viimane versioon :
27/04/2026
analgeetikum   Hydromorphone hydrochloride  
Süsteravim
Stabiilsus lahustes Stabiilsust mõjutavad tegurid stabiilsust mõjutavad faktorid Sobimatus Manustamis viis Viited pdf
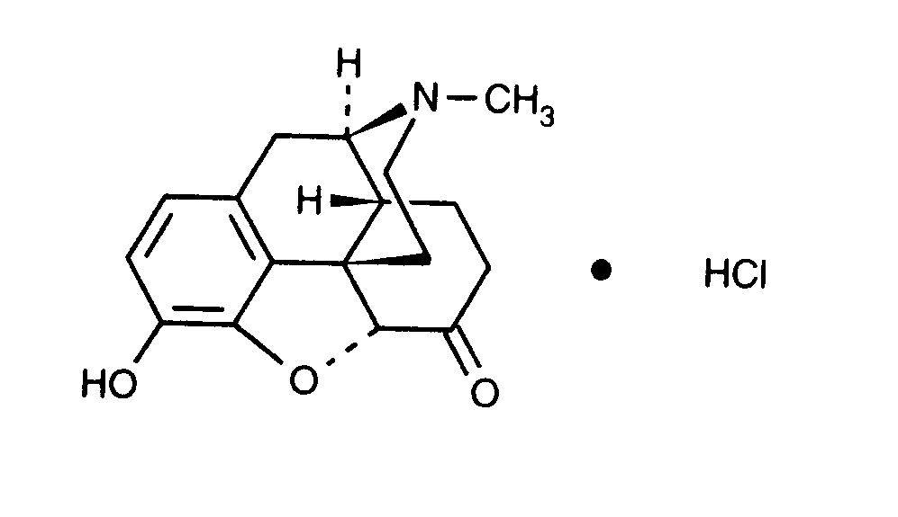
   keemiline struktuur  

Kaubanduslikud nimed erinevates maades   Kaubanduslikud nimed erinevates maades     

Preparaatide nimed on näitlikud ja abianete sisaldus võib erineda sõltuvalt riigist ja laborist

Dilaudid Ameerika ühendriigid, Kanada
Hydal Austria
Palladon Sveits, Taani
Palladone Suurbritannia
Stabiilsust mõjutavad tegurid   Süsteravim   Stabiilsust mõjutavad tegurid : Hydromorphone hydrochloride     
konteiner lahusti kontsentratsioon ingredient temperatuur ladustamine Stabiilsuse kestus Viited
klaas naatriumkloriid 0.9% 0,25 mg/ml
Süsteravim   Hydromorphone hydrochloride   
Süsteravim   Granisetron hydrochloride 0,5 mg/ml
20°C-23°C
4 Tund
kaitsta valguse eest 57
Tõenduspõhisuse tase A+
klaas naatriumkloriid 0.9% 0,2 mg/ml
Süsteravim   Hydromorphone hydrochloride   
Süsteravim   Ketamine hydrochloride 0,2 >> 1 mg/ml
25°C
7 päev
kaitsta valguse eest 2336
Tõenduspõhisuse tase D
klaas naatriumkloriid 0.9% 0,05 mg/ml
Süsteravim   Hydromorphone hydrochloride   
Süsteravim   Morphine hydrochloride 0,25 mg/ml
25°C
15 päev
pole täpsustatud 4667
Tõenduspõhisuse tase D
klaas naatriumkloriid 0.9% 0,05 mg/ml
Süsteravim   Hydromorphone hydrochloride   
Süsteravim   Morphine hydrochloride 0,25 mg/ml
37°C
15 päev
pole täpsustatud 4667
Tõenduspõhisuse tase D
klaas glükoos 5% 0,1 & 1 mg/ml
Süsteravim   Hydromorphone hydrochloride   
Süsteravim   Tacrolimus 5 & 20 µg/ml
23°C-25°C
4 Tund
valgus 814
Tõenduspõhisuse tase A
klaas mitte ükski 2 & 10 & 40 mg/ml
Süsteravim   Hydromorphone hydrochloride   
Süsteravim   Dimenhydrinate 50 mg/ml
23°C
24 Tund
pole täpsustatud 1497
Tõenduspõhisuse tase B
klaas mitte ükski 0,25 mg/ml
Süsteravim   Hydromorphone hydrochloride   
Süsteravim   Palonosetron hydrochloride 25 µg/ml
25°C
4 Tund
valgus 2196
Tõenduspõhisuse tase A+
klaas mitte ükski 2 & 10 & 40 mg/ml
Süsteravim   Hydromorphone hydrochloride   
Süsteravim   Dimenhydrinate 50 mg/ml
37°C
24 Tund
pole täpsustatud 1497
Tõenduspõhisuse tase B
klaas mitte ükski 2 & 10 & 40 mg/ml
Süsteravim   Hydromorphone hydrochloride   
Süsteravim   Dimenhydrinate 50 mg/ml
4°C
24 Tund
kaitsta valguse eest 1497
Tõenduspõhisuse tase B
polüvinüülkloriid naatriumkloriid 0.9% 0,5 mg/ml
Süsteravim   Hydromorphone hydrochloride   
Süsteravim   Fluorouracil 1 & 16 mg/ml
-20°C
35 päev
kaitsta valguse eest 513
Tõenduspõhisuse tase A+
polüvinüülkloriid naatriumkloriid 0.9% 20 mg/ml
Süsteravim   Hydromorphone hydrochloride   
Süsteravim   Esketamine 20 mg/ml
22°C
7 päev
pole täpsustatud 4664
Tõenduspõhisuse tase D
polüvinüülkloriid naatriumkloriid 0.9% 0,5 mg/ml
Süsteravim   Hydromorphone hydrochloride   
Süsteravim   Ondansetron hydrochloride 0,1 & 1 mg/ml
22°C
31 päev
pole täpsustatud 6
Tõenduspõhisuse tase A+
polüvinüülkloriid naatriumkloriid 0.9% 0,5 mg/ml
Süsteravim   Hydromorphone hydrochloride   
Süsteravim   Fluorouracil 16 mg/ml
23°C
7 päev
pole täpsustatud 513
Tõenduspõhisuse tase A+
polüvinüülkloriid naatriumkloriid 0.9% 0,5 mg/ml
Süsteravim   Hydromorphone hydrochloride   
Süsteravim   Fluorouracil 1 mg/ml
23°C
35 päev
pole täpsustatud 513
Tõenduspõhisuse tase A+
polüvinüülkloriid naatriumkloriid 0.9% 0,02 & 0,1 mg/ml
Süsteravim   Hydromorphone hydrochloride   
Süsteravim   Bupivacaine hydrochloride 0,62 & 1,2 mg/ml
23°C-25°C
72 Tund
valgus 306
Tõenduspõhisuse tase A
polüvinüülkloriid naatriumkloriid 0.9% 0,2 mg/ml
Süsteravim   Hydromorphone hydrochloride   
Süsteravim   Ketamine hydrochloride 0,2 >> 1 mg/ml
25°C
7 päev
kaitsta valguse eest 2336
Tõenduspõhisuse tase D
polüvinüülkloriid naatriumkloriid 0.9% 0,05 mg/ml
Süsteravim   Hydromorphone hydrochloride   
Süsteravim   Morphine hydrochloride 0,25 mg/ml
25°C
15 päev
pole täpsustatud 4667
Tõenduspõhisuse tase D
polüvinüülkloriid naatriumkloriid 0.9% 0.0015 mg/ml
Süsteravim   Hydromorphone hydrochloride   
Süsteravim   Bupivacaine hydrochloride 0.5 mg/ml
25°C
30 päev
pole täpsustatud 4746
Tõenduspõhisuse tase A
polüvinüülkloriid naatriumkloriid 0.9% 0.03 mg/ml
Süsteravim   Hydromorphone hydrochloride   
Süsteravim   Bupivacaine hydrochloride 0.5 mg/ml
25°C
30 päev
pole täpsustatud 4746
Tõenduspõhisuse tase A
polüvinüülkloriid naatriumkloriid 0.9% 0.03 mg/ml
Süsteravim   Hydromorphone hydrochloride   
Süsteravim   Bupivacaine hydrochloride 2.5 mg/ml
25°C
30 päev
pole täpsustatud 4746
Tõenduspõhisuse tase A
polüvinüülkloriid naatriumkloriid 0.9% 0.0015 mg/ml
Süsteravim   Hydromorphone hydrochloride   
Süsteravim   Bupivacaine hydrochloride 2.5 mg/ml
25°C
30 päev
pole täpsustatud 4746
Tõenduspõhisuse tase A
polüvinüülkloriid naatriumkloriid 0.9% 0,5 mg/ml
Süsteravim   Hydromorphone hydrochloride   
Süsteravim   Fluorouracil 16 mg/ml
32°C
3 päev
pole täpsustatud 513
Tõenduspõhisuse tase A+
polüvinüülkloriid naatriumkloriid 0.9% 0,5 mg/ml
Süsteravim   Hydromorphone hydrochloride   
Süsteravim   Ondansetron hydrochloride 0,1 & 1 mg/ml
32°C
7 päev
pole täpsustatud 6
Tõenduspõhisuse tase A+
polüvinüülkloriid naatriumkloriid 0.9% 0,5 mg/ml
Süsteravim   Hydromorphone hydrochloride   
Süsteravim   Fluorouracil 1 mg/ml
32°C
7 päev
pole täpsustatud 513
Tõenduspõhisuse tase A+
polüvinüülkloriid naatriumkloriid 0.9% 20 mg/ml
Süsteravim   Hydromorphone hydrochloride   
Süsteravim   Esketamine 20 mg/ml
37°C
7 päev
pole täpsustatud 4664
Tõenduspõhisuse tase D
polüvinüülkloriid naatriumkloriid 0.9% 0,05 mg/ml
Süsteravim   Hydromorphone hydrochloride   
Süsteravim   Morphine hydrochloride 0,25 mg/ml
37°C
15 päev
pole täpsustatud 4667
Tõenduspõhisuse tase D
polüvinüülkloriid naatriumkloriid 0.9% 0,5 mg/ml
Süsteravim   Hydromorphone hydrochloride   
Süsteravim   Ondansetron hydrochloride 0,1 & 1 mg/ml
4°C
31 päev
kaitsta valguse eest 6
Tõenduspõhisuse tase A+
polüvinüülkloriid naatriumkloriid 0.9% 0,5 mg/ml
Süsteravim   Hydromorphone hydrochloride   
Süsteravim   Fluorouracil 1 & 16 mg/ml
4°C
35 päev
kaitsta valguse eest 513
Tõenduspõhisuse tase A+
polüvinüülkloriid naatriumkloriid 0.9% 0.0015 mg/ml
Süsteravim   Hydromorphone hydrochloride   
Süsteravim   Bupivacaine hydrochloride 0.5 mg/ml
4°C
30 päev
pole täpsustatud 4746
Tõenduspõhisuse tase A
polüvinüülkloriid naatriumkloriid 0.9% 0.03 mg/ml
Süsteravim   Hydromorphone hydrochloride   
Süsteravim   Bupivacaine hydrochloride 0.5 mg/ml
4°C
30 päev
pole täpsustatud 4746
Tõenduspõhisuse tase A
polüvinüülkloriid naatriumkloriid 0.9% 0.03 mg/ml
Süsteravim   Hydromorphone hydrochloride   
Süsteravim   Bupivacaine hydrochloride 2.5 mg/ml
4°C
30 päev
pole täpsustatud 4746
Tõenduspõhisuse tase A
polüvinüülkloriid naatriumkloriid 0.9% 0.0015 mg/ml
Süsteravim   Hydromorphone hydrochloride   
Süsteravim   Bupivacaine hydrochloride 2.5 mg/ml
4°C
30 päev
pole täpsustatud 4746
Tõenduspõhisuse tase A
polüvinüülkloriid naatriumkloriid 0.9% 0,5 mg/ml
Süsteravim   Hydromorphone hydrochloride   
Süsteravim   Ondansetron hydrochloride 0,1 & 1 mg/ml
4°C-22°C
31 päev
pole täpsustatud 6
Tõenduspõhisuse tase A+
polüvinüülkloriid naatriumkloriid 0.9% 0,5 mg/ml
Süsteravim   Hydromorphone hydrochloride   
Süsteravim   Granisetron hydrochloride 0,056 mg/ml
4°C-22°C
31 Tund
pole täpsustatud 6
Tõenduspõhisuse tase A+
polüvinüülkloriid naatriumkloriid 0.9% 0,5 mg/ml
Süsteravim   Hydromorphone hydrochloride   
Süsteravim   Granisetron hydrochloride 0,056 mg/ml
4°C-22°C
31 Tund
pole täpsustatud 6
Tõenduspõhisuse tase A+
polüvinüülkloriid glükoos 5% 0,5 mg/ml
Süsteravim   Hydromorphone hydrochloride   
Süsteravim   Fluorouracil 1 & 16 mg/ml
-20°C
35 päev
kaitsta valguse eest 513
Tõenduspõhisuse tase A+
polüvinüülkloriid glükoos 5% 0,5 mg/ml
Süsteravim   Hydromorphone hydrochloride   
Süsteravim   Fluorouracil 16 mg/ml
23°C
7 päev
pole täpsustatud 513
Tõenduspõhisuse tase A+
polüvinüülkloriid glükoos 5% 0,5 mg/ml
Süsteravim   Hydromorphone hydrochloride   
Süsteravim   Fluorouracil 1 mg/ml
23°C
35 päev
pole täpsustatud 513
Tõenduspõhisuse tase A+
polüvinüülkloriid glükoos 5% 0,5 mg/ml
Süsteravim   Hydromorphone hydrochloride   
Süsteravim   Fluorouracil 16 mg/ml
32°C
3 päev
pole täpsustatud 513
Tõenduspõhisuse tase A+
polüvinüülkloriid glükoos 5% 0,5 mg/ml
Süsteravim   Hydromorphone hydrochloride   
Süsteravim   Fluorouracil 1 mg/ml
32°C
7 päev
pole täpsustatud 513
Tõenduspõhisuse tase A+
polüvinüülkloriid glükoos 5% 0,5 mg/ml
Süsteravim   Hydromorphone hydrochloride   
Süsteravim   Fluorouracil 1 & 16 mg/ml
4°C
35 päev
kaitsta valguse eest 513
Tõenduspõhisuse tase A+
polüetüleen naatriumkloriid 0.9% 0,05 mg/ml
Süsteravim   Hydromorphone hydrochloride   
Süsteravim   Morphine hydrochloride 0,25 mg/ml
25°C
15 päev
pole täpsustatud 4667
Tõenduspõhisuse tase D
polüetüleen naatriumkloriid 0.9% 0,05 mg/ml
Süsteravim   Hydromorphone hydrochloride   
Süsteravim   Morphine hydrochloride 0,25 mg/ml
37°C
15 päev
pole täpsustatud 4667
Tõenduspõhisuse tase D
polüolefiin naatriumkloriid 0.9% 0.0015 mg/ml
Süsteravim   Hydromorphone hydrochloride   
Süsteravim   Bupivacaine hydrochloride 0.5 mg/ml
25°C
30 päev
pole täpsustatud 4746
Tõenduspõhisuse tase A
polüolefiin naatriumkloriid 0.9% 0.03 mg/ml
Süsteravim   Hydromorphone hydrochloride   
Süsteravim   Bupivacaine hydrochloride 0.5 mg/ml
25°C
30 päev
pole täpsustatud 4746
Tõenduspõhisuse tase A
polüolefiin naatriumkloriid 0.9% 0.03 mg/ml
Süsteravim   Hydromorphone hydrochloride   
Süsteravim   Bupivacaine hydrochloride 2.5 mg/ml
25°C
30 päev
pole täpsustatud 4746
Tõenduspõhisuse tase A
polüolefiin naatriumkloriid 0.9% 0.0015 mg/ml
Süsteravim   Hydromorphone hydrochloride   
Süsteravim   Bupivacaine hydrochloride 2.5 mg/ml
25°C
30 päev
pole täpsustatud 4746
Tõenduspõhisuse tase A
polüolefiin naatriumkloriid 0.9% 0.0015 mg/ml
Süsteravim   Hydromorphone hydrochloride   
Süsteravim   Bupivacaine hydrochloride 0.5 mg/ml
4°C
30 päev
pole täpsustatud 4746
Tõenduspõhisuse tase A
polüolefiin naatriumkloriid 0.9% 0.03 mg/ml
Süsteravim   Hydromorphone hydrochloride   
Süsteravim   Bupivacaine hydrochloride 0.5 mg/ml
4°C
30 päev
pole täpsustatud 4746
Tõenduspõhisuse tase A
polüolefiin naatriumkloriid 0.9% 0.03 mg/ml
Süsteravim   Hydromorphone hydrochloride   
Süsteravim   Bupivacaine hydrochloride 2.5 mg/ml
4°C
30 päev
pole täpsustatud 4746
Tõenduspõhisuse tase A
polüolefiin naatriumkloriid 0.9% 0.0015 mg/ml
Süsteravim   Hydromorphone hydrochloride   
Süsteravim   Bupivacaine hydrochloride 2.5 mg/ml
4°C
30 päev
pole täpsustatud 4746
Tõenduspõhisuse tase A
süstal  polüpropüleenist naatriumkloriid 0.9% 0,02 & 0,04 mg/ml
Süsteravim   Hydromorphone hydrochloride   
Süsteravim   Bupivacaine hydrochloride 2,5 mg/ml
22°C
91 päev
valgus 1931
Tõenduspõhisuse tase A
süstal  polüpropüleenist naatriumkloriid 0.9% 0,2 mg/ml
Süsteravim   Hydromorphone hydrochloride   
Süsteravim   Ketamine hydrochloride 0,2 >> 1 mg/ml
25°C
7 päev
kaitsta valguse eest 2336
Tõenduspõhisuse tase D
süstal  polüpropüleenist naatriumkloriid 0.9% 10 mg/ml
Süsteravim   Hydromorphone hydrochloride   
Süsteravim   Scopolamine hydrobromide 0,04 mg/ml
Süsteravim   Famotidine 0,4 mg/ml
Süsteravim   Haloperidol lactate 0,5 mg/ml
Süsteravim   Dimenhydrinate 5 mg/ml
25°C
12 Tund
pole täpsustatud 2166
süstal  polüpropüleenist naatriumkloriid 0.9% 10 mg/ml
Süsteravim   Hydromorphone hydrochloride   
Süsteravim   Famotidine 0,4 mg/ml
Süsteravim   Midazolam hydrochloride 1 mg/ml
25°C
96 Tund
pole täpsustatud 2166
süstal  polüpropüleenist naatriumkloriid 0.9% 10 mg/ml
Süsteravim   Hydromorphone hydrochloride   
Süsteravim   Haloperidol lactate 0,5 mg/ml
Süsteravim   Metoclopramide hydrochloride 0,5 mg/ml
25°C
96 Tund
pole täpsustatud 2166
süstal  polüpropüleenist naatriumkloriid 0.9% 10 mg/ml
Süsteravim   Hydromorphone hydrochloride   
Süsteravim   Famotidine 0,4 mg/ml
Süsteravim   Metoclopramide hydrochloride 0,5 mg/ml
ravimküünal   Ketoprofene   
25°C
96 Tund
pole täpsustatud 2166
süstal  polüpropüleenist naatriumkloriid 0.9% 10 mg/ml
Süsteravim   Hydromorphone hydrochloride   
Süsteravim   Scopolamine hydrobromide 0,04 mg/ml
Süsteravim   Famotidine 0,4 mg/ml
Süsteravim   Haloperidol lactate 0,5 mg/ml
Süsteravim   Dimenhydrinate 5 mg/ml
4°C
12 Tund
pole täpsustatud 2166
süstal  polüpropüleenist naatriumkloriid 0.9% 10 mg/ml
Süsteravim   Hydromorphone hydrochloride   
Süsteravim   Famotidine 0,4 mg/ml
Süsteravim   Midazolam hydrochloride 1 mg/ml
4°C
96 Tund
pole täpsustatud 2166
süstal  polüpropüleenist naatriumkloriid 0.9% 10 mg/ml
Süsteravim   Hydromorphone hydrochloride   
Süsteravim   Famotidine 0,4 mg/ml
Süsteravim   Metoclopramide hydrochloride 0,5 mg/ml
Süsteravim   Ketorolac tromethamine 1,5 mg/ml
4°C
96 Tund
pole täpsustatud 2166
süstal  polüpropüleenist naatriumkloriid 0.9% 0,02 & 0,04 mg/ml
Süsteravim   Hydromorphone hydrochloride   
Süsteravim   Bupivacaine hydrochloride 2,5 mg/ml
6°C
91 päev
kaitsta valguse eest 1931
Tõenduspõhisuse tase A
Polüisopreenist elastomeer naatriumkloriid 0.9% 0,08 mg/ml
Süsteravim   Hydromorphone hydrochloride   
Süsteravim   Fentanyl citrate 16 µg/ml
Süsteravim   Nefopam 0,8 mg/ml
Süsteravim   Ramosetron hydrochloride 12 µg/ml
24°C
4 päev
kaitsta valguse eest 4666
Tõenduspõhisuse tase D
Polüisopreenist elastomeer naatriumkloriid 0.9% 0,08 mg/ml
Süsteravim   Hydromorphone hydrochloride   
Süsteravim   Fentanyl citrate 16 µg/ml
Süsteravim   Nefopam 0,8 mg/ml
Süsteravim   Ondansetron hydrochloride 0,32 mg/ml
24°C
4 päev
kaitsta valguse eest 4666
Tõenduspõhisuse tase D
pole täpsustatud naatriumkloriid 0.9% 2 & 20 mg/ml
Süsteravim   Hydromorphone hydrochloride   
Süsteravim   Midazolam hydrochloride 0.1 & 0.5 mg/ml
23°C
23 päev
kaitsta valguse eest 345
Tõenduspõhisuse tase A
pole täpsustatud naatriumkloriid 0.9% 35 mg/ml
Süsteravim   Hydromorphone hydrochloride   
Süsteravim   Ziconotide acetate 25 µg/ml
37°C
19 päev
kaitsta valguse eest 2251
Tõenduspõhisuse tase D
pole täpsustatud naatriumkloriid 0.9% 50 mg/ml
Süsteravim   Hydromorphone hydrochloride   
Süsteravim   Bupivacaine hydrochloride 24 mg/ml
Süsteravim   Clonidine hydrochloride 2 mg/ml
37°C
90 päev
kaitsta valguse eest 2305
pole täpsustatud naatriumkloriid 0.9% 2 & 20 mg/ml
Süsteravim   Hydromorphone hydrochloride   
Süsteravim   Midazolam hydrochloride 0.1 & 0.5 mg/ml
4°C
23 päev
kaitsta valguse eest 345
Tõenduspõhisuse tase A
pole täpsustatud glükoos 5% 2 & 20 mg/ml
Süsteravim   Hydromorphone hydrochloride   
Süsteravim   Midazolam hydrochloride 0.1 & 0.5 mg/ml
23°C
23 päev
kaitsta valguse eest 345
Tõenduspõhisuse tase A
pole täpsustatud glükoos 5% 2 & 20 mg/ml
Süsteravim   Hydromorphone hydrochloride   
Süsteravim   Midazolam hydrochloride 0.1 & 0.5 mg/ml
4°C
23 päev
kaitsta valguse eest 345
Tõenduspõhisuse tase A
pole täpsustatud mitte ükski 15 mg/ml
Süsteravim   Hydromorphone hydrochloride   
Süsteravim   Bupivacaine hydrochloride 10 mg/ml
37°C
90 päev
kaitsta valguse eest 4200
Tõenduspõhisuse tase A

  Mentions Légales