最新更新 :
27/04/2026
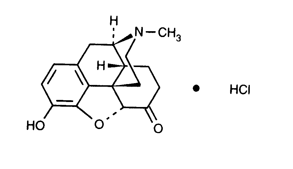
止痛药   Hydromorphone hydrochloride  
注射液
溶液稳定性 混合物稳定性 影响稳定性的因素 兼容性 用药途径 引用文献 PDF
   化学式  

商品名   商品名     

商品名仅供参考, 药品所用的辅料可能依国家或厂商不同有所不同。

Dilaudid 加拿大, 美国
Hydal 奥地利
Palladon 丹麦, 瑞士
Palladone 英国
混合物稳定性   注射液   混合物稳定性 : Hydromorphone hydrochloride     
容器 溶剂 浓度 分子 温度 保存 穩定持續時間 引用文献
玻璃 NaCl 0,9% 0,25 mg/ml
注射液   Hydromorphone hydrochloride   
注射液   Granisetron hydrochloride 0,5 mg/ml
20°C-23°C
4 小时
避光 57
A+级
玻璃 NaCl 0,9% 0,2 mg/ml
注射液   Hydromorphone hydrochloride   
注射液   Ketamine hydrochloride 0,2 >> 1 mg/ml
25°C
7 白天
避光 2336
D级
玻璃 NaCl 0,9% 0,05 mg/ml
注射液   Hydromorphone hydrochloride   
注射液   Morphine hydrochloride 0,25 mg/ml
25°C
15 白天
无特殊要求 4667
D级
玻璃 NaCl 0,9% 0,05 mg/ml
注射液   Hydromorphone hydrochloride   
注射液   Morphine hydrochloride 0,25 mg/ml
37°C
15 白天
无特殊要求 4667
D级
玻璃 葡萄糖5% 0,1 & 1 mg/ml
注射液   Hydromorphone hydrochloride   
注射液   Tacrolimus 5 & 20 µg/ml
23°C-25°C
4 小时
光 814
A级
玻璃 无 2 & 10 & 40 mg/ml
注射液   Hydromorphone hydrochloride   
注射液   Dimenhydrinate 50 mg/ml
23°C
24 小时
无特殊要求 1497
B级
玻璃 无 0,25 mg/ml
注射液   Hydromorphone hydrochloride   
注射液   Palonosetron hydrochloride 25 µg/ml
25°C
4 小时
光 2196
A+级
玻璃 无 2 & 10 & 40 mg/ml
注射液   Hydromorphone hydrochloride   
注射液   Dimenhydrinate 50 mg/ml
37°C
24 小时
无特殊要求 1497
B级
玻璃 无 2 & 10 & 40 mg/ml
注射液   Hydromorphone hydrochloride   
注射液   Dimenhydrinate 50 mg/ml
4°C
24 小时
避光 1497
B级
聚氯乙烯 NaCl 0,9% 0,5 mg/ml
注射液   Hydromorphone hydrochloride   
注射液   Fluorouracil 1 & 16 mg/ml
-20°C
35 白天
避光 513
A+级
聚氯乙烯 NaCl 0,9% 20 mg/ml
注射液   Hydromorphone hydrochloride   
注射液   Esketamine 20 mg/ml
22°C
7 白天
无特殊要求 4664
D级
聚氯乙烯 NaCl 0,9% 0,5 mg/ml
注射液   Hydromorphone hydrochloride   
注射液   Ondansetron hydrochloride 0,1 & 1 mg/ml
22°C
31 白天
无特殊要求 6
A+级
聚氯乙烯 NaCl 0,9% 0,5 mg/ml
注射液   Hydromorphone hydrochloride   
注射液   Fluorouracil 16 mg/ml
23°C
7 白天
无特殊要求 513
A+级
聚氯乙烯 NaCl 0,9% 0,5 mg/ml
注射液   Hydromorphone hydrochloride   
注射液   Fluorouracil 1 mg/ml
23°C
35 白天
无特殊要求 513
A+级
聚氯乙烯 NaCl 0,9% 0,02 & 0,1 mg/ml
注射液   Hydromorphone hydrochloride   
注射液   Bupivacaine hydrochloride 0,62 & 1,2 mg/ml
23°C-25°C
72 小时
光 306
A级
聚氯乙烯 NaCl 0,9% 0,2 mg/ml
注射液   Hydromorphone hydrochloride   
注射液   Ketamine hydrochloride 0,2 >> 1 mg/ml
25°C
7 白天
避光 2336
D级
聚氯乙烯 NaCl 0,9% 0,05 mg/ml
注射液   Hydromorphone hydrochloride   
注射液   Morphine hydrochloride 0,25 mg/ml
25°C
15 白天
无特殊要求 4667
D级
聚氯乙烯 NaCl 0,9% 0.0015 mg/ml
注射液   Hydromorphone hydrochloride   
注射液   Bupivacaine hydrochloride 0.5 mg/ml
25°C
30 白天
无特殊要求 4746
A级
聚氯乙烯 NaCl 0,9% 0.03 mg/ml
注射液   Hydromorphone hydrochloride   
注射液   Bupivacaine hydrochloride 0.5 mg/ml
25°C
30 白天
无特殊要求 4746
A级
聚氯乙烯 NaCl 0,9% 0.03 mg/ml
注射液   Hydromorphone hydrochloride   
注射液   Bupivacaine hydrochloride 2.5 mg/ml
25°C
30 白天
无特殊要求 4746
A级
聚氯乙烯 NaCl 0,9% 0.0015 mg/ml
注射液   Hydromorphone hydrochloride   
注射液   Bupivacaine hydrochloride 2.5 mg/ml
25°C
30 白天
无特殊要求 4746
A级
聚氯乙烯 NaCl 0,9% 0,5 mg/ml
注射液   Hydromorphone hydrochloride   
注射液   Fluorouracil 16 mg/ml
32°C
3 白天
无特殊要求 513
A+级
聚氯乙烯 NaCl 0,9% 0,5 mg/ml
注射液   Hydromorphone hydrochloride   
注射液   Ondansetron hydrochloride 0,1 & 1 mg/ml
32°C
7 白天
无特殊要求 6
A+级
聚氯乙烯 NaCl 0,9% 0,5 mg/ml
注射液   Hydromorphone hydrochloride   
注射液   Fluorouracil 1 mg/ml
32°C
7 白天
无特殊要求 513
A+级
聚氯乙烯 NaCl 0,9% 20 mg/ml
注射液   Hydromorphone hydrochloride   
注射液   Esketamine 20 mg/ml
37°C
7 白天
无特殊要求 4664
D级
聚氯乙烯 NaCl 0,9% 0,05 mg/ml
注射液   Hydromorphone hydrochloride   
注射液   Morphine hydrochloride 0,25 mg/ml
37°C
15 白天
无特殊要求 4667
D级
聚氯乙烯 NaCl 0,9% 0,5 mg/ml
注射液   Hydromorphone hydrochloride   
注射液   Ondansetron hydrochloride 0,1 & 1 mg/ml
4°C
31 白天
避光 6
A+级
聚氯乙烯 NaCl 0,9% 0,5 mg/ml
注射液   Hydromorphone hydrochloride   
注射液   Fluorouracil 1 & 16 mg/ml
4°C
35 白天
避光 513
A+级
聚氯乙烯 NaCl 0,9% 0.0015 mg/ml
注射液   Hydromorphone hydrochloride   
注射液   Bupivacaine hydrochloride 0.5 mg/ml
4°C
30 白天
无特殊要求 4746
A级
聚氯乙烯 NaCl 0,9% 0.03 mg/ml
注射液   Hydromorphone hydrochloride   
注射液   Bupivacaine hydrochloride 0.5 mg/ml
4°C
30 白天
无特殊要求 4746
A级
聚氯乙烯 NaCl 0,9% 0.03 mg/ml
注射液   Hydromorphone hydrochloride   
注射液   Bupivacaine hydrochloride 2.5 mg/ml
4°C
30 白天
无特殊要求 4746
A级
聚氯乙烯 NaCl 0,9% 0.0015 mg/ml
注射液   Hydromorphone hydrochloride   
注射液   Bupivacaine hydrochloride 2.5 mg/ml
4°C
30 白天
无特殊要求 4746
A级
聚氯乙烯 NaCl 0,9% 0,5 mg/ml
注射液   Hydromorphone hydrochloride   
注射液   Ondansetron hydrochloride 0,1 & 1 mg/ml
4°C-22°C
31 白天
无特殊要求 6
A+级
聚氯乙烯 NaCl 0,9% 0,5 mg/ml
注射液   Hydromorphone hydrochloride   
注射液   Granisetron hydrochloride 0,056 mg/ml
4°C-22°C
31 小时
无特殊要求 6
A+级
聚氯乙烯 NaCl 0,9% 0,5 mg/ml
注射液   Hydromorphone hydrochloride   
注射液   Granisetron hydrochloride 0,056 mg/ml
4°C-22°C
31 小时
无特殊要求 6
A+级
聚氯乙烯 葡萄糖5% 0,5 mg/ml
注射液   Hydromorphone hydrochloride   
注射液   Fluorouracil 1 & 16 mg/ml
-20°C
35 白天
避光 513
A+级
聚氯乙烯 葡萄糖5% 0,5 mg/ml
注射液   Hydromorphone hydrochloride   
注射液   Fluorouracil 16 mg/ml
23°C
7 白天
无特殊要求 513
A+级
聚氯乙烯 葡萄糖5% 0,5 mg/ml
注射液   Hydromorphone hydrochloride   
注射液   Fluorouracil 1 mg/ml
23°C
35 白天
无特殊要求 513
A+级
聚氯乙烯 葡萄糖5% 0,5 mg/ml
注射液   Hydromorphone hydrochloride   
注射液   Fluorouracil 16 mg/ml
32°C
3 白天
无特殊要求 513
A+级
聚氯乙烯 葡萄糖5% 0,5 mg/ml
注射液   Hydromorphone hydrochloride   
注射液   Fluorouracil 1 mg/ml
32°C
7 白天
无特殊要求 513
A+级
聚氯乙烯 葡萄糖5% 0,5 mg/ml
注射液   Hydromorphone hydrochloride   
注射液   Fluorouracil 1 & 16 mg/ml
4°C
35 白天
避光 513
A+级
聚乙烯 NaCl 0,9% 0,05 mg/ml
注射液   Hydromorphone hydrochloride   
注射液   Morphine hydrochloride 0,25 mg/ml
25°C
15 白天
无特殊要求 4667
D级
聚乙烯 NaCl 0,9% 0,05 mg/ml
注射液   Hydromorphone hydrochloride   
注射液   Morphine hydrochloride 0,25 mg/ml
37°C
15 白天
无特殊要求 4667
D级
聚烯烃 NaCl 0,9% 0.0015 mg/ml
注射液   Hydromorphone hydrochloride   
注射液   Bupivacaine hydrochloride 0.5 mg/ml
25°C
30 白天
无特殊要求 4746
A级
聚烯烃 NaCl 0,9% 0.03 mg/ml
注射液   Hydromorphone hydrochloride   
注射液   Bupivacaine hydrochloride 0.5 mg/ml
25°C
30 白天
无特殊要求 4746
A级
聚烯烃 NaCl 0,9% 0.03 mg/ml
注射液   Hydromorphone hydrochloride   
注射液   Bupivacaine hydrochloride 2.5 mg/ml
25°C
30 白天
无特殊要求 4746
A级
聚烯烃 NaCl 0,9% 0.0015 mg/ml
注射液   Hydromorphone hydrochloride   
注射液   Bupivacaine hydrochloride 2.5 mg/ml
25°C
30 白天
无特殊要求 4746
A级
聚烯烃 NaCl 0,9% 0.0015 mg/ml
注射液   Hydromorphone hydrochloride   
注射液   Bupivacaine hydrochloride 0.5 mg/ml
4°C
30 白天
无特殊要求 4746
A级
聚烯烃 NaCl 0,9% 0.03 mg/ml
注射液   Hydromorphone hydrochloride   
注射液   Bupivacaine hydrochloride 0.5 mg/ml
4°C
30 白天
无特殊要求 4746
A级
聚烯烃 NaCl 0,9% 0.03 mg/ml
注射液   Hydromorphone hydrochloride   
注射液   Bupivacaine hydrochloride 2.5 mg/ml
4°C
30 白天
无特殊要求 4746
A级
聚烯烃 NaCl 0,9% 0.0015 mg/ml
注射液   Hydromorphone hydrochloride   
注射液   Bupivacaine hydrochloride 2.5 mg/ml
4°C
30 白天
无特殊要求 4746
A级
注射器  聚丙烯 NaCl 0,9% 0,02 & 0,04 mg/ml
注射液   Hydromorphone hydrochloride   
注射液   Bupivacaine hydrochloride 2,5 mg/ml
22°C
91 白天
光 1931
A级
注射器  聚丙烯 NaCl 0,9% 0,2 mg/ml
注射液   Hydromorphone hydrochloride   
注射液   Ketamine hydrochloride 0,2 >> 1 mg/ml
25°C
7 白天
避光 2336
D级
注射器  聚丙烯 NaCl 0,9% 10 mg/ml
注射液   Hydromorphone hydrochloride   
注射液   Scopolamine hydrobromide 0,04 mg/ml
注射液   Famotidine 0,4 mg/ml
注射液   Haloperidol lactate 0,5 mg/ml
注射液   Dimenhydrinate 5 mg/ml
25°C
12 小时
无特殊要求 2166
注射器  聚丙烯 NaCl 0,9% 10 mg/ml
注射液   Hydromorphone hydrochloride   
注射液   Famotidine 0,4 mg/ml
注射液   Midazolam hydrochloride 1 mg/ml
25°C
96 小时
无特殊要求 2166
注射器  聚丙烯 NaCl 0,9% 10 mg/ml
注射液   Hydromorphone hydrochloride   
注射液   Haloperidol lactate 0,5 mg/ml
注射液   Metoclopramide hydrochloride 0,5 mg/ml
25°C
96 小时
无特殊要求 2166
注射器  聚丙烯 NaCl 0,9% 10 mg/ml
注射液   Hydromorphone hydrochloride   
注射液   Famotidine 0,4 mg/ml
注射液   Metoclopramide hydrochloride 0,5 mg/ml
肛门塞剂   Ketoprofene   
25°C
96 小时
无特殊要求 2166
注射器  聚丙烯 NaCl 0,9% 10 mg/ml
注射液   Hydromorphone hydrochloride   
注射液   Scopolamine hydrobromide 0,04 mg/ml
注射液   Famotidine 0,4 mg/ml
注射液   Haloperidol lactate 0,5 mg/ml
注射液   Dimenhydrinate 5 mg/ml
4°C
12 小时
无特殊要求 2166
注射器  聚丙烯 NaCl 0,9% 10 mg/ml
注射液   Hydromorphone hydrochloride   
注射液   Famotidine 0,4 mg/ml
注射液   Midazolam hydrochloride 1 mg/ml
4°C
96 小时
无特殊要求 2166
注射器  聚丙烯 NaCl 0,9% 10 mg/ml
注射液   Hydromorphone hydrochloride   
注射液   Famotidine 0,4 mg/ml
注射液   Metoclopramide hydrochloride 0,5 mg/ml
注射液   Ketorolac tromethamine 1,5 mg/ml
4°C
96 小时
无特殊要求 2166
注射器  聚丙烯 NaCl 0,9% 0,02 & 0,04 mg/ml
注射液   Hydromorphone hydrochloride   
注射液   Bupivacaine hydrochloride 2,5 mg/ml
6°C
91 白天
避光 1931
A级
聚異戊二烯彈性體 NaCl 0,9% 0,08 mg/ml
注射液   Hydromorphone hydrochloride   
注射液   Fentanyl citrate 16 µg/ml
注射液   Nefopam 0,8 mg/ml
注射液   Ramosetron hydrochloride 12 µg/ml
24°C
4 白天
避光 4666
D级
聚異戊二烯彈性體 NaCl 0,9% 0,08 mg/ml
注射液   Hydromorphone hydrochloride   
注射液   Fentanyl citrate 16 µg/ml
注射液   Nefopam 0,8 mg/ml
注射液   Ondansetron hydrochloride 0,32 mg/ml
24°C
4 白天
避光 4666
D级
不详 NaCl 0,9% 2 & 20 mg/ml
注射液   Hydromorphone hydrochloride   
注射液   Midazolam hydrochloride 0.1 & 0.5 mg/ml
23°C
23 白天
避光 345
A级
不详 NaCl 0,9% 35 mg/ml
注射液   Hydromorphone hydrochloride   
注射液   Ziconotide acetate 25 µg/ml
37°C
19 白天
避光 2251
D级
不详 NaCl 0,9% 50 mg/ml
注射液   Hydromorphone hydrochloride   
注射液   Bupivacaine hydrochloride 24 mg/ml
注射液   Clonidine hydrochloride 2 mg/ml
37°C
90 白天
避光 2305
不详 NaCl 0,9% 2 & 20 mg/ml
注射液   Hydromorphone hydrochloride   
注射液   Midazolam hydrochloride 0.1 & 0.5 mg/ml
4°C
23 白天
避光 345
A级
不详 葡萄糖5% 2 & 20 mg/ml
注射液   Hydromorphone hydrochloride   
注射液   Midazolam hydrochloride 0.1 & 0.5 mg/ml
23°C
23 白天
避光 345
A级
不详 葡萄糖5% 2 & 20 mg/ml
注射液   Hydromorphone hydrochloride   
注射液   Midazolam hydrochloride 0.1 & 0.5 mg/ml
4°C
23 白天
避光 345
A级
不详 无 15 mg/ml
注射液   Hydromorphone hydrochloride   
注射液   Bupivacaine hydrochloride 10 mg/ml
37°C
90 白天
避光 4200
A级

  Mentions Légales