آخر تحديث :
27/04/2026
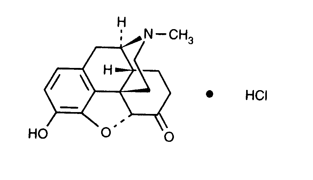
مسكن   Hydromorphone hydrochloride  
حقن
الاستقرار في حلول استقرار مخاليط العوامل التي تؤثر على الاستقرار التوافق طريقة التعاطي مراجع pdf
   التركيب الكيميائي  

حجز الاسم التجاري   حجز الاسم التجاري     

تحذير الأسماء التجاريه المختلفه قد تحتوي علي محتوي إضافات مختلفة حسب الدوله و المعمل

Dilaudid الولايات المتحدة, كندا
Hydal النمسا
Palladon الدنمارك, سويسرا
Palladone بريطانيا العظمي
استقرار مخاليط   حقن   استقرار مخاليط : Hydromorphone hydrochloride     
حاوية مذيب تركيز مركب درجة الحرارة تخزين مدة الاستقرار مراجع
زجاج كلوريد الصوديوم 0.9% 0,25 mg/ml
حقن   Hydromorphone hydrochloride   
حقن   Granisetron hydrochloride 0,5 mg/ml
20°C-23°C
4 ساعة
بعيدا عن الضوء 57
 A+ مستوى الأدلة
زجاج كلوريد الصوديوم 0.9% 0,2 mg/ml
حقن   Hydromorphone hydrochloride   
حقن   Ketamine hydrochloride 0,2 >> 1 mg/ml
25°C
7 يوم
بعيدا عن الضوء 2336
D مستوى الأدلة
زجاج كلوريد الصوديوم 0.9% 0,05 mg/ml
حقن   Hydromorphone hydrochloride   
حقن   Morphine hydrochloride 0,25 mg/ml
25°C
15 يوم
لم يتم تحديد 4667
D مستوى الأدلة
زجاج كلوريد الصوديوم 0.9% 0,05 mg/ml
حقن   Hydromorphone hydrochloride   
حقن   Morphine hydrochloride 0,25 mg/ml
37°C
15 يوم
لم يتم تحديد 4667
D مستوى الأدلة
زجاج الجلوكوز %5 0,1 & 1 mg/ml
حقن   Hydromorphone hydrochloride   
حقن   Tacrolimus 5 & 20 µg/ml
23°C-25°C
4 ساعة
ضوء 814
A مستوى الأدلة
زجاج لا شيء 2 & 10 & 40 mg/ml
حقن   Hydromorphone hydrochloride   
حقن   Dimenhydrinate 50 mg/ml
23°C
24 ساعة
لم يتم تحديد 1497
B مستوى الأدلة
زجاج لا شيء 0,25 mg/ml
حقن   Hydromorphone hydrochloride   
حقن   Palonosetron hydrochloride 25 µg/ml
25°C
4 ساعة
ضوء 2196
 A+ مستوى الأدلة
زجاج لا شيء 2 & 10 & 40 mg/ml
حقن   Hydromorphone hydrochloride   
حقن   Dimenhydrinate 50 mg/ml
37°C
24 ساعة
لم يتم تحديد 1497
B مستوى الأدلة
زجاج لا شيء 2 & 10 & 40 mg/ml
حقن   Hydromorphone hydrochloride   
حقن   Dimenhydrinate 50 mg/ml
4°C
24 ساعة
بعيدا عن الضوء 1497
B مستوى الأدلة
البولي فينيل كلوريد كلوريد الصوديوم 0.9% 0,5 mg/ml
حقن   Hydromorphone hydrochloride   
حقن   Fluorouracil 1 & 16 mg/ml
-20°C
35 يوم
بعيدا عن الضوء 513
 A+ مستوى الأدلة
البولي فينيل كلوريد كلوريد الصوديوم 0.9% 20 mg/ml
حقن   Hydromorphone hydrochloride   
حقن   Esketamine 20 mg/ml
22°C
7 يوم
لم يتم تحديد 4664
D مستوى الأدلة
البولي فينيل كلوريد كلوريد الصوديوم 0.9% 0,5 mg/ml
حقن   Hydromorphone hydrochloride   
حقن   Ondansetron hydrochloride 0,1 & 1 mg/ml
22°C
31 يوم
لم يتم تحديد 6
 A+ مستوى الأدلة
البولي فينيل كلوريد كلوريد الصوديوم 0.9% 0,5 mg/ml
حقن   Hydromorphone hydrochloride   
حقن   Fluorouracil 16 mg/ml
23°C
7 يوم
لم يتم تحديد 513
 A+ مستوى الأدلة
البولي فينيل كلوريد كلوريد الصوديوم 0.9% 0,5 mg/ml
حقن   Hydromorphone hydrochloride   
حقن   Fluorouracil 1 mg/ml
23°C
35 يوم
لم يتم تحديد 513
 A+ مستوى الأدلة
البولي فينيل كلوريد كلوريد الصوديوم 0.9% 0,02 & 0,1 mg/ml
حقن   Hydromorphone hydrochloride   
حقن   Bupivacaine hydrochloride 0,62 & 1,2 mg/ml
23°C-25°C
72 ساعة
ضوء 306
A مستوى الأدلة
البولي فينيل كلوريد كلوريد الصوديوم 0.9% 0,2 mg/ml
حقن   Hydromorphone hydrochloride   
حقن   Ketamine hydrochloride 0,2 >> 1 mg/ml
25°C
7 يوم
بعيدا عن الضوء 2336
D مستوى الأدلة
البولي فينيل كلوريد كلوريد الصوديوم 0.9% 0,05 mg/ml
حقن   Hydromorphone hydrochloride   
حقن   Morphine hydrochloride 0,25 mg/ml
25°C
15 يوم
لم يتم تحديد 4667
D مستوى الأدلة
البولي فينيل كلوريد كلوريد الصوديوم 0.9% 0.0015 mg/ml
حقن   Hydromorphone hydrochloride   
حقن   Bupivacaine hydrochloride 0.5 mg/ml
25°C
30 يوم
لم يتم تحديد 4746
A مستوى الأدلة
البولي فينيل كلوريد كلوريد الصوديوم 0.9% 0.03 mg/ml
حقن   Hydromorphone hydrochloride   
حقن   Bupivacaine hydrochloride 0.5 mg/ml
25°C
30 يوم
لم يتم تحديد 4746
A مستوى الأدلة
البولي فينيل كلوريد كلوريد الصوديوم 0.9% 0.03 mg/ml
حقن   Hydromorphone hydrochloride   
حقن   Bupivacaine hydrochloride 2.5 mg/ml
25°C
30 يوم
لم يتم تحديد 4746
A مستوى الأدلة
البولي فينيل كلوريد كلوريد الصوديوم 0.9% 0.0015 mg/ml
حقن   Hydromorphone hydrochloride   
حقن   Bupivacaine hydrochloride 2.5 mg/ml
25°C
30 يوم
لم يتم تحديد 4746
A مستوى الأدلة
البولي فينيل كلوريد كلوريد الصوديوم 0.9% 0,5 mg/ml
حقن   Hydromorphone hydrochloride   
حقن   Fluorouracil 16 mg/ml
32°C
3 يوم
لم يتم تحديد 513
 A+ مستوى الأدلة
البولي فينيل كلوريد كلوريد الصوديوم 0.9% 0,5 mg/ml
حقن   Hydromorphone hydrochloride   
حقن   Ondansetron hydrochloride 0,1 & 1 mg/ml
32°C
7 يوم
لم يتم تحديد 6
 A+ مستوى الأدلة
البولي فينيل كلوريد كلوريد الصوديوم 0.9% 0,5 mg/ml
حقن   Hydromorphone hydrochloride   
حقن   Fluorouracil 1 mg/ml
32°C
7 يوم
لم يتم تحديد 513
 A+ مستوى الأدلة
البولي فينيل كلوريد كلوريد الصوديوم 0.9% 20 mg/ml
حقن   Hydromorphone hydrochloride   
حقن   Esketamine 20 mg/ml
37°C
7 يوم
لم يتم تحديد 4664
D مستوى الأدلة
البولي فينيل كلوريد كلوريد الصوديوم 0.9% 0,05 mg/ml
حقن   Hydromorphone hydrochloride   
حقن   Morphine hydrochloride 0,25 mg/ml
37°C
15 يوم
لم يتم تحديد 4667
D مستوى الأدلة
البولي فينيل كلوريد كلوريد الصوديوم 0.9% 0,5 mg/ml
حقن   Hydromorphone hydrochloride   
حقن   Ondansetron hydrochloride 0,1 & 1 mg/ml
4°C
31 يوم
بعيدا عن الضوء 6
 A+ مستوى الأدلة
البولي فينيل كلوريد كلوريد الصوديوم 0.9% 0,5 mg/ml
حقن   Hydromorphone hydrochloride   
حقن   Fluorouracil 1 & 16 mg/ml
4°C
35 يوم
بعيدا عن الضوء 513
 A+ مستوى الأدلة
البولي فينيل كلوريد كلوريد الصوديوم 0.9% 0.0015 mg/ml
حقن   Hydromorphone hydrochloride   
حقن   Bupivacaine hydrochloride 0.5 mg/ml
4°C
30 يوم
لم يتم تحديد 4746
A مستوى الأدلة
البولي فينيل كلوريد كلوريد الصوديوم 0.9% 0.03 mg/ml
حقن   Hydromorphone hydrochloride   
حقن   Bupivacaine hydrochloride 0.5 mg/ml
4°C
30 يوم
لم يتم تحديد 4746
A مستوى الأدلة
البولي فينيل كلوريد كلوريد الصوديوم 0.9% 0.03 mg/ml
حقن   Hydromorphone hydrochloride   
حقن   Bupivacaine hydrochloride 2.5 mg/ml
4°C
30 يوم
لم يتم تحديد 4746
A مستوى الأدلة
البولي فينيل كلوريد كلوريد الصوديوم 0.9% 0.0015 mg/ml
حقن   Hydromorphone hydrochloride   
حقن   Bupivacaine hydrochloride 2.5 mg/ml
4°C
30 يوم
لم يتم تحديد 4746
A مستوى الأدلة
البولي فينيل كلوريد كلوريد الصوديوم 0.9% 0,5 mg/ml
حقن   Hydromorphone hydrochloride   
حقن   Ondansetron hydrochloride 0,1 & 1 mg/ml
4°C-22°C
31 يوم
لم يتم تحديد 6
 A+ مستوى الأدلة
البولي فينيل كلوريد كلوريد الصوديوم 0.9% 0,5 mg/ml
حقن   Hydromorphone hydrochloride   
حقن   Granisetron hydrochloride 0,056 mg/ml
4°C-22°C
31 ساعة
لم يتم تحديد 6
 A+ مستوى الأدلة
البولي فينيل كلوريد كلوريد الصوديوم 0.9% 0,5 mg/ml
حقن   Hydromorphone hydrochloride   
حقن   Granisetron hydrochloride 0,056 mg/ml
4°C-22°C
31 ساعة
لم يتم تحديد 6
 A+ مستوى الأدلة
البولي فينيل كلوريد الجلوكوز %5 0,5 mg/ml
حقن   Hydromorphone hydrochloride   
حقن   Fluorouracil 1 & 16 mg/ml
-20°C
35 يوم
بعيدا عن الضوء 513
 A+ مستوى الأدلة
البولي فينيل كلوريد الجلوكوز %5 0,5 mg/ml
حقن   Hydromorphone hydrochloride   
حقن   Fluorouracil 16 mg/ml
23°C
7 يوم
لم يتم تحديد 513
 A+ مستوى الأدلة
البولي فينيل كلوريد الجلوكوز %5 0,5 mg/ml
حقن   Hydromorphone hydrochloride   
حقن   Fluorouracil 1 mg/ml
23°C
35 يوم
لم يتم تحديد 513
 A+ مستوى الأدلة
البولي فينيل كلوريد الجلوكوز %5 0,5 mg/ml
حقن   Hydromorphone hydrochloride   
حقن   Fluorouracil 16 mg/ml
32°C
3 يوم
لم يتم تحديد 513
 A+ مستوى الأدلة
البولي فينيل كلوريد الجلوكوز %5 0,5 mg/ml
حقن   Hydromorphone hydrochloride   
حقن   Fluorouracil 1 mg/ml
32°C
7 يوم
لم يتم تحديد 513
 A+ مستوى الأدلة
البولي فينيل كلوريد الجلوكوز %5 0,5 mg/ml
حقن   Hydromorphone hydrochloride   
حقن   Fluorouracil 1 & 16 mg/ml
4°C
35 يوم
بعيدا عن الضوء 513
 A+ مستوى الأدلة
البولي ايثيلين كلوريد الصوديوم 0.9% 0,05 mg/ml
حقن   Hydromorphone hydrochloride   
حقن   Morphine hydrochloride 0,25 mg/ml
25°C
15 يوم
لم يتم تحديد 4667
D مستوى الأدلة
البولي ايثيلين كلوريد الصوديوم 0.9% 0,05 mg/ml
حقن   Hydromorphone hydrochloride   
حقن   Morphine hydrochloride 0,25 mg/ml
37°C
15 يوم
لم يتم تحديد 4667
D مستوى الأدلة
البولي فين كلوريد الصوديوم 0.9% 0.0015 mg/ml
حقن   Hydromorphone hydrochloride   
حقن   Bupivacaine hydrochloride 0.5 mg/ml
25°C
30 يوم
لم يتم تحديد 4746
A مستوى الأدلة
البولي فين كلوريد الصوديوم 0.9% 0.03 mg/ml
حقن   Hydromorphone hydrochloride   
حقن   Bupivacaine hydrochloride 0.5 mg/ml
25°C
30 يوم
لم يتم تحديد 4746
A مستوى الأدلة
البولي فين كلوريد الصوديوم 0.9% 0.03 mg/ml
حقن   Hydromorphone hydrochloride   
حقن   Bupivacaine hydrochloride 2.5 mg/ml
25°C
30 يوم
لم يتم تحديد 4746
A مستوى الأدلة
البولي فين كلوريد الصوديوم 0.9% 0.0015 mg/ml
حقن   Hydromorphone hydrochloride   
حقن   Bupivacaine hydrochloride 2.5 mg/ml
25°C
30 يوم
لم يتم تحديد 4746
A مستوى الأدلة
البولي فين كلوريد الصوديوم 0.9% 0.0015 mg/ml
حقن   Hydromorphone hydrochloride   
حقن   Bupivacaine hydrochloride 0.5 mg/ml
4°C
30 يوم
لم يتم تحديد 4746
A مستوى الأدلة
البولي فين كلوريد الصوديوم 0.9% 0.03 mg/ml
حقن   Hydromorphone hydrochloride   
حقن   Bupivacaine hydrochloride 0.5 mg/ml
4°C
30 يوم
لم يتم تحديد 4746
A مستوى الأدلة
البولي فين كلوريد الصوديوم 0.9% 0.03 mg/ml
حقن   Hydromorphone hydrochloride   
حقن   Bupivacaine hydrochloride 2.5 mg/ml
4°C
30 يوم
لم يتم تحديد 4746
A مستوى الأدلة
البولي فين كلوريد الصوديوم 0.9% 0.0015 mg/ml
حقن   Hydromorphone hydrochloride   
حقن   Bupivacaine hydrochloride 2.5 mg/ml
4°C
30 يوم
لم يتم تحديد 4746
A مستوى الأدلة
محقنة البولي بروبلين كلوريد الصوديوم 0.9% 0,02 & 0,04 mg/ml
حقن   Hydromorphone hydrochloride   
حقن   Bupivacaine hydrochloride 2,5 mg/ml
22°C
91 يوم
ضوء 1931
A مستوى الأدلة
محقنة البولي بروبلين كلوريد الصوديوم 0.9% 0,2 mg/ml
حقن   Hydromorphone hydrochloride   
حقن   Ketamine hydrochloride 0,2 >> 1 mg/ml
25°C
7 يوم
بعيدا عن الضوء 2336
D مستوى الأدلة
محقنة البولي بروبلين كلوريد الصوديوم 0.9% 10 mg/ml
حقن   Hydromorphone hydrochloride   
حقن   Scopolamine hydrobromide 0,04 mg/ml
حقن   Famotidine 0,4 mg/ml
حقن   Haloperidol lactate 0,5 mg/ml
حقن   Dimenhydrinate 5 mg/ml
25°C
12 ساعة
لم يتم تحديد 2166
محقنة البولي بروبلين كلوريد الصوديوم 0.9% 10 mg/ml
حقن   Hydromorphone hydrochloride   
حقن   Famotidine 0,4 mg/ml
حقن   Midazolam hydrochloride 1 mg/ml
25°C
96 ساعة
لم يتم تحديد 2166
محقنة البولي بروبلين كلوريد الصوديوم 0.9% 10 mg/ml
حقن   Hydromorphone hydrochloride   
حقن   Haloperidol lactate 0,5 mg/ml
حقن   Metoclopramide hydrochloride 0,5 mg/ml
25°C
96 ساعة
لم يتم تحديد 2166
محقنة البولي بروبلين كلوريد الصوديوم 0.9% 10 mg/ml
حقن   Hydromorphone hydrochloride   
حقن   Famotidine 0,4 mg/ml
حقن   Metoclopramide hydrochloride 0,5 mg/ml
تحميلة   Ketoprofene   
25°C
96 ساعة
لم يتم تحديد 2166
محقنة البولي بروبلين كلوريد الصوديوم 0.9% 10 mg/ml
حقن   Hydromorphone hydrochloride   
حقن   Scopolamine hydrobromide 0,04 mg/ml
حقن   Famotidine 0,4 mg/ml
حقن   Haloperidol lactate 0,5 mg/ml
حقن   Dimenhydrinate 5 mg/ml
4°C
12 ساعة
لم يتم تحديد 2166
محقنة البولي بروبلين كلوريد الصوديوم 0.9% 10 mg/ml
حقن   Hydromorphone hydrochloride   
حقن   Famotidine 0,4 mg/ml
حقن   Midazolam hydrochloride 1 mg/ml
4°C
96 ساعة
لم يتم تحديد 2166
محقنة البولي بروبلين كلوريد الصوديوم 0.9% 10 mg/ml
حقن   Hydromorphone hydrochloride   
حقن   Famotidine 0,4 mg/ml
حقن   Metoclopramide hydrochloride 0,5 mg/ml
حقن   Ketorolac tromethamine 1,5 mg/ml
4°C
96 ساعة
لم يتم تحديد 2166
محقنة البولي بروبلين كلوريد الصوديوم 0.9% 0,02 & 0,04 mg/ml
حقن   Hydromorphone hydrochloride   
حقن   Bupivacaine hydrochloride 2,5 mg/ml
6°C
91 يوم
بعيدا عن الضوء 1931
A مستوى الأدلة
ولي إيزوبرين إلاستومر كلوريد الصوديوم 0.9% 0,08 mg/ml
حقن   Hydromorphone hydrochloride   
حقن   Fentanyl citrate 16 µg/ml
حقن   Nefopam 0,8 mg/ml
حقن   Ramosetron hydrochloride 12 µg/ml
24°C
4 يوم
بعيدا عن الضوء 4666
D مستوى الأدلة
ولي إيزوبرين إلاستومر كلوريد الصوديوم 0.9% 0,08 mg/ml
حقن   Hydromorphone hydrochloride   
حقن   Fentanyl citrate 16 µg/ml
حقن   Nefopam 0,8 mg/ml
حقن   Ondansetron hydrochloride 0,32 mg/ml
24°C
4 يوم
بعيدا عن الضوء 4666
D مستوى الأدلة
لم يتم تحديد كلوريد الصوديوم 0.9% 2 & 20 mg/ml
حقن   Hydromorphone hydrochloride   
حقن   Midazolam hydrochloride 0.1 & 0.5 mg/ml
23°C
23 يوم
بعيدا عن الضوء 345
A مستوى الأدلة
لم يتم تحديد كلوريد الصوديوم 0.9% 35 mg/ml
حقن   Hydromorphone hydrochloride   
حقن   Ziconotide acetate 25 µg/ml
37°C
19 يوم
بعيدا عن الضوء 2251
D مستوى الأدلة
لم يتم تحديد كلوريد الصوديوم 0.9% 50 mg/ml
حقن   Hydromorphone hydrochloride   
حقن   Bupivacaine hydrochloride 24 mg/ml
حقن   Clonidine hydrochloride 2 mg/ml
37°C
90 يوم
بعيدا عن الضوء 2305
لم يتم تحديد كلوريد الصوديوم 0.9% 2 & 20 mg/ml
حقن   Hydromorphone hydrochloride   
حقن   Midazolam hydrochloride 0.1 & 0.5 mg/ml
4°C
23 يوم
بعيدا عن الضوء 345
A مستوى الأدلة
لم يتم تحديد الجلوكوز %5 2 & 20 mg/ml
حقن   Hydromorphone hydrochloride   
حقن   Midazolam hydrochloride 0.1 & 0.5 mg/ml
23°C
23 يوم
بعيدا عن الضوء 345
A مستوى الأدلة
لم يتم تحديد الجلوكوز %5 2 & 20 mg/ml
حقن   Hydromorphone hydrochloride   
حقن   Midazolam hydrochloride 0.1 & 0.5 mg/ml
4°C
23 يوم
بعيدا عن الضوء 345
A مستوى الأدلة
لم يتم تحديد لا شيء 15 mg/ml
حقن   Hydromorphone hydrochloride   
حقن   Bupivacaine hydrochloride 10 mg/ml
37°C
90 يوم
بعيدا عن الضوء 4200
A مستوى الأدلة

  Mentions Légales