zadnja posodobitev :
27/04/2026
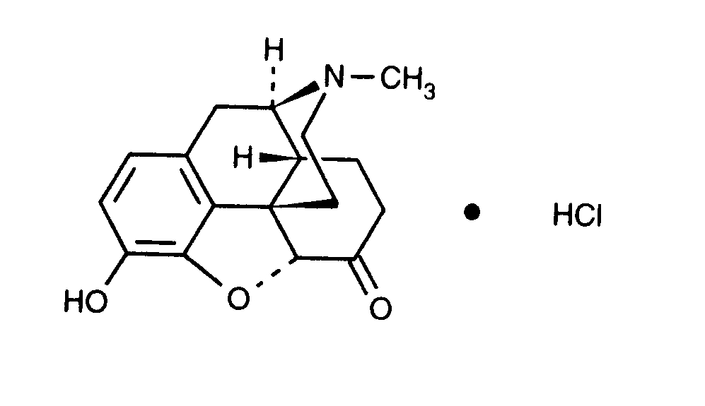
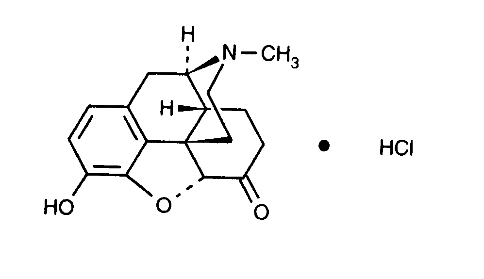
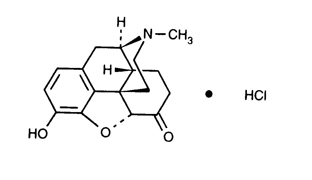
Analgetik   Hydromorphone hydrochloride  
Brizgalka
Stabilnost raztopine Stabilnost mešanice Faktorji, ki vplivajo na stabilnost Kompatibilnost način aplikacije Viri pdf
   Kemična formula  

Lastniško ime   Lastniško ime     

Sestava pomožnih snovi je med paralelami lahko različna

Dilaudid Kanada, Združene države Amerike
Hydal Avstrija
Palladon Danska, Švica
Palladone Velika Britanija
Stabilnost mešanice   Brizgalka   Stabilnost mešanice : Hydromorphone hydrochloride     
Vsebnik Topilo Koncentracija Sestava Temperatura Shranjevanje Trajanje stabilnosti Viri
Steklo Natrijev klorid 0,9% 0,25 mg/ml
Brizgalka   Hydromorphone hydrochloride   
Brizgalka   Granisetron hydrochloride 0,5 mg/ml
20°C-23°C
4 čas
Zaščiteno pred svetlobo 57
 Stopnja dokaza A+
Steklo Natrijev klorid 0,9% 0,2 mg/ml
Brizgalka   Hydromorphone hydrochloride   
Brizgalka   Ketamine hydrochloride 0,2 >> 1 mg/ml
25°C
7 Dan
Zaščiteno pred svetlobo 2336
 Stopnja dokaza D
Steklo Natrijev klorid 0,9% 0,05 mg/ml
Brizgalka   Hydromorphone hydrochloride   
Brizgalka   Morphine hydrochloride 0,25 mg/ml
25°C
15 Dan
Nedoločeno 4667
 Stopnja dokaza D
Steklo Natrijev klorid 0,9% 0,05 mg/ml
Brizgalka   Hydromorphone hydrochloride   
Brizgalka   Morphine hydrochloride 0,25 mg/ml
37°C
15 Dan
Nedoločeno 4667
 Stopnja dokaza D
Steklo Glukoza 5% 0,1 & 1 mg/ml
Brizgalka   Hydromorphone hydrochloride   
Brizgalka   Tacrolimus 5 & 20 µg/ml
23°C-25°C
4 čas
Svetloba 814
 Stopnja dokaza A
Steklo Nobeden 2 & 10 & 40 mg/ml
Brizgalka   Hydromorphone hydrochloride   
Brizgalka   Dimenhydrinate 50 mg/ml
23°C
24 čas
Nedoločeno 1497
 Stopnja dokaza B
Steklo Nobeden 0,25 mg/ml
Brizgalka   Hydromorphone hydrochloride   
Brizgalka   Palonosetron hydrochloride 25 µg/ml
25°C
4 čas
Svetloba 2196
 Stopnja dokaza A+
Steklo Nobeden 2 & 10 & 40 mg/ml
Brizgalka   Hydromorphone hydrochloride   
Brizgalka   Dimenhydrinate 50 mg/ml
37°C
24 čas
Nedoločeno 1497
 Stopnja dokaza B
Steklo Nobeden 2 & 10 & 40 mg/ml
Brizgalka   Hydromorphone hydrochloride   
Brizgalka   Dimenhydrinate 50 mg/ml
4°C
24 čas
Zaščiteno pred svetlobo 1497
 Stopnja dokaza B
Polivinil klorid Natrijev klorid 0,9% 0,5 mg/ml
Brizgalka   Hydromorphone hydrochloride   
Brizgalka   Fluorouracil 1 & 16 mg/ml
-20°C
35 Dan
Zaščiteno pred svetlobo 513
 Stopnja dokaza A+
Polivinil klorid Natrijev klorid 0,9% 20 mg/ml
Brizgalka   Hydromorphone hydrochloride   
Brizgalka   Esketamine 20 mg/ml
22°C
7 Dan
Nedoločeno 4664
 Stopnja dokaza D
Polivinil klorid Natrijev klorid 0,9% 0,5 mg/ml
Brizgalka   Hydromorphone hydrochloride   
Brizgalka   Ondansetron hydrochloride 0,1 & 1 mg/ml
22°C
31 Dan
Nedoločeno 6
 Stopnja dokaza A+
Polivinil klorid Natrijev klorid 0,9% 0,5 mg/ml
Brizgalka   Hydromorphone hydrochloride   
Brizgalka   Fluorouracil 16 mg/ml
23°C
7 Dan
Nedoločeno 513
 Stopnja dokaza A+
Polivinil klorid Natrijev klorid 0,9% 0,5 mg/ml
Brizgalka   Hydromorphone hydrochloride   
Brizgalka   Fluorouracil 1 mg/ml
23°C
35 Dan
Nedoločeno 513
 Stopnja dokaza A+
Polivinil klorid Natrijev klorid 0,9% 0,02 & 0,1 mg/ml
Brizgalka   Hydromorphone hydrochloride   
Brizgalka   Bupivacaine hydrochloride 0,62 & 1,2 mg/ml
23°C-25°C
72 čas
Svetloba 306
 Stopnja dokaza A
Polivinil klorid Natrijev klorid 0,9% 0,2 mg/ml
Brizgalka   Hydromorphone hydrochloride   
Brizgalka   Ketamine hydrochloride 0,2 >> 1 mg/ml
25°C
7 Dan
Zaščiteno pred svetlobo 2336
 Stopnja dokaza D
Polivinil klorid Natrijev klorid 0,9% 0,05 mg/ml
Brizgalka   Hydromorphone hydrochloride   
Brizgalka   Morphine hydrochloride 0,25 mg/ml
25°C
15 Dan
Nedoločeno 4667
 Stopnja dokaza D
Polivinil klorid Natrijev klorid 0,9% 0.0015 mg/ml
Brizgalka   Hydromorphone hydrochloride   
Brizgalka   Bupivacaine hydrochloride 0.5 mg/ml
25°C
30 Dan
Nedoločeno 4746
 Stopnja dokaza A
Polivinil klorid Natrijev klorid 0,9% 0.03 mg/ml
Brizgalka   Hydromorphone hydrochloride   
Brizgalka   Bupivacaine hydrochloride 0.5 mg/ml
25°C
30 Dan
Nedoločeno 4746
 Stopnja dokaza A
Polivinil klorid Natrijev klorid 0,9% 0.03 mg/ml
Brizgalka   Hydromorphone hydrochloride   
Brizgalka   Bupivacaine hydrochloride 2.5 mg/ml
25°C
30 Dan
Nedoločeno 4746
 Stopnja dokaza A
Polivinil klorid Natrijev klorid 0,9% 0.0015 mg/ml
Brizgalka   Hydromorphone hydrochloride   
Brizgalka   Bupivacaine hydrochloride 2.5 mg/ml
25°C
30 Dan
Nedoločeno 4746
 Stopnja dokaza A
Polivinil klorid Natrijev klorid 0,9% 0,5 mg/ml
Brizgalka   Hydromorphone hydrochloride   
Brizgalka   Fluorouracil 16 mg/ml
32°C
3 Dan
Nedoločeno 513
 Stopnja dokaza A+
Polivinil klorid Natrijev klorid 0,9% 0,5 mg/ml
Brizgalka   Hydromorphone hydrochloride   
Brizgalka   Ondansetron hydrochloride 0,1 & 1 mg/ml
32°C
7 Dan
Nedoločeno 6
 Stopnja dokaza A+
Polivinil klorid Natrijev klorid 0,9% 0,5 mg/ml
Brizgalka   Hydromorphone hydrochloride   
Brizgalka   Fluorouracil 1 mg/ml
32°C
7 Dan
Nedoločeno 513
 Stopnja dokaza A+
Polivinil klorid Natrijev klorid 0,9% 20 mg/ml
Brizgalka   Hydromorphone hydrochloride   
Brizgalka   Esketamine 20 mg/ml
37°C
7 Dan
Nedoločeno 4664
 Stopnja dokaza D
Polivinil klorid Natrijev klorid 0,9% 0,05 mg/ml
Brizgalka   Hydromorphone hydrochloride   
Brizgalka   Morphine hydrochloride 0,25 mg/ml
37°C
15 Dan
Nedoločeno 4667
 Stopnja dokaza D
Polivinil klorid Natrijev klorid 0,9% 0,5 mg/ml
Brizgalka   Hydromorphone hydrochloride   
Brizgalka   Ondansetron hydrochloride 0,1 & 1 mg/ml
4°C
31 Dan
Zaščiteno pred svetlobo 6
 Stopnja dokaza A+
Polivinil klorid Natrijev klorid 0,9% 0,5 mg/ml
Brizgalka   Hydromorphone hydrochloride   
Brizgalka   Fluorouracil 1 & 16 mg/ml
4°C
35 Dan
Zaščiteno pred svetlobo 513
 Stopnja dokaza A+
Polivinil klorid Natrijev klorid 0,9% 0.0015 mg/ml
Brizgalka   Hydromorphone hydrochloride   
Brizgalka   Bupivacaine hydrochloride 0.5 mg/ml
4°C
30 Dan
Nedoločeno 4746
 Stopnja dokaza A
Polivinil klorid Natrijev klorid 0,9% 0.03 mg/ml
Brizgalka   Hydromorphone hydrochloride   
Brizgalka   Bupivacaine hydrochloride 0.5 mg/ml
4°C
30 Dan
Nedoločeno 4746
 Stopnja dokaza A
Polivinil klorid Natrijev klorid 0,9% 0.03 mg/ml
Brizgalka   Hydromorphone hydrochloride   
Brizgalka   Bupivacaine hydrochloride 2.5 mg/ml
4°C
30 Dan
Nedoločeno 4746
 Stopnja dokaza A
Polivinil klorid Natrijev klorid 0,9% 0.0015 mg/ml
Brizgalka   Hydromorphone hydrochloride   
Brizgalka   Bupivacaine hydrochloride 2.5 mg/ml
4°C
30 Dan
Nedoločeno 4746
 Stopnja dokaza A
Polivinil klorid Natrijev klorid 0,9% 0,5 mg/ml
Brizgalka   Hydromorphone hydrochloride   
Brizgalka   Ondansetron hydrochloride 0,1 & 1 mg/ml
4°C-22°C
31 Dan
Nedoločeno 6
 Stopnja dokaza A+
Polivinil klorid Natrijev klorid 0,9% 0,5 mg/ml
Brizgalka   Hydromorphone hydrochloride   
Brizgalka   Granisetron hydrochloride 0,056 mg/ml
4°C-22°C
31 čas
Nedoločeno 6
 Stopnja dokaza A+
Polivinil klorid Natrijev klorid 0,9% 0,5 mg/ml
Brizgalka   Hydromorphone hydrochloride   
Brizgalka   Granisetron hydrochloride 0,056 mg/ml
4°C-22°C
31 čas
Nedoločeno 6
 Stopnja dokaza A+
Polivinil klorid Glukoza 5% 0,5 mg/ml
Brizgalka   Hydromorphone hydrochloride   
Brizgalka   Fluorouracil 1 & 16 mg/ml
-20°C
35 Dan
Zaščiteno pred svetlobo 513
 Stopnja dokaza A+
Polivinil klorid Glukoza 5% 0,5 mg/ml
Brizgalka   Hydromorphone hydrochloride   
Brizgalka   Fluorouracil 16 mg/ml
23°C
7 Dan
Nedoločeno 513
 Stopnja dokaza A+
Polivinil klorid Glukoza 5% 0,5 mg/ml
Brizgalka   Hydromorphone hydrochloride   
Brizgalka   Fluorouracil 1 mg/ml
23°C
35 Dan
Nedoločeno 513
 Stopnja dokaza A+
Polivinil klorid Glukoza 5% 0,5 mg/ml
Brizgalka   Hydromorphone hydrochloride   
Brizgalka   Fluorouracil 16 mg/ml
32°C
3 Dan
Nedoločeno 513
 Stopnja dokaza A+
Polivinil klorid Glukoza 5% 0,5 mg/ml
Brizgalka   Hydromorphone hydrochloride   
Brizgalka   Fluorouracil 1 mg/ml
32°C
7 Dan
Nedoločeno 513
 Stopnja dokaza A+
Polivinil klorid Glukoza 5% 0,5 mg/ml
Brizgalka   Hydromorphone hydrochloride   
Brizgalka   Fluorouracil 1 & 16 mg/ml
4°C
35 Dan
Zaščiteno pred svetlobo 513
 Stopnja dokaza A+
Polietilen Natrijev klorid 0,9% 0,05 mg/ml
Brizgalka   Hydromorphone hydrochloride   
Brizgalka   Morphine hydrochloride 0,25 mg/ml
25°C
15 Dan
Nedoločeno 4667
 Stopnja dokaza D
Polietilen Natrijev klorid 0,9% 0,05 mg/ml
Brizgalka   Hydromorphone hydrochloride   
Brizgalka   Morphine hydrochloride 0,25 mg/ml
37°C
15 Dan
Nedoločeno 4667
 Stopnja dokaza D
Poliolefin Natrijev klorid 0,9% 0.0015 mg/ml
Brizgalka   Hydromorphone hydrochloride   
Brizgalka   Bupivacaine hydrochloride 0.5 mg/ml
25°C
30 Dan
Nedoločeno 4746
 Stopnja dokaza A
Poliolefin Natrijev klorid 0,9% 0.03 mg/ml
Brizgalka   Hydromorphone hydrochloride   
Brizgalka   Bupivacaine hydrochloride 0.5 mg/ml
25°C
30 Dan
Nedoločeno 4746
 Stopnja dokaza A
Poliolefin Natrijev klorid 0,9% 0.03 mg/ml
Brizgalka   Hydromorphone hydrochloride   
Brizgalka   Bupivacaine hydrochloride 2.5 mg/ml
25°C
30 Dan
Nedoločeno 4746
 Stopnja dokaza A
Poliolefin Natrijev klorid 0,9% 0.0015 mg/ml
Brizgalka   Hydromorphone hydrochloride   
Brizgalka   Bupivacaine hydrochloride 2.5 mg/ml
25°C
30 Dan
Nedoločeno 4746
 Stopnja dokaza A
Poliolefin Natrijev klorid 0,9% 0.0015 mg/ml
Brizgalka   Hydromorphone hydrochloride   
Brizgalka   Bupivacaine hydrochloride 0.5 mg/ml
4°C
30 Dan
Nedoločeno 4746
 Stopnja dokaza A
Poliolefin Natrijev klorid 0,9% 0.03 mg/ml
Brizgalka   Hydromorphone hydrochloride   
Brizgalka   Bupivacaine hydrochloride 0.5 mg/ml
4°C
30 Dan
Nedoločeno 4746
 Stopnja dokaza A
Poliolefin Natrijev klorid 0,9% 0.03 mg/ml
Brizgalka   Hydromorphone hydrochloride   
Brizgalka   Bupivacaine hydrochloride 2.5 mg/ml
4°C
30 Dan
Nedoločeno 4746
 Stopnja dokaza A
Poliolefin Natrijev klorid 0,9% 0.0015 mg/ml
Brizgalka   Hydromorphone hydrochloride   
Brizgalka   Bupivacaine hydrochloride 2.5 mg/ml
4°C
30 Dan
Nedoločeno 4746
 Stopnja dokaza A
Brizgalka polipropilen Natrijev klorid 0,9% 0,02 & 0,04 mg/ml
Brizgalka   Hydromorphone hydrochloride   
Brizgalka   Bupivacaine hydrochloride 2,5 mg/ml
22°C
91 Dan
Svetloba 1931
 Stopnja dokaza A
Brizgalka polipropilen Natrijev klorid 0,9% 0,2 mg/ml
Brizgalka   Hydromorphone hydrochloride   
Brizgalka   Ketamine hydrochloride 0,2 >> 1 mg/ml
25°C
7 Dan
Zaščiteno pred svetlobo 2336
 Stopnja dokaza D
Brizgalka polipropilen Natrijev klorid 0,9% 10 mg/ml
Brizgalka   Hydromorphone hydrochloride   
Brizgalka   Scopolamine hydrobromide 0,04 mg/ml
Brizgalka   Famotidine 0,4 mg/ml
Brizgalka   Haloperidol lactate 0,5 mg/ml
Brizgalka   Dimenhydrinate 5 mg/ml
25°C
12 čas
Nedoločeno 2166
Brizgalka polipropilen Natrijev klorid 0,9% 10 mg/ml
Brizgalka   Hydromorphone hydrochloride   
Brizgalka   Famotidine 0,4 mg/ml
Brizgalka   Midazolam hydrochloride 1 mg/ml
25°C
96 čas
Nedoločeno 2166
Brizgalka polipropilen Natrijev klorid 0,9% 10 mg/ml
Brizgalka   Hydromorphone hydrochloride   
Brizgalka   Haloperidol lactate 0,5 mg/ml
Brizgalka   Metoclopramide hydrochloride 0,5 mg/ml
25°C
96 čas
Nedoločeno 2166
Brizgalka polipropilen Natrijev klorid 0,9% 10 mg/ml
Brizgalka   Hydromorphone hydrochloride   
Brizgalka   Famotidine 0,4 mg/ml
Brizgalka   Metoclopramide hydrochloride 0,5 mg/ml
Svečka   Ketoprofene   
25°C
96 čas
Nedoločeno 2166
Brizgalka polipropilen Natrijev klorid 0,9% 10 mg/ml
Brizgalka   Hydromorphone hydrochloride   
Brizgalka   Scopolamine hydrobromide 0,04 mg/ml
Brizgalka   Famotidine 0,4 mg/ml
Brizgalka   Haloperidol lactate 0,5 mg/ml
Brizgalka   Dimenhydrinate 5 mg/ml
4°C
12 čas
Nedoločeno 2166
Brizgalka polipropilen Natrijev klorid 0,9% 10 mg/ml
Brizgalka   Hydromorphone hydrochloride   
Brizgalka   Famotidine 0,4 mg/ml
Brizgalka   Midazolam hydrochloride 1 mg/ml
4°C
96 čas
Nedoločeno 2166
Brizgalka polipropilen Natrijev klorid 0,9% 10 mg/ml
Brizgalka   Hydromorphone hydrochloride   
Brizgalka   Famotidine 0,4 mg/ml
Brizgalka   Metoclopramide hydrochloride 0,5 mg/ml
Brizgalka   Ketorolac tromethamine 1,5 mg/ml
4°C
96 čas
Nedoločeno 2166
Brizgalka polipropilen Natrijev klorid 0,9% 0,02 & 0,04 mg/ml
Brizgalka   Hydromorphone hydrochloride   
Brizgalka   Bupivacaine hydrochloride 2,5 mg/ml
6°C
91 Dan
Zaščiteno pred svetlobo 1931
 Stopnja dokaza A
Poliizoprenski elastomer Natrijev klorid 0,9% 0,08 mg/ml
Brizgalka   Hydromorphone hydrochloride   
Brizgalka   Fentanyl citrate 16 µg/ml
Brizgalka   Nefopam 0,8 mg/ml
Brizgalka   Ramosetron hydrochloride 12 µg/ml
24°C
4 Dan
Zaščiteno pred svetlobo 4666
 Stopnja dokaza D
Poliizoprenski elastomer Natrijev klorid 0,9% 0,08 mg/ml
Brizgalka   Hydromorphone hydrochloride   
Brizgalka   Fentanyl citrate 16 µg/ml
Brizgalka   Nefopam 0,8 mg/ml
Brizgalka   Ondansetron hydrochloride 0,32 mg/ml
24°C
4 Dan
Zaščiteno pred svetlobo 4666
 Stopnja dokaza D
Nedoločeno Natrijev klorid 0,9% 2 & 20 mg/ml
Brizgalka   Hydromorphone hydrochloride   
Brizgalka   Midazolam hydrochloride 0.1 & 0.5 mg/ml
23°C
23 Dan
Zaščiteno pred svetlobo 345
 Stopnja dokaza A
Nedoločeno Natrijev klorid 0,9% 35 mg/ml
Brizgalka   Hydromorphone hydrochloride   
Brizgalka   Ziconotide acetate 25 µg/ml
37°C
19 Dan
Zaščiteno pred svetlobo 2251
 Stopnja dokaza D
Nedoločeno Natrijev klorid 0,9% 50 mg/ml
Brizgalka   Hydromorphone hydrochloride   
Brizgalka   Bupivacaine hydrochloride 24 mg/ml
Brizgalka   Clonidine hydrochloride 2 mg/ml
37°C
90 Dan
Zaščiteno pred svetlobo 2305
Nedoločeno Natrijev klorid 0,9% 2 & 20 mg/ml
Brizgalka   Hydromorphone hydrochloride   
Brizgalka   Midazolam hydrochloride 0.1 & 0.5 mg/ml
4°C
23 Dan
Zaščiteno pred svetlobo 345
 Stopnja dokaza A
Nedoločeno Glukoza 5% 2 & 20 mg/ml
Brizgalka   Hydromorphone hydrochloride   
Brizgalka   Midazolam hydrochloride 0.1 & 0.5 mg/ml
23°C
23 Dan
Zaščiteno pred svetlobo 345
 Stopnja dokaza A
Nedoločeno Glukoza 5% 2 & 20 mg/ml
Brizgalka   Hydromorphone hydrochloride   
Brizgalka   Midazolam hydrochloride 0.1 & 0.5 mg/ml
4°C
23 Dan
Zaščiteno pred svetlobo 345
 Stopnja dokaza A
Nedoločeno Nobeden 15 mg/ml
Brizgalka   Hydromorphone hydrochloride   
Brizgalka   Bupivacaine hydrochloride 10 mg/ml
37°C
90 Dan
Zaščiteno pred svetlobo 4200
 Stopnja dokaza A

  Mentions Légales