Τελευταία ενημέρωση :
27/04/2026
Αναλγητικό   Hydromorphone hydrochloride  
Ενέσιμο
Σταθερότητα διαλυμάτων Σταθερότητα σε μίγματα Παράγοντας που επηρεάζει τη σταθερότητα Συμβατότητες Τρόπος χορήγησης Βιβλιογραφία pdf
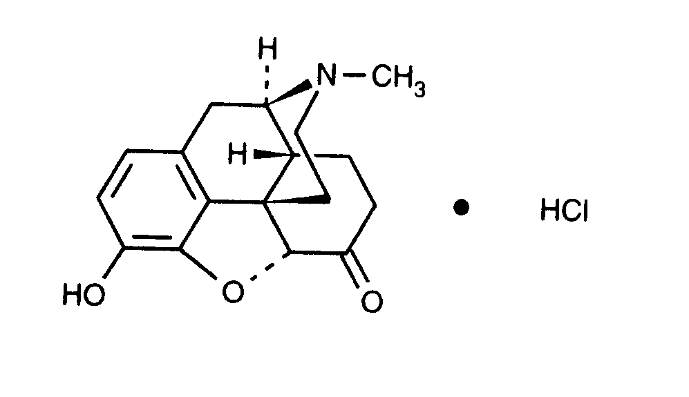
   χημική δομή  

Εμπορική ονομασία   Εμπορική ονομασία     

Οι εμπορικές ονομασίες είναι ενδεικτικές και η σύνθεση των εκδόχων μπορεί να διαφέρει ανάλογα με τη χώρα και τα εργαστήρια

Dilaudid Η.Π.Α., Καναδάς
Hydal Αυστρία
Palladon Δανία, Ελβετία
Palladone Μεγάλη Βρετανία
Σταθερότητα σε μίγματα   Ενέσιμο   Σταθερότητα σε μίγματα : Hydromorphone hydrochloride     
Υποδοχέας Διαλυτικό Συγκέντρωση Συστατικό Θερμοκρασία Αποθήκευση Διάρκεια σταθερότητας Βιβλιογραφία
Ύαλος Χλωριούχο νάτριο 0,9% 0,25 mg/ml
Ενέσιμο   Hydromorphone hydrochloride   
Ενέσιμο   Granisetron hydrochloride 0,5 mg/ml
20°C-23°C
4 Ώρα
Προστατεύετε από το φως 57
Επίπεδο των αποδεικτικών στοιχείων A+
Ύαλος Χλωριούχο νάτριο 0,9% 0,2 mg/ml
Ενέσιμο   Hydromorphone hydrochloride   
Ενέσιμο   Ketamine hydrochloride 0,2 >> 1 mg/ml
25°C
7 Ημέρα
Προστατεύετε από το φως 2336
Επίπεδο των αποδεικτικών στοιχείων D
Ύαλος Χλωριούχο νάτριο 0,9% 0,05 mg/ml
Ενέσιμο   Hydromorphone hydrochloride   
Ενέσιμο   Morphine hydrochloride 0,25 mg/ml
25°C
15 Ημέρα
Απροσδιόριστο 4667
Επίπεδο των αποδεικτικών στοιχείων D
Ύαλος Χλωριούχο νάτριο 0,9% 0,05 mg/ml
Ενέσιμο   Hydromorphone hydrochloride   
Ενέσιμο   Morphine hydrochloride 0,25 mg/ml
37°C
15 Ημέρα
Απροσδιόριστο 4667
Επίπεδο των αποδεικτικών στοιχείων D
Ύαλος Γλυκόζη 5% 0,1 & 1 mg/ml
Ενέσιμο   Hydromorphone hydrochloride   
Ενέσιμο   Tacrolimus 5 & 20 µg/ml
23°C-25°C
4 Ώρα
Φως 814
Επίπεδο των αποδεικτικών στοιχείων A
Ύαλος Ουδέν 2 & 10 & 40 mg/ml
Ενέσιμο   Hydromorphone hydrochloride   
Ενέσιμο   Dimenhydrinate 50 mg/ml
23°C
24 Ώρα
Απροσδιόριστο 1497
Επίπεδο των αποδεικτικών στοιχείων B
Ύαλος Ουδέν 0,25 mg/ml
Ενέσιμο   Hydromorphone hydrochloride   
Ενέσιμο   Palonosetron hydrochloride 25 µg/ml
25°C
4 Ώρα
Φως 2196
Επίπεδο των αποδεικτικών στοιχείων A+
Ύαλος Ουδέν 2 & 10 & 40 mg/ml
Ενέσιμο   Hydromorphone hydrochloride   
Ενέσιμο   Dimenhydrinate 50 mg/ml
37°C
24 Ώρα
Απροσδιόριστο 1497
Επίπεδο των αποδεικτικών στοιχείων B
Ύαλος Ουδέν 2 & 10 & 40 mg/ml
Ενέσιμο   Hydromorphone hydrochloride   
Ενέσιμο   Dimenhydrinate 50 mg/ml
4°C
24 Ώρα
Προστατεύετε από το φως 1497
Επίπεδο των αποδεικτικών στοιχείων B
Πολυβινυλοχλωρίδιο Χλωριούχο νάτριο 0,9% 0,5 mg/ml
Ενέσιμο   Hydromorphone hydrochloride   
Ενέσιμο   Fluorouracil 1 & 16 mg/ml
-20°C
35 Ημέρα
Προστατεύετε από το φως 513
Επίπεδο των αποδεικτικών στοιχείων A+
Πολυβινυλοχλωρίδιο Χλωριούχο νάτριο 0,9% 20 mg/ml
Ενέσιμο   Hydromorphone hydrochloride   
Ενέσιμο   Esketamine 20 mg/ml
22°C
7 Ημέρα
Απροσδιόριστο 4664
Επίπεδο των αποδεικτικών στοιχείων D
Πολυβινυλοχλωρίδιο Χλωριούχο νάτριο 0,9% 0,5 mg/ml
Ενέσιμο   Hydromorphone hydrochloride   
Ενέσιμο   Ondansetron hydrochloride 0,1 & 1 mg/ml
22°C
31 Ημέρα
Απροσδιόριστο 6
Επίπεδο των αποδεικτικών στοιχείων A+
Πολυβινυλοχλωρίδιο Χλωριούχο νάτριο 0,9% 0,5 mg/ml
Ενέσιμο   Hydromorphone hydrochloride   
Ενέσιμο   Fluorouracil 16 mg/ml
23°C
7 Ημέρα
Απροσδιόριστο 513
Επίπεδο των αποδεικτικών στοιχείων A+
Πολυβινυλοχλωρίδιο Χλωριούχο νάτριο 0,9% 0,5 mg/ml
Ενέσιμο   Hydromorphone hydrochloride   
Ενέσιμο   Fluorouracil 1 mg/ml
23°C
35 Ημέρα
Απροσδιόριστο 513
Επίπεδο των αποδεικτικών στοιχείων A+
Πολυβινυλοχλωρίδιο Χλωριούχο νάτριο 0,9% 0,02 & 0,1 mg/ml
Ενέσιμο   Hydromorphone hydrochloride   
Ενέσιμο   Bupivacaine hydrochloride 0,62 & 1,2 mg/ml
23°C-25°C
72 Ώρα
Φως 306
Επίπεδο των αποδεικτικών στοιχείων A
Πολυβινυλοχλωρίδιο Χλωριούχο νάτριο 0,9% 0,2 mg/ml
Ενέσιμο   Hydromorphone hydrochloride   
Ενέσιμο   Ketamine hydrochloride 0,2 >> 1 mg/ml
25°C
7 Ημέρα
Προστατεύετε από το φως 2336
Επίπεδο των αποδεικτικών στοιχείων D
Πολυβινυλοχλωρίδιο Χλωριούχο νάτριο 0,9% 0,05 mg/ml
Ενέσιμο   Hydromorphone hydrochloride   
Ενέσιμο   Morphine hydrochloride 0,25 mg/ml
25°C
15 Ημέρα
Απροσδιόριστο 4667
Επίπεδο των αποδεικτικών στοιχείων D
Πολυβινυλοχλωρίδιο Χλωριούχο νάτριο 0,9% 0.0015 mg/ml
Ενέσιμο   Hydromorphone hydrochloride   
Ενέσιμο   Bupivacaine hydrochloride 0.5 mg/ml
25°C
30 Ημέρα
Απροσδιόριστο 4746
Επίπεδο των αποδεικτικών στοιχείων A
Πολυβινυλοχλωρίδιο Χλωριούχο νάτριο 0,9% 0.03 mg/ml
Ενέσιμο   Hydromorphone hydrochloride   
Ενέσιμο   Bupivacaine hydrochloride 0.5 mg/ml
25°C
30 Ημέρα
Απροσδιόριστο 4746
Επίπεδο των αποδεικτικών στοιχείων A
Πολυβινυλοχλωρίδιο Χλωριούχο νάτριο 0,9% 0.03 mg/ml
Ενέσιμο   Hydromorphone hydrochloride   
Ενέσιμο   Bupivacaine hydrochloride 2.5 mg/ml
25°C
30 Ημέρα
Απροσδιόριστο 4746
Επίπεδο των αποδεικτικών στοιχείων A
Πολυβινυλοχλωρίδιο Χλωριούχο νάτριο 0,9% 0.0015 mg/ml
Ενέσιμο   Hydromorphone hydrochloride   
Ενέσιμο   Bupivacaine hydrochloride 2.5 mg/ml
25°C
30 Ημέρα
Απροσδιόριστο 4746
Επίπεδο των αποδεικτικών στοιχείων A
Πολυβινυλοχλωρίδιο Χλωριούχο νάτριο 0,9% 0,5 mg/ml
Ενέσιμο   Hydromorphone hydrochloride   
Ενέσιμο   Fluorouracil 16 mg/ml
32°C
3 Ημέρα
Απροσδιόριστο 513
Επίπεδο των αποδεικτικών στοιχείων A+
Πολυβινυλοχλωρίδιο Χλωριούχο νάτριο 0,9% 0,5 mg/ml
Ενέσιμο   Hydromorphone hydrochloride   
Ενέσιμο   Ondansetron hydrochloride 0,1 & 1 mg/ml
32°C
7 Ημέρα
Απροσδιόριστο 6
Επίπεδο των αποδεικτικών στοιχείων A+
Πολυβινυλοχλωρίδιο Χλωριούχο νάτριο 0,9% 0,5 mg/ml
Ενέσιμο   Hydromorphone hydrochloride   
Ενέσιμο   Fluorouracil 1 mg/ml
32°C
7 Ημέρα
Απροσδιόριστο 513
Επίπεδο των αποδεικτικών στοιχείων A+
Πολυβινυλοχλωρίδιο Χλωριούχο νάτριο 0,9% 20 mg/ml
Ενέσιμο   Hydromorphone hydrochloride   
Ενέσιμο   Esketamine 20 mg/ml
37°C
7 Ημέρα
Απροσδιόριστο 4664
Επίπεδο των αποδεικτικών στοιχείων D
Πολυβινυλοχλωρίδιο Χλωριούχο νάτριο 0,9% 0,05 mg/ml
Ενέσιμο   Hydromorphone hydrochloride   
Ενέσιμο   Morphine hydrochloride 0,25 mg/ml
37°C
15 Ημέρα
Απροσδιόριστο 4667
Επίπεδο των αποδεικτικών στοιχείων D
Πολυβινυλοχλωρίδιο Χλωριούχο νάτριο 0,9% 0,5 mg/ml
Ενέσιμο   Hydromorphone hydrochloride   
Ενέσιμο   Ondansetron hydrochloride 0,1 & 1 mg/ml
4°C
31 Ημέρα
Προστατεύετε από το φως 6
Επίπεδο των αποδεικτικών στοιχείων A+
Πολυβινυλοχλωρίδιο Χλωριούχο νάτριο 0,9% 0,5 mg/ml
Ενέσιμο   Hydromorphone hydrochloride   
Ενέσιμο   Fluorouracil 1 & 16 mg/ml
4°C
35 Ημέρα
Προστατεύετε από το φως 513
Επίπεδο των αποδεικτικών στοιχείων A+
Πολυβινυλοχλωρίδιο Χλωριούχο νάτριο 0,9% 0.0015 mg/ml
Ενέσιμο   Hydromorphone hydrochloride   
Ενέσιμο   Bupivacaine hydrochloride 0.5 mg/ml
4°C
30 Ημέρα
Απροσδιόριστο 4746
Επίπεδο των αποδεικτικών στοιχείων A
Πολυβινυλοχλωρίδιο Χλωριούχο νάτριο 0,9% 0.03 mg/ml
Ενέσιμο   Hydromorphone hydrochloride   
Ενέσιμο   Bupivacaine hydrochloride 0.5 mg/ml
4°C
30 Ημέρα
Απροσδιόριστο 4746
Επίπεδο των αποδεικτικών στοιχείων A
Πολυβινυλοχλωρίδιο Χλωριούχο νάτριο 0,9% 0.03 mg/ml
Ενέσιμο   Hydromorphone hydrochloride   
Ενέσιμο   Bupivacaine hydrochloride 2.5 mg/ml
4°C
30 Ημέρα
Απροσδιόριστο 4746
Επίπεδο των αποδεικτικών στοιχείων A
Πολυβινυλοχλωρίδιο Χλωριούχο νάτριο 0,9% 0.0015 mg/ml
Ενέσιμο   Hydromorphone hydrochloride   
Ενέσιμο   Bupivacaine hydrochloride 2.5 mg/ml
4°C
30 Ημέρα
Απροσδιόριστο 4746
Επίπεδο των αποδεικτικών στοιχείων A
Πολυβινυλοχλωρίδιο Χλωριούχο νάτριο 0,9% 0,5 mg/ml
Ενέσιμο   Hydromorphone hydrochloride   
Ενέσιμο   Ondansetron hydrochloride 0,1 & 1 mg/ml
4°C-22°C
31 Ημέρα
Απροσδιόριστο 6
Επίπεδο των αποδεικτικών στοιχείων A+
Πολυβινυλοχλωρίδιο Χλωριούχο νάτριο 0,9% 0,5 mg/ml
Ενέσιμο   Hydromorphone hydrochloride   
Ενέσιμο   Granisetron hydrochloride 0,056 mg/ml
4°C-22°C
31 Ώρα
Απροσδιόριστο 6
Επίπεδο των αποδεικτικών στοιχείων A+
Πολυβινυλοχλωρίδιο Χλωριούχο νάτριο 0,9% 0,5 mg/ml
Ενέσιμο   Hydromorphone hydrochloride   
Ενέσιμο   Granisetron hydrochloride 0,056 mg/ml
4°C-22°C
31 Ώρα
Απροσδιόριστο 6
Επίπεδο των αποδεικτικών στοιχείων A+
Πολυβινυλοχλωρίδιο Γλυκόζη 5% 0,5 mg/ml
Ενέσιμο   Hydromorphone hydrochloride   
Ενέσιμο   Fluorouracil 1 & 16 mg/ml
-20°C
35 Ημέρα
Προστατεύετε από το φως 513
Επίπεδο των αποδεικτικών στοιχείων A+
Πολυβινυλοχλωρίδιο Γλυκόζη 5% 0,5 mg/ml
Ενέσιμο   Hydromorphone hydrochloride   
Ενέσιμο   Fluorouracil 16 mg/ml
23°C
7 Ημέρα
Απροσδιόριστο 513
Επίπεδο των αποδεικτικών στοιχείων A+
Πολυβινυλοχλωρίδιο Γλυκόζη 5% 0,5 mg/ml
Ενέσιμο   Hydromorphone hydrochloride   
Ενέσιμο   Fluorouracil 1 mg/ml
23°C
35 Ημέρα
Απροσδιόριστο 513
Επίπεδο των αποδεικτικών στοιχείων A+
Πολυβινυλοχλωρίδιο Γλυκόζη 5% 0,5 mg/ml
Ενέσιμο   Hydromorphone hydrochloride   
Ενέσιμο   Fluorouracil 16 mg/ml
32°C
3 Ημέρα
Απροσδιόριστο 513
Επίπεδο των αποδεικτικών στοιχείων A+
Πολυβινυλοχλωρίδιο Γλυκόζη 5% 0,5 mg/ml
Ενέσιμο   Hydromorphone hydrochloride   
Ενέσιμο   Fluorouracil 1 mg/ml
32°C
7 Ημέρα
Απροσδιόριστο 513
Επίπεδο των αποδεικτικών στοιχείων A+
Πολυβινυλοχλωρίδιο Γλυκόζη 5% 0,5 mg/ml
Ενέσιμο   Hydromorphone hydrochloride   
Ενέσιμο   Fluorouracil 1 & 16 mg/ml
4°C
35 Ημέρα
Προστατεύετε από το φως 513
Επίπεδο των αποδεικτικών στοιχείων A+
Πολυαιθυλένιο Χλωριούχο νάτριο 0,9% 0,05 mg/ml
Ενέσιμο   Hydromorphone hydrochloride   
Ενέσιμο   Morphine hydrochloride 0,25 mg/ml
25°C
15 Ημέρα
Απροσδιόριστο 4667
Επίπεδο των αποδεικτικών στοιχείων D
Πολυαιθυλένιο Χλωριούχο νάτριο 0,9% 0,05 mg/ml
Ενέσιμο   Hydromorphone hydrochloride   
Ενέσιμο   Morphine hydrochloride 0,25 mg/ml
37°C
15 Ημέρα
Απροσδιόριστο 4667
Επίπεδο των αποδεικτικών στοιχείων D
Πολυολεφίνη Χλωριούχο νάτριο 0,9% 0.0015 mg/ml
Ενέσιμο   Hydromorphone hydrochloride   
Ενέσιμο   Bupivacaine hydrochloride 0.5 mg/ml
25°C
30 Ημέρα
Απροσδιόριστο 4746
Επίπεδο των αποδεικτικών στοιχείων A
Πολυολεφίνη Χλωριούχο νάτριο 0,9% 0.03 mg/ml
Ενέσιμο   Hydromorphone hydrochloride   
Ενέσιμο   Bupivacaine hydrochloride 0.5 mg/ml
25°C
30 Ημέρα
Απροσδιόριστο 4746
Επίπεδο των αποδεικτικών στοιχείων A
Πολυολεφίνη Χλωριούχο νάτριο 0,9% 0.03 mg/ml
Ενέσιμο   Hydromorphone hydrochloride   
Ενέσιμο   Bupivacaine hydrochloride 2.5 mg/ml
25°C
30 Ημέρα
Απροσδιόριστο 4746
Επίπεδο των αποδεικτικών στοιχείων A
Πολυολεφίνη Χλωριούχο νάτριο 0,9% 0.0015 mg/ml
Ενέσιμο   Hydromorphone hydrochloride   
Ενέσιμο   Bupivacaine hydrochloride 2.5 mg/ml
25°C
30 Ημέρα
Απροσδιόριστο 4746
Επίπεδο των αποδεικτικών στοιχείων A
Πολυολεφίνη Χλωριούχο νάτριο 0,9% 0.0015 mg/ml
Ενέσιμο   Hydromorphone hydrochloride   
Ενέσιμο   Bupivacaine hydrochloride 0.5 mg/ml
4°C
30 Ημέρα
Απροσδιόριστο 4746
Επίπεδο των αποδεικτικών στοιχείων A
Πολυολεφίνη Χλωριούχο νάτριο 0,9% 0.03 mg/ml
Ενέσιμο   Hydromorphone hydrochloride   
Ενέσιμο   Bupivacaine hydrochloride 0.5 mg/ml
4°C
30 Ημέρα
Απροσδιόριστο 4746
Επίπεδο των αποδεικτικών στοιχείων A
Πολυολεφίνη Χλωριούχο νάτριο 0,9% 0.03 mg/ml
Ενέσιμο   Hydromorphone hydrochloride   
Ενέσιμο   Bupivacaine hydrochloride 2.5 mg/ml
4°C
30 Ημέρα
Απροσδιόριστο 4746
Επίπεδο των αποδεικτικών στοιχείων A
Πολυολεφίνη Χλωριούχο νάτριο 0,9% 0.0015 mg/ml
Ενέσιμο   Hydromorphone hydrochloride   
Ενέσιμο   Bupivacaine hydrochloride 2.5 mg/ml
4°C
30 Ημέρα
Απροσδιόριστο 4746
Επίπεδο των αποδεικτικών στοιχείων A
σύριγγα πολυπροπυλένιο Χλωριούχο νάτριο 0,9% 0,02 & 0,04 mg/ml
Ενέσιμο   Hydromorphone hydrochloride   
Ενέσιμο   Bupivacaine hydrochloride 2,5 mg/ml
22°C
91 Ημέρα
Φως 1931
Επίπεδο των αποδεικτικών στοιχείων A
σύριγγα πολυπροπυλένιο Χλωριούχο νάτριο 0,9% 0,2 mg/ml
Ενέσιμο   Hydromorphone hydrochloride   
Ενέσιμο   Ketamine hydrochloride 0,2 >> 1 mg/ml
25°C
7 Ημέρα
Προστατεύετε από το φως 2336
Επίπεδο των αποδεικτικών στοιχείων D
σύριγγα πολυπροπυλένιο Χλωριούχο νάτριο 0,9% 10 mg/ml
Ενέσιμο   Hydromorphone hydrochloride   
Ενέσιμο   Scopolamine hydrobromide 0,04 mg/ml
Ενέσιμο   Famotidine 0,4 mg/ml
Ενέσιμο   Haloperidol lactate 0,5 mg/ml
Ενέσιμο   Dimenhydrinate 5 mg/ml
25°C
12 Ώρα
Απροσδιόριστο 2166
σύριγγα πολυπροπυλένιο Χλωριούχο νάτριο 0,9% 10 mg/ml
Ενέσιμο   Hydromorphone hydrochloride   
Ενέσιμο   Famotidine 0,4 mg/ml
Ενέσιμο   Midazolam hydrochloride 1 mg/ml
25°C
96 Ώρα
Απροσδιόριστο 2166
σύριγγα πολυπροπυλένιο Χλωριούχο νάτριο 0,9% 10 mg/ml
Ενέσιμο   Hydromorphone hydrochloride   
Ενέσιμο   Haloperidol lactate 0,5 mg/ml
Ενέσιμο   Metoclopramide hydrochloride 0,5 mg/ml
25°C
96 Ώρα
Απροσδιόριστο 2166
σύριγγα πολυπροπυλένιο Χλωριούχο νάτριο 0,9% 10 mg/ml
Ενέσιμο   Hydromorphone hydrochloride   
Ενέσιμο   Famotidine 0,4 mg/ml
Ενέσιμο   Metoclopramide hydrochloride 0,5 mg/ml
Υπόθετο   Ketoprofene   
25°C
96 Ώρα
Απροσδιόριστο 2166
σύριγγα πολυπροπυλένιο Χλωριούχο νάτριο 0,9% 10 mg/ml
Ενέσιμο   Hydromorphone hydrochloride   
Ενέσιμο   Scopolamine hydrobromide 0,04 mg/ml
Ενέσιμο   Famotidine 0,4 mg/ml
Ενέσιμο   Haloperidol lactate 0,5 mg/ml
Ενέσιμο   Dimenhydrinate 5 mg/ml
4°C
12 Ώρα
Απροσδιόριστο 2166
σύριγγα πολυπροπυλένιο Χλωριούχο νάτριο 0,9% 10 mg/ml
Ενέσιμο   Hydromorphone hydrochloride   
Ενέσιμο   Famotidine 0,4 mg/ml
Ενέσιμο   Midazolam hydrochloride 1 mg/ml
4°C
96 Ώρα
Απροσδιόριστο 2166
σύριγγα πολυπροπυλένιο Χλωριούχο νάτριο 0,9% 10 mg/ml
Ενέσιμο   Hydromorphone hydrochloride   
Ενέσιμο   Famotidine 0,4 mg/ml
Ενέσιμο   Metoclopramide hydrochloride 0,5 mg/ml
Ενέσιμο   Ketorolac tromethamine 1,5 mg/ml
4°C
96 Ώρα
Απροσδιόριστο 2166
σύριγγα πολυπροπυλένιο Χλωριούχο νάτριο 0,9% 0,02 & 0,04 mg/ml
Ενέσιμο   Hydromorphone hydrochloride   
Ενέσιμο   Bupivacaine hydrochloride 2,5 mg/ml
6°C
91 Ημέρα
Προστατεύετε από το φως 1931
Επίπεδο των αποδεικτικών στοιχείων A
Ελαστομερές πολυισοπρένιο Χλωριούχο νάτριο 0,9% 0,08 mg/ml
Ενέσιμο   Hydromorphone hydrochloride   
Ενέσιμο   Fentanyl citrate 16 µg/ml
Ενέσιμο   Nefopam 0,8 mg/ml
Ενέσιμο   Ramosetron hydrochloride 12 µg/ml
24°C
4 Ημέρα
Προστατεύετε από το φως 4666
Επίπεδο των αποδεικτικών στοιχείων D
Ελαστομερές πολυισοπρένιο Χλωριούχο νάτριο 0,9% 0,08 mg/ml
Ενέσιμο   Hydromorphone hydrochloride   
Ενέσιμο   Fentanyl citrate 16 µg/ml
Ενέσιμο   Nefopam 0,8 mg/ml
Ενέσιμο   Ondansetron hydrochloride 0,32 mg/ml
24°C
4 Ημέρα
Προστατεύετε από το φως 4666
Επίπεδο των αποδεικτικών στοιχείων D
Απροσδιόριστο Χλωριούχο νάτριο 0,9% 2 & 20 mg/ml
Ενέσιμο   Hydromorphone hydrochloride   
Ενέσιμο   Midazolam hydrochloride 0.1 & 0.5 mg/ml
23°C
23 Ημέρα
Προστατεύετε από το φως 345
Επίπεδο των αποδεικτικών στοιχείων A
Απροσδιόριστο Χλωριούχο νάτριο 0,9% 35 mg/ml
Ενέσιμο   Hydromorphone hydrochloride   
Ενέσιμο   Ziconotide acetate 25 µg/ml
37°C
19 Ημέρα
Προστατεύετε από το φως 2251
Επίπεδο των αποδεικτικών στοιχείων D
Απροσδιόριστο Χλωριούχο νάτριο 0,9% 50 mg/ml
Ενέσιμο   Hydromorphone hydrochloride   
Ενέσιμο   Bupivacaine hydrochloride 24 mg/ml
Ενέσιμο   Clonidine hydrochloride 2 mg/ml
37°C
90 Ημέρα
Προστατεύετε από το φως 2305
Απροσδιόριστο Χλωριούχο νάτριο 0,9% 2 & 20 mg/ml
Ενέσιμο   Hydromorphone hydrochloride   
Ενέσιμο   Midazolam hydrochloride 0.1 & 0.5 mg/ml
4°C
23 Ημέρα
Προστατεύετε από το φως 345
Επίπεδο των αποδεικτικών στοιχείων A
Απροσδιόριστο Γλυκόζη 5% 2 & 20 mg/ml
Ενέσιμο   Hydromorphone hydrochloride   
Ενέσιμο   Midazolam hydrochloride 0.1 & 0.5 mg/ml
23°C
23 Ημέρα
Προστατεύετε από το φως 345
Επίπεδο των αποδεικτικών στοιχείων A
Απροσδιόριστο Γλυκόζη 5% 2 & 20 mg/ml
Ενέσιμο   Hydromorphone hydrochloride   
Ενέσιμο   Midazolam hydrochloride 0.1 & 0.5 mg/ml
4°C
23 Ημέρα
Προστατεύετε από το φως 345
Επίπεδο των αποδεικτικών στοιχείων A
Απροσδιόριστο Ουδέν 15 mg/ml
Ενέσιμο   Hydromorphone hydrochloride   
Ενέσιμο   Bupivacaine hydrochloride 10 mg/ml
37°C
90 Ημέρα
Προστατεύετε από το φως 4200
Επίπεδο των αποδεικτικών στοιχείων A

  Mentions Légales