Ultimele actualizari :
27/04/2026
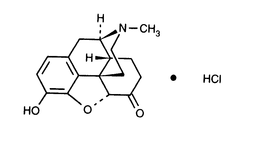
Antialgic   Hydromorphone hydrochloride  
Injectabil
Stabilitatea in solutie Stabilitatea in amestec Factorii care influenteaza stabilitatea Compatibilitate Microunde Bibliografie pdf
   Formula chimica  

Denumirea comerciala   Denumirea comerciala     

Trade names are indicative and excipients composition can be different depending on the country and manufacturers

Dilaudid Canada, SUA
Hydal Austria
Palladon Danemarca, Elvetia
Palladone Marea Britanie
Stabilitatea in amestec   Injectabil   Stabilitatea in amestec : Hydromorphone hydrochloride     
Continut Solvent Concentratie Molecula (substanta activa) Temperatura Conservare Durata stabilității Bibiografie
sticla clorura de sodiu 0,9% 0,25 mg/ml
Injectabil   Hydromorphone hydrochloride   
Injectabil   Granisetron hydrochloride 0,5 mg/ml
20°C-23°C
4 Ora
Ferit de lumina 57
Nivel de evidență A+
sticla clorura de sodiu 0,9% 0,2 mg/ml
Injectabil   Hydromorphone hydrochloride   
Injectabil   Ketamine hydrochloride 0,2 >> 1 mg/ml
25°C
7 Ziua
Ferit de lumina 2336
Nivel de evidență D
sticla clorura de sodiu 0,9% 0,05 mg/ml
Injectabil   Hydromorphone hydrochloride   
Injectabil   Morphine hydrochloride 0,25 mg/ml
25°C
15 Ziua
Neprecizat 4667
Nivel de evidență D
sticla clorura de sodiu 0,9% 0,05 mg/ml
Injectabil   Hydromorphone hydrochloride   
Injectabil   Morphine hydrochloride 0,25 mg/ml
37°C
15 Ziua
Neprecizat 4667
Nivel de evidență D
sticla Glucoza 5% 0,1 & 1 mg/ml
Injectabil   Hydromorphone hydrochloride   
Injectabil   Tacrolimus 5 & 20 µg/ml
23°C-25°C
4 Ora
Lumina 814
Nivel de evidență A
sticla fara 2 & 10 & 40 mg/ml
Injectabil   Hydromorphone hydrochloride   
Injectabil   Dimenhydrinate 50 mg/ml
23°C
24 Ora
Neprecizat 1497
Nivel de evidență B
sticla fara 0,25 mg/ml
Injectabil   Hydromorphone hydrochloride   
Injectabil   Palonosetron hydrochloride 25 µg/ml
25°C
4 Ora
Lumina 2196
Nivel de evidență A+
sticla fara 2 & 10 & 40 mg/ml
Injectabil   Hydromorphone hydrochloride   
Injectabil   Dimenhydrinate 50 mg/ml
37°C
24 Ora
Neprecizat 1497
Nivel de evidență B
sticla fara 2 & 10 & 40 mg/ml
Injectabil   Hydromorphone hydrochloride   
Injectabil   Dimenhydrinate 50 mg/ml
4°C
24 Ora
Ferit de lumina 1497
Nivel de evidență B
clorura de polivinil clorura de sodiu 0,9% 0,5 mg/ml
Injectabil   Hydromorphone hydrochloride   
Injectabil   Fluorouracil 1 & 16 mg/ml
-20°C
35 Ziua
Ferit de lumina 513
Nivel de evidență A+
clorura de polivinil clorura de sodiu 0,9% 20 mg/ml
Injectabil   Hydromorphone hydrochloride   
Injectabil   Esketamine 20 mg/ml
22°C
7 Ziua
Neprecizat 4664
Nivel de evidență D
clorura de polivinil clorura de sodiu 0,9% 0,5 mg/ml
Injectabil   Hydromorphone hydrochloride   
Injectabil   Ondansetron hydrochloride 0,1 & 1 mg/ml
22°C
31 Ziua
Neprecizat 6
Nivel de evidență A+
clorura de polivinil clorura de sodiu 0,9% 0,5 mg/ml
Injectabil   Hydromorphone hydrochloride   
Injectabil   Fluorouracil 16 mg/ml
23°C
7 Ziua
Neprecizat 513
Nivel de evidență A+
clorura de polivinil clorura de sodiu 0,9% 0,5 mg/ml
Injectabil   Hydromorphone hydrochloride   
Injectabil   Fluorouracil 1 mg/ml
23°C
35 Ziua
Neprecizat 513
Nivel de evidență A+
clorura de polivinil clorura de sodiu 0,9% 0,02 & 0,1 mg/ml
Injectabil   Hydromorphone hydrochloride   
Injectabil   Bupivacaine hydrochloride 0,62 & 1,2 mg/ml
23°C-25°C
72 Ora
Lumina 306
Nivel de evidență A
clorura de polivinil clorura de sodiu 0,9% 0,2 mg/ml
Injectabil   Hydromorphone hydrochloride   
Injectabil   Ketamine hydrochloride 0,2 >> 1 mg/ml
25°C
7 Ziua
Ferit de lumina 2336
Nivel de evidență D
clorura de polivinil clorura de sodiu 0,9% 0,05 mg/ml
Injectabil   Hydromorphone hydrochloride   
Injectabil   Morphine hydrochloride 0,25 mg/ml
25°C
15 Ziua
Neprecizat 4667
Nivel de evidență D
clorura de polivinil clorura de sodiu 0,9% 0.0015 mg/ml
Injectabil   Hydromorphone hydrochloride   
Injectabil   Bupivacaine hydrochloride 0.5 mg/ml
25°C
30 Ziua
Neprecizat 4746
Nivel de evidență A
clorura de polivinil clorura de sodiu 0,9% 0.03 mg/ml
Injectabil   Hydromorphone hydrochloride   
Injectabil   Bupivacaine hydrochloride 0.5 mg/ml
25°C
30 Ziua
Neprecizat 4746
Nivel de evidență A
clorura de polivinil clorura de sodiu 0,9% 0.03 mg/ml
Injectabil   Hydromorphone hydrochloride   
Injectabil   Bupivacaine hydrochloride 2.5 mg/ml
25°C
30 Ziua
Neprecizat 4746
Nivel de evidență A
clorura de polivinil clorura de sodiu 0,9% 0.0015 mg/ml
Injectabil   Hydromorphone hydrochloride   
Injectabil   Bupivacaine hydrochloride 2.5 mg/ml
25°C
30 Ziua
Neprecizat 4746
Nivel de evidență A
clorura de polivinil clorura de sodiu 0,9% 0,5 mg/ml
Injectabil   Hydromorphone hydrochloride   
Injectabil   Fluorouracil 16 mg/ml
32°C
3 Ziua
Neprecizat 513
Nivel de evidență A+
clorura de polivinil clorura de sodiu 0,9% 0,5 mg/ml
Injectabil   Hydromorphone hydrochloride   
Injectabil   Ondansetron hydrochloride 0,1 & 1 mg/ml
32°C
7 Ziua
Neprecizat 6
Nivel de evidență A+
clorura de polivinil clorura de sodiu 0,9% 0,5 mg/ml
Injectabil   Hydromorphone hydrochloride   
Injectabil   Fluorouracil 1 mg/ml
32°C
7 Ziua
Neprecizat 513
Nivel de evidență A+
clorura de polivinil clorura de sodiu 0,9% 20 mg/ml
Injectabil   Hydromorphone hydrochloride   
Injectabil   Esketamine 20 mg/ml
37°C
7 Ziua
Neprecizat 4664
Nivel de evidență D
clorura de polivinil clorura de sodiu 0,9% 0,05 mg/ml
Injectabil   Hydromorphone hydrochloride   
Injectabil   Morphine hydrochloride 0,25 mg/ml
37°C
15 Ziua
Neprecizat 4667
Nivel de evidență D
clorura de polivinil clorura de sodiu 0,9% 0,5 mg/ml
Injectabil   Hydromorphone hydrochloride   
Injectabil   Ondansetron hydrochloride 0,1 & 1 mg/ml
4°C
31 Ziua
Ferit de lumina 6
Nivel de evidență A+
clorura de polivinil clorura de sodiu 0,9% 0,5 mg/ml
Injectabil   Hydromorphone hydrochloride   
Injectabil   Fluorouracil 1 & 16 mg/ml
4°C
35 Ziua
Ferit de lumina 513
Nivel de evidență A+
clorura de polivinil clorura de sodiu 0,9% 0.0015 mg/ml
Injectabil   Hydromorphone hydrochloride   
Injectabil   Bupivacaine hydrochloride 0.5 mg/ml
4°C
30 Ziua
Neprecizat 4746
Nivel de evidență A
clorura de polivinil clorura de sodiu 0,9% 0.03 mg/ml
Injectabil   Hydromorphone hydrochloride   
Injectabil   Bupivacaine hydrochloride 0.5 mg/ml
4°C
30 Ziua
Neprecizat 4746
Nivel de evidență A
clorura de polivinil clorura de sodiu 0,9% 0.03 mg/ml
Injectabil   Hydromorphone hydrochloride   
Injectabil   Bupivacaine hydrochloride 2.5 mg/ml
4°C
30 Ziua
Neprecizat 4746
Nivel de evidență A
clorura de polivinil clorura de sodiu 0,9% 0.0015 mg/ml
Injectabil   Hydromorphone hydrochloride   
Injectabil   Bupivacaine hydrochloride 2.5 mg/ml
4°C
30 Ziua
Neprecizat 4746
Nivel de evidență A
clorura de polivinil clorura de sodiu 0,9% 0,5 mg/ml
Injectabil   Hydromorphone hydrochloride   
Injectabil   Ondansetron hydrochloride 0,1 & 1 mg/ml
4°C-22°C
31 Ziua
Neprecizat 6
Nivel de evidență A+
clorura de polivinil clorura de sodiu 0,9% 0,5 mg/ml
Injectabil   Hydromorphone hydrochloride   
Injectabil   Granisetron hydrochloride 0,056 mg/ml
4°C-22°C
31 Ora
Neprecizat 6
Nivel de evidență A+
clorura de polivinil clorura de sodiu 0,9% 0,5 mg/ml
Injectabil   Hydromorphone hydrochloride   
Injectabil   Granisetron hydrochloride 0,056 mg/ml
4°C-22°C
31 Ora
Neprecizat 6
Nivel de evidență A+
clorura de polivinil Glucoza 5% 0,5 mg/ml
Injectabil   Hydromorphone hydrochloride   
Injectabil   Fluorouracil 1 & 16 mg/ml
-20°C
35 Ziua
Ferit de lumina 513
Nivel de evidență A+
clorura de polivinil Glucoza 5% 0,5 mg/ml
Injectabil   Hydromorphone hydrochloride   
Injectabil   Fluorouracil 16 mg/ml
23°C
7 Ziua
Neprecizat 513
Nivel de evidență A+
clorura de polivinil Glucoza 5% 0,5 mg/ml
Injectabil   Hydromorphone hydrochloride   
Injectabil   Fluorouracil 1 mg/ml
23°C
35 Ziua
Neprecizat 513
Nivel de evidență A+
clorura de polivinil Glucoza 5% 0,5 mg/ml
Injectabil   Hydromorphone hydrochloride   
Injectabil   Fluorouracil 16 mg/ml
32°C
3 Ziua
Neprecizat 513
Nivel de evidență A+
clorura de polivinil Glucoza 5% 0,5 mg/ml
Injectabil   Hydromorphone hydrochloride   
Injectabil   Fluorouracil 1 mg/ml
32°C
7 Ziua
Neprecizat 513
Nivel de evidență A+
clorura de polivinil Glucoza 5% 0,5 mg/ml
Injectabil   Hydromorphone hydrochloride   
Injectabil   Fluorouracil 1 & 16 mg/ml
4°C
35 Ziua
Ferit de lumina 513
Nivel de evidență A+
polietilen clorura de sodiu 0,9% 0,05 mg/ml
Injectabil   Hydromorphone hydrochloride   
Injectabil   Morphine hydrochloride 0,25 mg/ml
25°C
15 Ziua
Neprecizat 4667
Nivel de evidență D
polietilen clorura de sodiu 0,9% 0,05 mg/ml
Injectabil   Hydromorphone hydrochloride   
Injectabil   Morphine hydrochloride 0,25 mg/ml
37°C
15 Ziua
Neprecizat 4667
Nivel de evidență D
poliolefine clorura de sodiu 0,9% 0.0015 mg/ml
Injectabil   Hydromorphone hydrochloride   
Injectabil   Bupivacaine hydrochloride 0.5 mg/ml
25°C
30 Ziua
Neprecizat 4746
Nivel de evidență A
poliolefine clorura de sodiu 0,9% 0.03 mg/ml
Injectabil   Hydromorphone hydrochloride   
Injectabil   Bupivacaine hydrochloride 0.5 mg/ml
25°C
30 Ziua
Neprecizat 4746
Nivel de evidență A
poliolefine clorura de sodiu 0,9% 0.03 mg/ml
Injectabil   Hydromorphone hydrochloride   
Injectabil   Bupivacaine hydrochloride 2.5 mg/ml
25°C
30 Ziua
Neprecizat 4746
Nivel de evidență A
poliolefine clorura de sodiu 0,9% 0.0015 mg/ml
Injectabil   Hydromorphone hydrochloride   
Injectabil   Bupivacaine hydrochloride 2.5 mg/ml
25°C
30 Ziua
Neprecizat 4746
Nivel de evidență A
poliolefine clorura de sodiu 0,9% 0.0015 mg/ml
Injectabil   Hydromorphone hydrochloride   
Injectabil   Bupivacaine hydrochloride 0.5 mg/ml
4°C
30 Ziua
Neprecizat 4746
Nivel de evidență A
poliolefine clorura de sodiu 0,9% 0.03 mg/ml
Injectabil   Hydromorphone hydrochloride   
Injectabil   Bupivacaine hydrochloride 0.5 mg/ml
4°C
30 Ziua
Neprecizat 4746
Nivel de evidență A
poliolefine clorura de sodiu 0,9% 0.03 mg/ml
Injectabil   Hydromorphone hydrochloride   
Injectabil   Bupivacaine hydrochloride 2.5 mg/ml
4°C
30 Ziua
Neprecizat 4746
Nivel de evidență A
poliolefine clorura de sodiu 0,9% 0.0015 mg/ml
Injectabil   Hydromorphone hydrochloride   
Injectabil   Bupivacaine hydrochloride 2.5 mg/ml
4°C
30 Ziua
Neprecizat 4746
Nivel de evidență A
seringă polipropileno clorura de sodiu 0,9% 0,02 & 0,04 mg/ml
Injectabil   Hydromorphone hydrochloride   
Injectabil   Bupivacaine hydrochloride 2,5 mg/ml
22°C
91 Ziua
Lumina 1931
Nivel de evidență A
seringă polipropileno clorura de sodiu 0,9% 0,2 mg/ml
Injectabil   Hydromorphone hydrochloride   
Injectabil   Ketamine hydrochloride 0,2 >> 1 mg/ml
25°C
7 Ziua
Ferit de lumina 2336
Nivel de evidență D
seringă polipropileno clorura de sodiu 0,9% 10 mg/ml
Injectabil   Hydromorphone hydrochloride   
Injectabil   Scopolamine hydrobromide 0,04 mg/ml
Injectabil   Famotidine 0,4 mg/ml
Injectabil   Haloperidol lactate 0,5 mg/ml
Injectabil   Dimenhydrinate 5 mg/ml
25°C
12 Ora
Neprecizat 2166
seringă polipropileno clorura de sodiu 0,9% 10 mg/ml
Injectabil   Hydromorphone hydrochloride   
Injectabil   Famotidine 0,4 mg/ml
Injectabil   Midazolam hydrochloride 1 mg/ml
25°C
96 Ora
Neprecizat 2166
seringă polipropileno clorura de sodiu 0,9% 10 mg/ml
Injectabil   Hydromorphone hydrochloride   
Injectabil   Haloperidol lactate 0,5 mg/ml
Injectabil   Metoclopramide hydrochloride 0,5 mg/ml
25°C
96 Ora
Neprecizat 2166
seringă polipropileno clorura de sodiu 0,9% 10 mg/ml
Injectabil   Hydromorphone hydrochloride   
Injectabil   Famotidine 0,4 mg/ml
Injectabil   Metoclopramide hydrochloride 0,5 mg/ml
Supozitoare   Ketoprofene   
25°C
96 Ora
Neprecizat 2166
seringă polipropileno clorura de sodiu 0,9% 10 mg/ml
Injectabil   Hydromorphone hydrochloride   
Injectabil   Scopolamine hydrobromide 0,04 mg/ml
Injectabil   Famotidine 0,4 mg/ml
Injectabil   Haloperidol lactate 0,5 mg/ml
Injectabil   Dimenhydrinate 5 mg/ml
4°C
12 Ora
Neprecizat 2166
seringă polipropileno clorura de sodiu 0,9% 10 mg/ml
Injectabil   Hydromorphone hydrochloride   
Injectabil   Famotidine 0,4 mg/ml
Injectabil   Midazolam hydrochloride 1 mg/ml
4°C
96 Ora
Neprecizat 2166
seringă polipropileno clorura de sodiu 0,9% 10 mg/ml
Injectabil   Hydromorphone hydrochloride   
Injectabil   Famotidine 0,4 mg/ml
Injectabil   Metoclopramide hydrochloride 0,5 mg/ml
Injectabil   Ketorolac tromethamine 1,5 mg/ml
4°C
96 Ora
Neprecizat 2166
seringă polipropileno clorura de sodiu 0,9% 0,02 & 0,04 mg/ml
Injectabil   Hydromorphone hydrochloride   
Injectabil   Bupivacaine hydrochloride 2,5 mg/ml
6°C
91 Ziua
Ferit de lumina 1931
Nivel de evidență A
Elastomer poliizoprenic clorura de sodiu 0,9% 0,08 mg/ml
Injectabil   Hydromorphone hydrochloride   
Injectabil   Fentanyl citrate 16 µg/ml
Injectabil   Nefopam 0,8 mg/ml
Injectabil   Ramosetron hydrochloride 12 µg/ml
24°C
4 Ziua
Ferit de lumina 4666
Nivel de evidență D
Elastomer poliizoprenic clorura de sodiu 0,9% 0,08 mg/ml
Injectabil   Hydromorphone hydrochloride   
Injectabil   Fentanyl citrate 16 µg/ml
Injectabil   Nefopam 0,8 mg/ml
Injectabil   Ondansetron hydrochloride 0,32 mg/ml
24°C
4 Ziua
Ferit de lumina 4666
Nivel de evidență D
neprecizat clorura de sodiu 0,9% 2 & 20 mg/ml
Injectabil   Hydromorphone hydrochloride   
Injectabil   Midazolam hydrochloride 0.1 & 0.5 mg/ml
23°C
23 Ziua
Ferit de lumina 345
Nivel de evidență A
neprecizat clorura de sodiu 0,9% 35 mg/ml
Injectabil   Hydromorphone hydrochloride   
Injectabil   Ziconotide acetate 25 µg/ml
37°C
19 Ziua
Ferit de lumina 2251
Nivel de evidență D
neprecizat clorura de sodiu 0,9% 50 mg/ml
Injectabil   Hydromorphone hydrochloride   
Injectabil   Bupivacaine hydrochloride 24 mg/ml
Injectabil   Clonidine hydrochloride 2 mg/ml
37°C
90 Ziua
Ferit de lumina 2305
neprecizat clorura de sodiu 0,9% 2 & 20 mg/ml
Injectabil   Hydromorphone hydrochloride   
Injectabil   Midazolam hydrochloride 0.1 & 0.5 mg/ml
4°C
23 Ziua
Ferit de lumina 345
Nivel de evidență A
neprecizat Glucoza 5% 2 & 20 mg/ml
Injectabil   Hydromorphone hydrochloride   
Injectabil   Midazolam hydrochloride 0.1 & 0.5 mg/ml
23°C
23 Ziua
Ferit de lumina 345
Nivel de evidență A
neprecizat Glucoza 5% 2 & 20 mg/ml
Injectabil   Hydromorphone hydrochloride   
Injectabil   Midazolam hydrochloride 0.1 & 0.5 mg/ml
4°C
23 Ziua
Ferit de lumina 345
Nivel de evidență A
neprecizat fara 15 mg/ml
Injectabil   Hydromorphone hydrochloride   
Injectabil   Bupivacaine hydrochloride 10 mg/ml
37°C
90 Ziua
Ferit de lumina 4200
Nivel de evidență A

  Mentions Légales