (PVC) Natriumchloride 0,9% 0,5 mg/ml
injecteerbaar geneesmiddel   Hydromorphone hydrochloride   
injecteerbaar geneesmiddel   Fluorouracil 1 mg/ml
23°C
35 Dag
Niet gespecificeerd 513
Bewijsniveau A+
Polyvinylchloride (PVC) Natriumchloride 0,9% 0,02 & 0,1 mg/ml
injecteerbaar geneesmiddel   Hydromorphone hydrochloride   
injecteerbaar geneesmiddel   Bupivacaine hydrochloride 0,62 & 1,2 mg/ml
23°C-25°C
72 Uur
Licht 306
Bewijsniveau A
Polyvinylchloride (PVC) Natriumchloride 0,9% 0,2 mg/ml
injecteerbaar geneesmiddel   Hydromorphone hydrochloride   
injecteerbaar geneesmiddel   Ketamine hydrochloride 0,2 >> 1 mg/ml
25°C
7 Dag
Buiten invloed van licht 2336
Bewijsniveau D
Polyvinylchloride (PVC) Natriumchloride 0,9% 0,05 mg/ml
injecteerbaar geneesmiddel   Hydromorphone hydrochloride   
injecteerbaar geneesmiddel   Morphine hydrochloride 0,25 mg/ml
25°C
15 Dag
Niet gespecificeerd 4667
Bewijsniveau D
Polyvinylchloride (PVC) Natriumchloride 0,9% 0.0015 mg/ml
injecteerbaar geneesmiddel   Hydromorphone hydrochloride   
injecteerbaar geneesmiddel   Bupivacaine hydrochloride 0.5 mg/ml
25°C
30 Dag
Niet gespecificeerd 4746
Bewijsniveau A
Polyvinylchloride (PVC) Natriumchloride 0,9% 0.03 mg/ml
injecteerbaar geneesmiddel   Hydromorphone hydrochloride   
injecteerbaar geneesmiddel   Bupivacaine hydrochloride 0.5 mg/ml
25°C
30 Dag
Niet gespecificeerd 4746
Bewijsniveau A
Polyvinylchloride (PVC) Natriumchloride 0,9% 0.03 mg/ml
injecteerbaar geneesmiddel   Hydromorphone hydrochloride   
injecteerbaar geneesmiddel   Bupivacaine hydrochloride 2.5 mg/ml
25°C
30 Dag
Niet gespecificeerd 4746
Bewijsniveau A
Polyvinylchloride (PVC) Natriumchloride 0,9% 0.0015 mg/ml
injecteerbaar geneesmiddel   Hydromorphone hydrochloride   
injecteerbaar geneesmiddel   Bupivacaine hydrochloride 2.5 mg/ml
25°C
30 Dag
Niet gespecificeerd 4746
Bewijsniveau A
Polyvinylchloride (PVC) Natriumchloride 0,9% 0,5 mg/ml
injecteerbaar geneesmiddel   Hydromorphone hydrochloride   
injecteerbaar geneesmiddel   Fluorouracil 16 mg/ml
32°C
3 Dag
Niet gespecificeerd 513
Bewijsniveau A+
Polyvinylchloride (PVC) Natriumchloride 0,9% 0,5 mg/ml
injecteerbaar geneesmiddel   Hydromorphone hydrochloride   
injecteerbaar geneesmiddel   Ondansetron hydrochloride 0,1 & 1 mg/ml
32°C
7 Dag
Niet gespecificeerd 6
Bewijsniveau A+
Polyvinylchloride (PVC) Natriumchloride 0,9% 0,5 mg/ml
injecteerbaar geneesmiddel   Hydromorphone hydrochloride   
injecteerbaar geneesmiddel   Fluorouracil 1 mg/ml
32°C
7 Dag
Niet gespecificeerd 513
Bewijsniveau A+
Polyvinylchloride (PVC) Natriumchloride 0,9% 20 mg/ml
injecteerbaar geneesmiddel   Hydromorphone hydrochloride   
injecteerbaar geneesmiddel   Esketamine 20 mg/ml
37°C
7 Dag
Niet gespecificeerd 4664
Bewijsniveau D
Polyvinylchloride (PVC) Natriumchloride 0,9% 0,05 mg/ml
injecteerbaar geneesmiddel   Hydromorphone hydrochloride   
injecteerbaar geneesmiddel   Morphine hydrochloride 0,25 mg/ml
37°C
15 Dag
Niet gespecificeerd 4667
Bewijsniveau D
Polyvinylchloride (PVC) Natriumchloride 0,9% 0,5 mg/ml
injecteerbaar geneesmiddel   Hydromorphone hydrochloride   
injecteerbaar geneesmiddel   Ondansetron hydrochloride 0,1 & 1 mg/ml
4°C
31 Dag
Buiten invloed van licht 6
Bewijsniveau A+
Polyvinylchloride (PVC) Natriumchloride 0,9% 0,5 mg/ml
injecteerbaar geneesmiddel   Hydromorphone hydrochloride   
injecteerbaar geneesmiddel   Fluorouracil 1 & 16 mg/ml
4°C
35 Dag
Buiten invloed van licht 513
Bewijsniveau A+
Polyvinylchloride (PVC) Natriumchloride 0,9% 0.0015 mg/ml
injecteerbaar geneesmiddel   Hydromorphone hydrochloride   
injecteerbaar geneesmiddel   Bupivacaine hydrochloride 0.5 mg/ml
4°C
30 Dag
Niet gespecificeerd 4746
Bewijsniveau A
Polyvinylchloride (PVC) Natriumchloride 0,9% 0.03 mg/ml
injecteerbaar geneesmiddel   Hydromorphone hydrochloride   
injecteerbaar geneesmiddel   Bupivacaine hydrochloride 0.5 mg/ml
4°C
30 Dag
Niet gespecificeerd 4746
Bewijsniveau A
Polyvinylchloride (PVC) Natriumchloride 0,9% 0.03 mg/ml
injecteerbaar geneesmiddel   Hydromorphone hydrochloride   
injecteerbaar geneesmiddel   Bupivacaine hydrochloride 2.5 mg/ml
4°C
30 Dag
Niet gespecificeerd 4746
Bewijsniveau A
Polyvinylchloride (PVC) Natriumchloride 0,9% 0.0015 mg/ml
injecteerbaar geneesmiddel   Hydromorphone hydrochloride   
injecteerbaar geneesmiddel   Bupivacaine hydrochloride 2.5 mg/ml
4°C
30 Dag
Niet gespecificeerd 4746
Bewijsniveau A
Polyvinylchloride (PVC) Natriumchloride 0,9% 0,5 mg/ml
injecteerbaar geneesmiddel   Hydromorphone hydrochloride   
injecteerbaar geneesmiddel   Ondansetron hydrochloride 0,1 & 1 mg/ml
4°C-22°C
31 Dag
Niet gespecificeerd 6
Bewijsniveau A+
Polyvinylchloride (PVC) Natriumchloride 0,9% 0,5 mg/ml
injecteerbaar geneesmiddel   Hydromorphone hydrochloride   
injecteerbaar geneesmiddel   Granisetron hydrochloride 0,056 mg/ml
4°C-22°C
31 Uur
Niet gespecificeerd 6
Bewijsniveau A+
Polyvinylchloride (PVC) Natriumchloride 0,9% 0,5 mg/ml
injecteerbaar geneesmiddel   Hydromorphone hydrochloride   
injecteerbaar geneesmiddel   Granisetron hydrochloride 0,056 mg/ml
4°C-22°C
31 Uur
Niet gespecificeerd 6
Bewijsniveau A+
Polyvinylchloride (PVC) Glucose 5% 0,5 mg/ml
injecteerbaar geneesmiddel   Hydromorphone hydrochloride   
injecteerbaar geneesmiddel   Fluorouracil 1 & 16 mg/ml
-20°C
35 Dag
Buiten invloed van licht 513
Bewijsniveau A+
Polyvinylchloride (PVC) Glucose 5% 0,5 mg/ml
injecteerbaar geneesmiddel   Hydromorphone hydrochloride   
injecteerbaar geneesmiddel   Fluorouracil 16 mg/ml
23°C
7 Dag
Niet gespecificeerd 513
Bewijsniveau A+
Polyvinylchloride (PVC) Glucose 5% 0,5 mg/ml
injecteerbaar geneesmiddel   Hydromorphone hydrochloride   
injecteerbaar geneesmiddel   Fluorouracil 1 mg/ml
23°C
35 Dag
Niet gespecificeerd 513
Bewijsniveau A+
Polyvinylchloride (PVC) Glucose 5% 0,5 mg/ml
injecteerbaar geneesmiddel   Hydromorphone hydrochloride   
injecteerbaar geneesmiddel   Fluorouracil 16 mg/ml
32°C
3 Dag
Niet gespecificeerd 513
Bewijsniveau A+
Polyvinylchloride (PVC) Glucose 5% 0,5 mg/ml
injecteerbaar geneesmiddel   Hydromorphone hydrochloride   
injecteerbaar geneesmiddel   Fluorouracil 1 mg/ml
32°C
7 Dag
Niet gespecificeerd 513
Bewijsniveau A+
Polyvinylchloride (PVC) Glucose 5% 0,5 mg/ml
injecteerbaar geneesmiddel   Hydromorphone hydrochloride   
injecteerbaar geneesmiddel   Fluorouracil 1 & 16 mg/ml
4°C
35 Dag
Buiten invloed van licht 513
Bewijsniveau A+
Polyethyleen (PE) Natriumchloride 0,9% 0,05 mg/ml
injecteerbaar geneesmiddel   Hydromorphone hydrochloride   
injecteerbaar geneesmiddel   Morphine hydrochloride 0,25 mg/ml
25°C
15 Dag
Niet gespecificeerd 4667
Bewijsniveau D
Polyethyleen (PE) Natriumchloride 0,9% 0,05 mg/ml
injecteerbaar geneesmiddel   Hydromorphone hydrochloride   
injecteerbaar geneesmiddel   Morphine hydrochloride 0,25 mg/ml
37°C
15 Dag
Niet gespecificeerd 4667
Bewijsniveau D
Polyolefine Natriumchloride 0,9% 0.0015 mg/ml
injecteerbaar geneesmiddel   Hydromorphone hydrochloride   
injecteerbaar geneesmiddel   Bupivacaine hydrochloride 0.5 mg/ml
25°C
30 Dag
Niet gespecificeerd 4746
Bewijsniveau A
Polyolefine Natriumchloride 0,9% 0.03 mg/ml
injecteerbaar geneesmiddel   Hydromorphone hydrochloride   
injecteerbaar geneesmiddel   Bupivacaine hydrochloride 0.5 mg/ml
25°C
30 Dag
Niet gespecificeerd 4746
Bewijsniveau A
Polyolefine Natriumchloride 0,9% 0.03 mg/ml
injecteerbaar geneesmiddel   Hydromorphone hydrochloride   
injecteerbaar geneesmiddel   Bupivacaine hydrochloride 2.5 mg/ml
25°C
30 Dag
Niet gespecificeerd 4746
Bewijsniveau A
Polyolefine Natriumchloride 0,9% 0.0015 mg/ml
injecteerbaar geneesmiddel   Hydromorphone hydrochloride   
injecteerbaar geneesmiddel   Bupivacaine hydrochloride 2.5 mg/ml
25°C
30 Dag
Niet gespecificeerd 4746
Bewijsniveau A
Polyolefine Natriumchloride 0,9% 0.0015 mg/ml
injecteerbaar geneesmiddel   Hydromorphone hydrochloride   
injecteerbaar geneesmiddel   Bupivacaine hydrochloride 0.5 mg/ml
4°C
30 Dag
Niet gespecificeerd 4746
Bewijsniveau A
Polyolefine Natriumchloride 0,9% 0.03 mg/ml
injecteerbaar geneesmiddel   Hydromorphone hydrochloride   
injecteerbaar geneesmiddel   Bupivacaine hydrochloride 0.5 mg/ml
4°C
30 Dag
Niet gespecificeerd 4746
Bewijsniveau A
Polyolefine Natriumchloride 0,9% 0.03 mg/ml
injecteerbaar geneesmiddel   Hydromorphone hydrochloride   
injecteerbaar geneesmiddel   Bupivacaine hydrochloride 2.5 mg/ml
4°C
30 Dag
Niet gespecificeerd 4746
Bewijsniveau A
Polyolefine Natriumchloride 0,9% 0.0015 mg/ml
injecteerbaar geneesmiddel   Hydromorphone hydrochloride   
injecteerbaar geneesmiddel   Bupivacaine hydrochloride 2.5 mg/ml
4°C
30 Dag
Niet gespecificeerd 4746
Bewijsniveau A
injectiespuit polypropyleen Natriumchloride 0,9% 0,02 & 0,04 mg/ml
injecteerbaar geneesmiddel   Hydromorphone hydrochloride   
injecteerbaar geneesmiddel   Bupivacaine hydrochloride 2,5 mg/ml
22°C
91 Dag
Licht 1931
Bewijsniveau A
injectiespuit polypropyleen Natriumchloride 0,9% 0,2 mg/ml
injecteerbaar geneesmiddel   Hydromorphone hydrochloride   
injecteerbaar geneesmiddel   Ketamine hydrochloride 0,2 >> 1 mg/ml
25°C
7 Dag
Buiten invloed van licht 2336
Bewijsniveau D
injectiespuit polypropyleen Natriumchloride 0,9% 10 mg/ml
injecteerbaar geneesmiddel   Hydromorphone hydrochloride   
injecteerbaar geneesmiddel   Scopolamine hydrobromide 0,04 mg/ml
injecteerbaar geneesmiddel   Famotidine 0,4 mg/ml
injecteerbaar geneesmiddel   Haloperidol lactate 0,5 mg/ml
injecteerbaar geneesmiddel   Dimenhydrinate 5 mg/ml
25°C
12 Uur
Niet gespecificeerd 2166
injectiespuit polypropyleen Natriumchloride 0,9% 10 mg/ml
injecteerbaar geneesmiddel   Hydromorphone hydrochloride   
injecteerbaar geneesmiddel   Famotidine 0,4 mg/ml
injecteerbaar geneesmiddel   Midazolam hydrochloride 1 mg/ml
25°C
96 Uur
Niet gespecificeerd 2166
injectiespuit polypropyleen Natriumchloride 0,9% 10 mg/ml
injecteerbaar geneesmiddel   Hydromorphone hydrochloride   
injecteerbaar geneesmiddel   Haloperidol lactate 0,5 mg/ml
injecteerbaar geneesmiddel   Metoclopramide hydrochloride 0,5 mg/ml
25°C
96 Uur
Niet gespecificeerd 2166
injectiespuit polypropyleen Natriumchloride 0,9% 10 mg/ml
injecteerbaar geneesmiddel   Hydromorphone hydrochloride   
injecteerbaar geneesmiddel   Famotidine 0,4 mg/ml
injecteerbaar geneesmiddel   Metoclopramide hydrochloride 0,5 mg/ml
zetpil   Ketoprofene   
25°C
96 Uur
Niet gespecificeerd 2166
injectiespuit polypropyleen Natriumchloride 0,9% 10 mg/ml
injecteerbaar geneesmiddel   Hydromorphone hydrochloride   
injecteerbaar geneesmiddel   Scopolamine hydrobromide 0,04 mg/ml
injecteerbaar geneesmiddel   Famotidine 0,4 mg/ml
injecteerbaar geneesmiddel   Haloperidol lactate 0,5 mg/ml
injecteerbaar geneesmiddel   Dimenhydrinate 5 mg/ml
4°C
12 Uur
Niet gespecificeerd 2166
injectiespuit polypropyleen Natriumchloride 0,9% 10 mg/ml
injecteerbaar geneesmiddel   Hydromorphone hydrochloride   
injecteerbaar geneesmiddel   Famotidine 0,4 mg/ml
injecteerbaar geneesmiddel   Midazolam hydrochloride 1 mg/ml
4°C
96 Uur
Niet gespecificeerd 2166
injectiespuit polypropyleen Natriumchloride 0,9% 10 mg/ml
injecteerbaar geneesmiddel   Hydromorphone hydrochloride   
injecteerbaar geneesmiddel   Famotidine 0,4 mg/ml
injecteerbaar geneesmiddel   Metoclopramide hydrochloride 0,5 mg/ml
injecteerbaar geneesmiddel   Ketorolac tromethamine 1,5 mg/ml
4°C
96 Uur
Niet gespecificeerd 2166
injectiespuit polypropyleen Natriumchloride 0,9% 0,02 & 0,04 mg/ml
injecteerbaar geneesmiddel   Hydromorphone hydrochloride   
injecteerbaar geneesmiddel   Bupivacaine hydrochloride 2,5 mg/ml
6°C
91 Dag
Buiten invloed van licht 1931
Bewijsniveau A
Polyisopreen elastomeer Natriumchloride 0,9% 0,08 mg/ml
injecteerbaar geneesmiddel   Hydromorphone hydrochloride   
injecteerbaar geneesmiddel   Fentanyl citrate 16 µg/ml
injecteerbaar geneesmiddel   Nefopam 0,8 mg/ml
injecteerbaar geneesmiddel   Ramosetron hydrochloride 12 µg/ml
24°C
4 Dag
Buiten invloed van licht 4666
Bewijsniveau D
Polyisopreen elastomeer Natriumchloride 0,9% 0,08 mg/ml
injecteerbaar geneesmiddel   Hydromorphone hydrochloride   
injecteerbaar geneesmiddel   Fentanyl citrate 16 µg/ml
injecteerbaar geneesmiddel   Nefopam 0,8 mg/ml
injecteerbaar geneesmiddel   Ondansetron hydrochloride 0,32 mg/ml
24°C
4 Dag
Buiten invloed van licht 4666
Bewijsniveau D
Niet gespecificeerd Natriumchloride 0,9% 2 & 20 mg/ml
injecteerbaar geneesmiddel   Hydromorphone hydrochloride   
injecteerbaar geneesmiddel   Midazolam hydrochloride 0.1 & 0.5 mg/ml
23°C
23 Dag
Buiten invloed van licht 345
Bewijsniveau A
Niet gespecificeerd Natriumchloride 0,9% 35 mg/ml
injecteerbaar geneesmiddel   Hydromorphone hydrochloride   
injecteerbaar geneesmiddel   Ziconotide acetate 25 µg/ml
37°C
19 Dag
Buiten invloed van licht 2251
Bewijsniveau D
Niet gespecificeerd Natriumchloride 0,9% 50 mg/ml
injecteerbaar geneesmiddel   Hydromorphone hydrochloride   
injecteerbaar geneesmiddel   Bupivacaine hydrochloride 24 mg/ml
injecteerbaar geneesmiddel   Clonidine hydrochloride 2 mg/ml
37°C
90 Dag
Buiten invloed van licht 2305
Niet gespecificeerd Natriumchloride 0,9% 2 & 20 mg/ml
injecteerbaar geneesmiddel   Hydromorphone hydrochloride   
injecteerbaar geneesmiddel   Midazolam hydrochloride 0.1 & 0.5 mg/ml
4°C
23 Dag
Buiten invloed van licht 345
Bewijsniveau A
Niet gespecificeerd Glucose 5% 2 & 20 mg/ml
injecteerbaar geneesmiddel   Hydromorphone hydrochloride   
injecteerbaar geneesmiddel   Midazolam hydrochloride 0.1 & 0.5 mg/ml
23°C
23 Dag
Buiten invloed van licht 345
Bewijsniveau A
Niet gespecificeerd Glucose 5% 2 & 20 mg/ml
injecteerbaar geneesmiddel   Hydromorphone hydrochloride   
injecteerbaar geneesmiddel   Midazolam hydrochloride 0.1 & 0.5 mg/ml
4°C
23 Dag
Buiten invloed van licht 345
Bewijsniveau A
Niet gespecificeerd Geen 15 mg/ml
injecteerbaar geneesmiddel   Hydromorphone hydrochloride   
injecteerbaar geneesmiddel   Bupivacaine hydrochloride 10 mg/ml
37°C
90 Dag
Buiten invloed van licht 4200
Bewijsniveau A

  Mentions Légales