Seneste opdatering :
27/04/2026
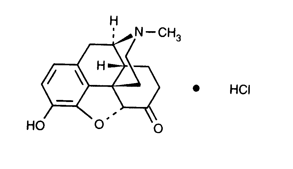
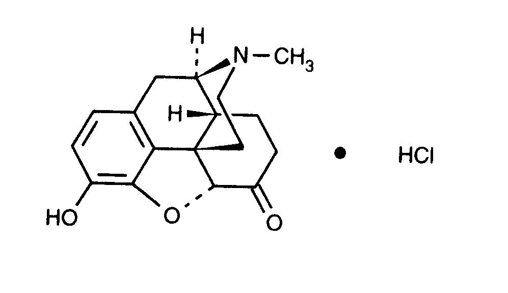
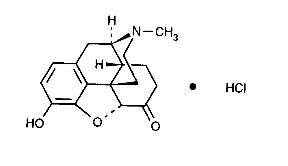
Analgetisk   Hydromorphone hydrochloride  
Injektion
Stabilitet i (vandige) opløsninger Stabilitet i blandinger Faktorer der påvirker stabiliteten Kompatibilitet Administrationsvej Bibliografi pdf
   Kemisk struktur  

Handelsnavn   Handelsnavn     

Handel navne er vejledende og hjælpestoffer sammensætning kan være forskellig afhængigt af landet og laboratorier

Dilaudid Canada, USA
Hydal Østrig
Palladon Danmark, Schweiz
Palladone Storbritanien
Stabilitet i blandinger   Injektion   Stabilitet i blandinger : Hydromorphone hydrochloride     
Beholder Opløsningsmiddel Koncentration Molekyle Temperatur Konservering Varighed af stabilitet Bibliografi
Glas 0,9 % Natriumklorid 0,25 mg/ml
Injektion   Hydromorphone hydrochloride   
Injektion   Granisetron hydrochloride 0,5 mg/ml
20°C-23°C
4 Time
Beskyt mod lys 57
Level af bevismateriale A+
Glas 0,9 % Natriumklorid 0,2 mg/ml
Injektion   Hydromorphone hydrochloride   
Injektion   Ketamine hydrochloride 0,2 >> 1 mg/ml
25°C
7 Dag
Beskyt mod lys 2336
Level af bevismateriale D
Glas 0,9 % Natriumklorid 0,05 mg/ml
Injektion   Hydromorphone hydrochloride   
Injektion   Morphine hydrochloride 0,25 mg/ml
25°C
15 Dag
Ikke nærmere angivet 4667
Level af bevismateriale D
Glas 0,9 % Natriumklorid 0,05 mg/ml
Injektion   Hydromorphone hydrochloride   
Injektion   Morphine hydrochloride 0,25 mg/ml
37°C
15 Dag
Ikke nærmere angivet 4667
Level af bevismateriale D
Glas 5 % Glukose 0,1 & 1 mg/ml
Injektion   Hydromorphone hydrochloride   
Injektion   Tacrolimus 5 & 20 µg/ml
23°C-25°C
4 Time
Lys 814
Level af bevismateriale A
Glas Ingen 2 & 10 & 40 mg/ml
Injektion   Hydromorphone hydrochloride   
Injektion   Dimenhydrinate 50 mg/ml
23°C
24 Time
Ikke nærmere angivet 1497
Level af bevismateriale B
Glas Ingen 0,25 mg/ml
Injektion   Hydromorphone hydrochloride   
Injektion   Palonosetron hydrochloride 25 µg/ml
25°C
4 Time
Lys 2196
Level af bevismateriale A+
Glas Ingen 2 & 10 & 40 mg/ml
Injektion   Hydromorphone hydrochloride   
Injektion   Dimenhydrinate 50 mg/ml
37°C
24 Time
Ikke nærmere angivet 1497
Level af bevismateriale B
Glas Ingen 2 & 10 & 40 mg/ml
Injektion   Hydromorphone hydrochloride   
Injektion   Dimenhydrinate 50 mg/ml
4°C
24 Time
Beskyt mod lys 1497
Level af bevismateriale B
Polyvinylklorid 0,9 % Natriumklorid 0,5 mg/ml
Injektion   Hydromorphone hydrochloride   
Injektion   Fluorouracil 1 & 16 mg/ml
-20°C
35 Dag
Beskyt mod lys 513
Level af bevismateriale A+
Polyvinylklorid 0,9 % Natriumklorid 20 mg/ml
Injektion   Hydromorphone hydrochloride   
Injektion   Esketamine 20 mg/ml
22°C
7 Dag
Ikke nærmere angivet 4664
Level af bevismateriale D
Polyvinylklorid 0,9 % Natriumklorid 0,5 mg/ml
Injektion   Hydromorphone hydrochloride   
Injektion   Ondansetron hydrochloride 0,1 & 1 mg/ml
22°C
31 Dag
Ikke nærmere angivet 6
Level af bevismateriale A+
Polyvinylklorid 0,9 % Natriumklorid 0,5 mg/ml
Injektion   Hydromorphone hydrochloride   
Injektion   Fluorouracil 16 mg/ml
23°C
7 Dag
Ikke nærmere angivet 513
Level af bevismateriale A+
Polyvinylklorid 0,9 % Natriumklorid 0,5 mg/ml
Injektion   Hydromorphone hydrochloride   
Injektion   Fluorouracil 1 mg/ml
23°C
35 Dag
Ikke nærmere angivet 513
Level af bevismateriale A+
Polyvinylklorid 0,9 % Natriumklorid 0,02 & 0,1 mg/ml
Injektion   Hydromorphone hydrochloride   
Injektion   Bupivacaine hydrochloride 0,62 & 1,2 mg/ml
23°C-25°C
72 Time
Lys 306
Level af bevismateriale A
Polyvinylklorid 0,9 % Natriumklorid 0,2 mg/ml
Injektion   Hydromorphone hydrochloride   
Injektion   Ketamine hydrochloride 0,2 >> 1 mg/ml
25°C
7 Dag
Beskyt mod lys 2336
Level af bevismateriale D
Polyvinylklorid 0,9 % Natriumklorid 0,05 mg/ml
Injektion   Hydromorphone hydrochloride   
Injektion   Morphine hydrochloride 0,25 mg/ml
25°C
15 Dag
Ikke nærmere angivet 4667
Level af bevismateriale D
Polyvinylklorid 0,9 % Natriumklorid 0.0015 mg/ml
Injektion   Hydromorphone hydrochloride   
Injektion   Bupivacaine hydrochloride 0.5 mg/ml
25°C
30 Dag
Ikke nærmere angivet 4746
Level af bevismateriale A
Polyvinylklorid 0,9 % Natriumklorid 0.03 mg/ml
Injektion   Hydromorphone hydrochloride   
Injektion   Bupivacaine hydrochloride 0.5 mg/ml
25°C
30 Dag
Ikke nærmere angivet 4746
Level af bevismateriale A
Polyvinylklorid 0,9 % Natriumklorid 0.03 mg/ml
Injektion   Hydromorphone hydrochloride   
Injektion   Bupivacaine hydrochloride 2.5 mg/ml
25°C
30 Dag
Ikke nærmere angivet 4746
Level af bevismateriale A
Polyvinylklorid 0,9 % Natriumklorid 0.0015 mg/ml
Injektion   Hydromorphone hydrochloride   
Injektion   Bupivacaine hydrochloride 2.5 mg/ml
25°C
30 Dag
Ikke nærmere angivet 4746
Level af bevismateriale A
Polyvinylklorid 0,9 % Natriumklorid 0,5 mg/ml
Injektion   Hydromorphone hydrochloride   
Injektion   Fluorouracil 16 mg/ml
32°C
3 Dag
Ikke nærmere angivet 513
Level af bevismateriale A+
Polyvinylklorid 0,9 % Natriumklorid 0,5 mg/ml
Injektion   Hydromorphone hydrochloride   
Injektion   Ondansetron hydrochloride 0,1 & 1 mg/ml
32°C
7 Dag
Ikke nærmere angivet 6
Level af bevismateriale A+
Polyvinylklorid 0,9 % Natriumklorid 0,5 mg/ml
Injektion   Hydromorphone hydrochloride   
Injektion   Fluorouracil 1 mg/ml
32°C
7 Dag
Ikke nærmere angivet 513
Level af bevismateriale A+
Polyvinylklorid 0,9 % Natriumklorid 20 mg/ml
Injektion   Hydromorphone hydrochloride   
Injektion   Esketamine 20 mg/ml
37°C
7 Dag
Ikke nærmere angivet 4664
Level af bevismateriale D
Polyvinylklorid 0,9 % Natriumklorid 0,05 mg/ml
Injektion   Hydromorphone hydrochloride   
Injektion   Morphine hydrochloride 0,25 mg/ml
37°C
15 Dag
Ikke nærmere angivet 4667
Level af bevismateriale D
Polyvinylklorid 0,9 % Natriumklorid 0,5 mg/ml
Injektion   Hydromorphone hydrochloride   
Injektion   Ondansetron hydrochloride 0,1 & 1 mg/ml
4°C
31 Dag
Beskyt mod lys 6
Level af bevismateriale A+
Polyvinylklorid 0,9 % Natriumklorid 0,5 mg/ml
Injektion   Hydromorphone hydrochloride   
Injektion   Fluorouracil 1 & 16 mg/ml
4°C
35 Dag
Beskyt mod lys 513
Level af bevismateriale A+
Polyvinylklorid 0,9 % Natriumklorid 0.0015 mg/ml
Injektion   Hydromorphone hydrochloride   
Injektion   Bupivacaine hydrochloride 0.5 mg/ml
4°C
30 Dag
Ikke nærmere angivet 4746
Level af bevismateriale A
Polyvinylklorid 0,9 % Natriumklorid 0.03 mg/ml
Injektion   Hydromorphone hydrochloride   
Injektion   Bupivacaine hydrochloride 0.5 mg/ml
4°C
30 Dag
Ikke nærmere angivet 4746
Level af bevismateriale A
Polyvinylklorid 0,9 % Natriumklorid 0.03 mg/ml
Injektion   Hydromorphone hydrochloride   
Injektion   Bupivacaine hydrochloride 2.5 mg/ml
4°C
30 Dag
Ikke nærmere angivet 4746
Level af bevismateriale A
Polyvinylklorid 0,9 % Natriumklorid 0.0015 mg/ml
Injektion   Hydromorphone hydrochloride   
Injektion   Bupivacaine hydrochloride 2.5 mg/ml
4°C
30 Dag
Ikke nærmere angivet 4746
Level af bevismateriale A
Polyvinylklorid 0,9 % Natriumklorid 0,5 mg/ml
Injektion   Hydromorphone hydrochloride   
Injektion   Ondansetron hydrochloride 0,1 & 1 mg/ml
4°C-22°C
31 Dag
Ikke nærmere angivet 6
Level af bevismateriale A+
Polyvinylklorid 0,9 % Natriumklorid 0,5 mg/ml
Injektion   Hydromorphone hydrochloride   
Injektion   Granisetron hydrochloride 0,056 mg/ml
4°C-22°C
31 Time
Ikke nærmere angivet 6
Level af bevismateriale A+
Polyvinylklorid 0,9 % Natriumklorid 0,5 mg/ml
Injektion   Hydromorphone hydrochloride   
Injektion   Granisetron hydrochloride 0,056 mg/ml
4°C-22°C
31 Time
Ikke nærmere angivet 6
Level af bevismateriale A+
Polyvinylklorid 5 % Glukose 0,5 mg/ml
Injektion   Hydromorphone hydrochloride   
Injektion   Fluorouracil 1 & 16 mg/ml
-20°C
35 Dag
Beskyt mod lys 513
Level af bevismateriale A+
Polyvinylklorid 5 % Glukose 0,5 mg/ml
Injektion   Hydromorphone hydrochloride   
Injektion   Fluorouracil 16 mg/ml
23°C
7 Dag
Ikke nærmere angivet 513
Level af bevismateriale A+
Polyvinylklorid 5 % Glukose 0,5 mg/ml
Injektion   Hydromorphone hydrochloride   
Injektion   Fluorouracil 1 mg/ml
23°C
35 Dag
Ikke nærmere angivet 513
Level af bevismateriale A+
Polyvinylklorid 5 % Glukose 0,5 mg/ml
Injektion   Hydromorphone hydrochloride   
Injektion   Fluorouracil 16 mg/ml
32°C
3 Dag
Ikke nærmere angivet 513
Level af bevismateriale A+
Polyvinylklorid 5 % Glukose 0,5 mg/ml
Injektion   Hydromorphone hydrochloride   
Injektion   Fluorouracil 1 mg/ml
32°C
7 Dag
Ikke nærmere angivet 513
Level af bevismateriale A+
Polyvinylklorid 5 % Glukose 0,5 mg/ml
Injektion   Hydromorphone hydrochloride   
Injektion   Fluorouracil 1 & 16 mg/ml
4°C
35 Dag
Beskyt mod lys 513
Level af bevismateriale A+
Polyethylen 0,9 % Natriumklorid 0,05 mg/ml
Injektion   Hydromorphone hydrochloride   
Injektion   Morphine hydrochloride 0,25 mg/ml
25°C
15 Dag
Ikke nærmere angivet 4667
Level af bevismateriale D
Polyethylen 0,9 % Natriumklorid 0,05 mg/ml
Injektion   Hydromorphone hydrochloride   
Injektion   Morphine hydrochloride 0,25 mg/ml
37°C
15 Dag
Ikke nærmere angivet 4667
Level af bevismateriale D
Polyolefin 0,9 % Natriumklorid 0.0015 mg/ml
Injektion   Hydromorphone hydrochloride   
Injektion   Bupivacaine hydrochloride 0.5 mg/ml
25°C
30 Dag
Ikke nærmere angivet 4746
Level af bevismateriale A
Polyolefin 0,9 % Natriumklorid 0.03 mg/ml
Injektion   Hydromorphone hydrochloride   
Injektion   Bupivacaine hydrochloride 0.5 mg/ml
25°C
30 Dag
Ikke nærmere angivet 4746
Level af bevismateriale A
Polyolefin 0,9 % Natriumklorid 0.03 mg/ml
Injektion   Hydromorphone hydrochloride   
Injektion   Bupivacaine hydrochloride 2.5 mg/ml
25°C
30 Dag
Ikke nærmere angivet 4746
Level af bevismateriale A
Polyolefin 0,9 % Natriumklorid 0.0015 mg/ml
Injektion   Hydromorphone hydrochloride   
Injektion   Bupivacaine hydrochloride 2.5 mg/ml
25°C
30 Dag
Ikke nærmere angivet 4746
Level af bevismateriale A
Polyolefin 0,9 % Natriumklorid 0.0015 mg/ml
Injektion   Hydromorphone hydrochloride   
Injektion   Bupivacaine hydrochloride 0.5 mg/ml
4°C
30 Dag
Ikke nærmere angivet 4746
Level af bevismateriale A
Polyolefin 0,9 % Natriumklorid 0.03 mg/ml
Injektion   Hydromorphone hydrochloride   
Injektion   Bupivacaine hydrochloride 0.5 mg/ml
4°C
30 Dag
Ikke nærmere angivet 4746
Level af bevismateriale A
Polyolefin 0,9 % Natriumklorid 0.03 mg/ml
Injektion   Hydromorphone hydrochloride   
Injektion   Bupivacaine hydrochloride 2.5 mg/ml
4°C
30 Dag
Ikke nærmere angivet 4746
Level af bevismateriale A
Polyolefin 0,9 % Natriumklorid 0.0015 mg/ml
Injektion   Hydromorphone hydrochloride   
Injektion   Bupivacaine hydrochloride 2.5 mg/ml
4°C
30 Dag
Ikke nærmere angivet 4746
Level af bevismateriale A
sprøjte polypropylen 0,9 % Natriumklorid 0,02 & 0,04 mg/ml
Injektion   Hydromorphone hydrochloride   
Injektion   Bupivacaine hydrochloride 2,5 mg/ml
22°C
91 Dag
Lys 1931
Level af bevismateriale A
sprøjte polypropylen 0,9 % Natriumklorid 0,2 mg/ml
Injektion   Hydromorphone hydrochloride   
Injektion   Ketamine hydrochloride 0,2 >> 1 mg/ml
25°C
7 Dag
Beskyt mod lys 2336
Level af bevismateriale D
sprøjte polypropylen 0,9 % Natriumklorid 10 mg/ml
Injektion   Hydromorphone hydrochloride   
Injektion   Scopolamine hydrobromide 0,04 mg/ml
Injektion   Famotidine 0,4 mg/ml
Injektion   Haloperidol lactate 0,5 mg/ml
Injektion   Dimenhydrinate 5 mg/ml
25°C
12 Time
Ikke nærmere angivet 2166
sprøjte polypropylen 0,9 % Natriumklorid 10 mg/ml
Injektion   Hydromorphone hydrochloride   
Injektion   Famotidine 0,4 mg/ml
Injektion   Midazolam hydrochloride 1 mg/ml
25°C
96 Time
Ikke nærmere angivet 2166
sprøjte polypropylen 0,9 % Natriumklorid 10 mg/ml
Injektion   Hydromorphone hydrochloride   
Injektion   Haloperidol lactate 0,5 mg/ml
Injektion   Metoclopramide hydrochloride 0,5 mg/ml
25°C
96 Time
Ikke nærmere angivet 2166
sprøjte polypropylen 0,9 % Natriumklorid 10 mg/ml
Injektion   Hydromorphone hydrochloride   
Injektion   Famotidine 0,4 mg/ml
Injektion   Metoclopramide hydrochloride 0,5 mg/ml
Stikpille   Ketoprofene   
25°C
96 Time
Ikke nærmere angivet 2166
sprøjte polypropylen 0,9 % Natriumklorid 10 mg/ml
Injektion   Hydromorphone hydrochloride   
Injektion   Scopolamine hydrobromide 0,04 mg/ml
Injektion   Famotidine 0,4 mg/ml
Injektion   Haloperidol lactate 0,5 mg/ml
Injektion   Dimenhydrinate 5 mg/ml
4°C
12 Time
Ikke nærmere angivet 2166
sprøjte polypropylen 0,9 % Natriumklorid 10 mg/ml
Injektion   Hydromorphone hydrochloride   
Injektion   Famotidine 0,4 mg/ml
Injektion   Midazolam hydrochloride 1 mg/ml
4°C
96 Time
Ikke nærmere angivet 2166
sprøjte polypropylen 0,9 % Natriumklorid 10 mg/ml
Injektion   Hydromorphone hydrochloride   
Injektion   Famotidine 0,4 mg/ml
Injektion   Metoclopramide hydrochloride 0,5 mg/ml
Injektion   Ketorolac tromethamine 1,5 mg/ml
4°C
96 Time
Ikke nærmere angivet 2166
sprøjte polypropylen 0,9 % Natriumklorid 0,02 & 0,04 mg/ml
Injektion   Hydromorphone hydrochloride   
Injektion   Bupivacaine hydrochloride 2,5 mg/ml
6°C
91 Dag
Beskyt mod lys 1931
Level af bevismateriale A
Polyisopren elastomer 0,9 % Natriumklorid 0,08 mg/ml
Injektion   Hydromorphone hydrochloride   
Injektion   Fentanyl citrate 16 µg/ml
Injektion   Nefopam 0,8 mg/ml
Injektion   Ramosetron hydrochloride 12 µg/ml
24°C
4 Dag
Beskyt mod lys 4666
Level af bevismateriale D
Polyisopren elastomer 0,9 % Natriumklorid 0,08 mg/ml
Injektion   Hydromorphone hydrochloride   
Injektion   Fentanyl citrate 16 µg/ml
Injektion   Nefopam 0,8 mg/ml
Injektion   Ondansetron hydrochloride 0,32 mg/ml
24°C
4 Dag
Beskyt mod lys 4666
Level af bevismateriale D
Ikke angivet nærmere 0,9 % Natriumklorid 2 & 20 mg/ml
Injektion   Hydromorphone hydrochloride   
Injektion   Midazolam hydrochloride 0.1 & 0.5 mg/ml
23°C
23 Dag
Beskyt mod lys 345
Level af bevismateriale A
Ikke angivet nærmere 0,9 % Natriumklorid 35 mg/ml
Injektion   Hydromorphone hydrochloride   
Injektion   Ziconotide acetate 25 µg/ml
37°C
19 Dag
Beskyt mod lys 2251
Level af bevismateriale D
Ikke angivet nærmere 0,9 % Natriumklorid 50 mg/ml
Injektion   Hydromorphone hydrochloride   
Injektion   Bupivacaine hydrochloride 24 mg/ml
Injektion   Clonidine hydrochloride 2 mg/ml
37°C
90 Dag
Beskyt mod lys 2305
Ikke angivet nærmere 0,9 % Natriumklorid 2 & 20 mg/ml
Injektion   Hydromorphone hydrochloride   
Injektion   Midazolam hydrochloride 0.1 & 0.5 mg/ml
4°C
23 Dag
Beskyt mod lys 345
Level af bevismateriale A
Ikke angivet nærmere 5 % Glukose 2 & 20 mg/ml
Injektion   Hydromorphone hydrochloride   
Injektion   Midazolam hydrochloride 0.1 & 0.5 mg/ml
23°C
23 Dag
Beskyt mod lys 345
Level af bevismateriale A
Ikke angivet nærmere 5 % Glukose 2 & 20 mg/ml
Injektion   Hydromorphone hydrochloride   
Injektion   Midazolam hydrochloride 0.1 & 0.5 mg/ml
4°C
23 Dag
Beskyt mod lys 345
Level af bevismateriale A
Ikke angivet nærmere Ingen 15 mg/ml
Injektion   Hydromorphone hydrochloride   
Injektion   Bupivacaine hydrochloride 10 mg/ml
37°C
90 Dag
Beskyt mod lys 4200
Level af bevismateriale A

  Mentions Légales