Zadnji put ažurirano :
27/04/2026
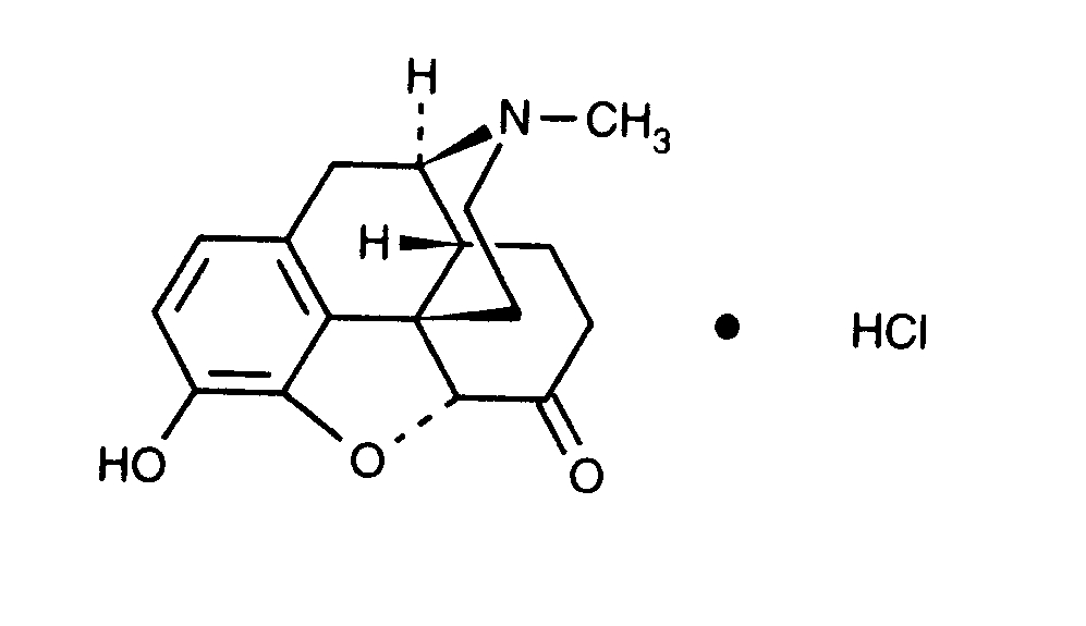
analgetik   Hydromorphone hydrochloride  
injekcija
Stabilizacija rješenja Stabilnost mješavine Stabilizacijski faktor Kompatibilnosti način davanja lijeka Bibliografija pdf
   Kemijska struktura  

Nekomercijalni   Nekomercijalni     

Zaštićeni nazivi su indikativni i sastav ekscipijensa može biti različit ovisno o državi i laboratorijima

Dilaudid Kanada, S A D
Hydal Austrija
Palladon Danska, Švicarska
Palladone Velika Britanija
Stabilnost mješavine   injekcija   Stabilnost mješavine : Hydromorphone hydrochloride     
Kontejner sredstvo za rastapanje koncentracija molekula temperatura Konzerviranje Trajanje stabilnosti Bibliografija
čaša natrijumkorid 0,9% 0,25 mg/ml
injekcija   Hydromorphone hydrochloride   
injekcija   Granisetron hydrochloride 0,5 mg/ml
20°C-23°C
4 sat
Zaštićeno od svjetlosti 57
Razina dokaza A+
čaša natrijumkorid 0,9% 0,2 mg/ml
injekcija   Hydromorphone hydrochloride   
injekcija   Ketamine hydrochloride 0,2 >> 1 mg/ml
25°C
7 dan
Zaštićeno od svjetlosti 2336
Razina dokaza D
čaša natrijumkorid 0,9% 0,05 mg/ml
injekcija   Hydromorphone hydrochloride   
injekcija   Morphine hydrochloride 0,25 mg/ml
25°C
15 dan
nespecifičan 4667
Razina dokaza D
čaša natrijumkorid 0,9% 0,05 mg/ml
injekcija   Hydromorphone hydrochloride   
injekcija   Morphine hydrochloride 0,25 mg/ml
37°C
15 dan
nespecifičan 4667
Razina dokaza D
čaša glukoza 5% 0,1 & 1 mg/ml
injekcija   Hydromorphone hydrochloride   
injekcija   Tacrolimus 5 & 20 µg/ml
23°C-25°C
4 sat
svjetlost 814
Razina dokaza A
čaša nijedan 2 & 10 & 40 mg/ml
injekcija   Hydromorphone hydrochloride   
injekcija   Dimenhydrinate 50 mg/ml
23°C
24 sat
nespecifičan 1497
Razina dokaza B
čaša nijedan 0,25 mg/ml
injekcija   Hydromorphone hydrochloride   
injekcija   Palonosetron hydrochloride 25 µg/ml
25°C
4 sat
svjetlost 2196
Razina dokaza A+
čaša nijedan 2 & 10 & 40 mg/ml
injekcija   Hydromorphone hydrochloride   
injekcija   Dimenhydrinate 50 mg/ml
37°C
24 sat
nespecifičan 1497
Razina dokaza B
čaša nijedan 2 & 10 & 40 mg/ml
injekcija   Hydromorphone hydrochloride   
injekcija   Dimenhydrinate 50 mg/ml
4°C
24 sat
Zaštićeno od svjetlosti 1497
Razina dokaza B
polivinilklorid natrijumkorid 0,9% 0,5 mg/ml
injekcija   Hydromorphone hydrochloride   
injekcija   Fluorouracil 1 & 16 mg/ml
-20°C
35 dan
Zaštićeno od svjetlosti 513
Razina dokaza A+
polivinilklorid natrijumkorid 0,9% 20 mg/ml
injekcija   Hydromorphone hydrochloride   
injekcija   Esketamine 20 mg/ml
22°C
7 dan
nespecifičan 4664
Razina dokaza D
polivinilklorid natrijumkorid 0,9% 0,5 mg/ml
injekcija   Hydromorphone hydrochloride   
injekcija   Ondansetron hydrochloride 0,1 & 1 mg/ml
22°C
31 dan
nespecifičan 6
Razina dokaza A+
polivinilklorid natrijumkorid 0,9% 0,5 mg/ml
injekcija   Hydromorphone hydrochloride   
injekcija   Fluorouracil 16 mg/ml
23°C
7 dan
nespecifičan 513
Razina dokaza A+
polivinilklorid natrijumkorid 0,9% 0,5 mg/ml
injekcija   Hydromorphone hydrochloride   
injekcija   Fluorouracil 1 mg/ml
23°C
35 dan
nespecifičan 513
Razina dokaza A+
polivinilklorid natrijumkorid 0,9% 0,02 & 0,1 mg/ml
injekcija   Hydromorphone hydrochloride   
injekcija   Bupivacaine hydrochloride 0,62 & 1,2 mg/ml
23°C-25°C
72 sat
svjetlost 306
Razina dokaza A
polivinilklorid natrijumkorid 0,9% 0,2 mg/ml
injekcija   Hydromorphone hydrochloride   
injekcija   Ketamine hydrochloride 0,2 >> 1 mg/ml
25°C
7 dan
Zaštićeno od svjetlosti 2336
Razina dokaza D
polivinilklorid natrijumkorid 0,9% 0,05 mg/ml
injekcija   Hydromorphone hydrochloride   
injekcija   Morphine hydrochloride 0,25 mg/ml
25°C
15 dan
nespecifičan 4667
Razina dokaza D
polivinilklorid natrijumkorid 0,9% 0.0015 mg/ml
injekcija   Hydromorphone hydrochloride   
injekcija   Bupivacaine hydrochloride 0.5 mg/ml
25°C
30 dan
nespecifičan 4746
Razina dokaza A
polivinilklorid natrijumkorid 0,9% 0.03 mg/ml
injekcija   Hydromorphone hydrochloride   
injekcija   Bupivacaine hydrochloride 0.5 mg/ml
25°C
30 dan
nespecifičan 4746
Razina dokaza A
polivinilklorid natrijumkorid 0,9% 0.03 mg/ml
injekcija   Hydromorphone hydrochloride   
injekcija   Bupivacaine hydrochloride 2.5 mg/ml
25°C
30 dan
nespecifičan 4746
Razina dokaza A
polivinilklorid natrijumkorid 0,9% 0.0015 mg/ml
injekcija   Hydromorphone hydrochloride   
injekcija   Bupivacaine hydrochloride 2.5 mg/ml
25°C
30 dan
nespecifičan 4746
Razina dokaza A
polivinilklorid natrijumkorid 0,9% 0,5 mg/ml
injekcija   Hydromorphone hydrochloride   
injekcija   Fluorouracil 16 mg/ml
32°C
3 dan
nespecifičan 513
Razina dokaza A+
polivinilklorid natrijumkorid 0,9% 0,5 mg/ml
injekcija   Hydromorphone hydrochloride   
injekcija   Ondansetron hydrochloride 0,1 & 1 mg/ml
32°C
7 dan
nespecifičan 6
Razina dokaza A+
polivinilklorid natrijumkorid 0,9% 0,5 mg/ml
injekcija   Hydromorphone hydrochloride   
injekcija   Fluorouracil 1 mg/ml
32°C
7 dan
nespecifičan 513
Razina dokaza A+
polivinilklorid natrijumkorid 0,9% 20 mg/ml
injekcija   Hydromorphone hydrochloride   
injekcija   Esketamine 20 mg/ml
37°C
7 dan
nespecifičan 4664
Razina dokaza D
polivinilklorid natrijumkorid 0,9% 0,05 mg/ml
injekcija   Hydromorphone hydrochloride   
injekcija   Morphine hydrochloride 0,25 mg/ml
37°C
15 dan
nespecifičan 4667
Razina dokaza D
polivinilklorid natrijumkorid 0,9% 0,5 mg/ml
injekcija   Hydromorphone hydrochloride   
injekcija   Ondansetron hydrochloride 0,1 & 1 mg/ml
4°C
31 dan
Zaštićeno od svjetlosti 6
Razina dokaza A+
polivinilklorid natrijumkorid 0,9% 0,5 mg/ml
injekcija   Hydromorphone hydrochloride   
injekcija   Fluorouracil 1 & 16 mg/ml
4°C
35 dan
Zaštićeno od svjetlosti 513
Razina dokaza A+
polivinilklorid natrijumkorid 0,9% 0.0015 mg/ml
injekcija   Hydromorphone hydrochloride   
injekcija   Bupivacaine hydrochloride 0.5 mg/ml
4°C
30 dan
nespecifičan 4746
Razina dokaza A
polivinilklorid natrijumkorid 0,9% 0.03 mg/ml
injekcija   Hydromorphone hydrochloride   
injekcija   Bupivacaine hydrochloride 0.5 mg/ml
4°C
30 dan
nespecifičan 4746
Razina dokaza A
polivinilklorid natrijumkorid 0,9% 0.03 mg/ml
injekcija   Hydromorphone hydrochloride   
injekcija   Bupivacaine hydrochloride 2.5 mg/ml
4°C
30 dan
nespecifičan 4746
Razina dokaza A
polivinilklorid natrijumkorid 0,9% 0.0015 mg/ml
injekcija   Hydromorphone hydrochloride   
injekcija   Bupivacaine hydrochloride 2.5 mg/ml
4°C
30 dan
nespecifičan 4746
Razina dokaza A
polivinilklorid natrijumkorid 0,9% 0,5 mg/ml
injekcija   Hydromorphone hydrochloride   
injekcija   Ondansetron hydrochloride 0,1 & 1 mg/ml
4°C-22°C
31 dan
nespecifičan 6
Razina dokaza A+
polivinilklorid natrijumkorid 0,9% 0,5 mg/ml
injekcija   Hydromorphone hydrochloride   
injekcija   Granisetron hydrochloride 0,056 mg/ml
4°C-22°C
31 sat
nespecifičan 6
Razina dokaza A+
polivinilklorid natrijumkorid 0,9% 0,5 mg/ml
injekcija   Hydromorphone hydrochloride   
injekcija   Granisetron hydrochloride 0,056 mg/ml
4°C-22°C
31 sat
nespecifičan 6
Razina dokaza A+
polivinilklorid glukoza 5% 0,5 mg/ml
injekcija   Hydromorphone hydrochloride   
injekcija   Fluorouracil 1 & 16 mg/ml
-20°C
35 dan
Zaštićeno od svjetlosti 513
Razina dokaza A+
polivinilklorid glukoza 5% 0,5 mg/ml
injekcija   Hydromorphone hydrochloride   
injekcija   Fluorouracil 16 mg/ml
23°C
7 dan
nespecifičan 513
Razina dokaza A+
polivinilklorid glukoza 5% 0,5 mg/ml
injekcija   Hydromorphone hydrochloride   
injekcija   Fluorouracil 1 mg/ml
23°C
35 dan
nespecifičan 513
Razina dokaza A+
polivinilklorid glukoza 5% 0,5 mg/ml
injekcija   Hydromorphone hydrochloride   
injekcija   Fluorouracil 16 mg/ml
32°C
3 dan
nespecifičan 513
Razina dokaza A+
polivinilklorid glukoza 5% 0,5 mg/ml
injekcija   Hydromorphone hydrochloride   
injekcija   Fluorouracil 1 mg/ml
32°C
7 dan
nespecifičan 513
Razina dokaza A+
polivinilklorid glukoza 5% 0,5 mg/ml
injekcija   Hydromorphone hydrochloride   
injekcija   Fluorouracil 1 & 16 mg/ml
4°C
35 dan
Zaštićeno od svjetlosti 513
Razina dokaza A+
polietilen natrijumkorid 0,9% 0,05 mg/ml
injekcija   Hydromorphone hydrochloride   
injekcija   Morphine hydrochloride 0,25 mg/ml
25°C
15 dan
nespecifičan 4667
Razina dokaza D
polietilen natrijumkorid 0,9% 0,05 mg/ml
injekcija   Hydromorphone hydrochloride   
injekcija   Morphine hydrochloride 0,25 mg/ml
37°C
15 dan
nespecifičan 4667
Razina dokaza D
poliolefin natrijumkorid 0,9% 0.0015 mg/ml
injekcija   Hydromorphone hydrochloride   
injekcija   Bupivacaine hydrochloride 0.5 mg/ml
25°C
30 dan
nespecifičan 4746
Razina dokaza A
poliolefin natrijumkorid 0,9% 0.03 mg/ml
injekcija   Hydromorphone hydrochloride   
injekcija   Bupivacaine hydrochloride 0.5 mg/ml
25°C
30 dan
nespecifičan 4746
Razina dokaza A
poliolefin natrijumkorid 0,9% 0.03 mg/ml
injekcija   Hydromorphone hydrochloride   
injekcija   Bupivacaine hydrochloride 2.5 mg/ml
25°C
30 dan
nespecifičan 4746
Razina dokaza A
poliolefin natrijumkorid 0,9% 0.0015 mg/ml
injekcija   Hydromorphone hydrochloride   
injekcija   Bupivacaine hydrochloride 2.5 mg/ml
25°C
30 dan
nespecifičan 4746
Razina dokaza A
poliolefin natrijumkorid 0,9% 0.0015 mg/ml
injekcija   Hydromorphone hydrochloride   
injekcija   Bupivacaine hydrochloride 0.5 mg/ml
4°C
30 dan
nespecifičan 4746
Razina dokaza A
poliolefin natrijumkorid 0,9% 0.03 mg/ml
injekcija   Hydromorphone hydrochloride   
injekcija   Bupivacaine hydrochloride 0.5 mg/ml
4°C
30 dan
nespecifičan 4746
Razina dokaza A
poliolefin natrijumkorid 0,9% 0.03 mg/ml
injekcija   Hydromorphone hydrochloride   
injekcija   Bupivacaine hydrochloride 2.5 mg/ml
4°C
30 dan
nespecifičan 4746
Razina dokaza A
poliolefin natrijumkorid 0,9% 0.0015 mg/ml
injekcija   Hydromorphone hydrochloride   
injekcija   Bupivacaine hydrochloride 2.5 mg/ml
4°C
30 dan
nespecifičan 4746
Razina dokaza A
špric polipropilen natrijumkorid 0,9% 0,02 & 0,04 mg/ml
injekcija   Hydromorphone hydrochloride   
injekcija   Bupivacaine hydrochloride 2,5 mg/ml
22°C
91 dan
svjetlost 1931
Razina dokaza A
špric polipropilen natrijumkorid 0,9% 0,2 mg/ml
injekcija   Hydromorphone hydrochloride   
injekcija   Ketamine hydrochloride 0,2 >> 1 mg/ml
25°C
7 dan
Zaštićeno od svjetlosti 2336
Razina dokaza D
špric polipropilen natrijumkorid 0,9% 10 mg/ml
injekcija   Hydromorphone hydrochloride   
injekcija   Scopolamine hydrobromide 0,04 mg/ml
injekcija   Famotidine 0,4 mg/ml
injekcija   Haloperidol lactate 0,5 mg/ml
injekcija   Dimenhydrinate 5 mg/ml
25°C
12 sat
nespecifičan 2166
špric polipropilen natrijumkorid 0,9% 10 mg/ml
injekcija   Hydromorphone hydrochloride   
injekcija   Famotidine 0,4 mg/ml
injekcija   Midazolam hydrochloride 1 mg/ml
25°C
96 sat
nespecifičan 2166
špric polipropilen natrijumkorid 0,9% 10 mg/ml
injekcija   Hydromorphone hydrochloride   
injekcija   Haloperidol lactate 0,5 mg/ml
injekcija   Metoclopramide hydrochloride 0,5 mg/ml
25°C
96 sat
nespecifičan 2166
špric polipropilen natrijumkorid 0,9% 10 mg/ml
injekcija   Hydromorphone hydrochloride   
injekcija   Famotidine 0,4 mg/ml
injekcija   Metoclopramide hydrochloride 0,5 mg/ml
čepić   Ketoprofene   
25°C
96 sat
nespecifičan 2166
špric polipropilen natrijumkorid 0,9% 10 mg/ml
injekcija   Hydromorphone hydrochloride   
injekcija   Scopolamine hydrobromide 0,04 mg/ml
injekcija   Famotidine 0,4 mg/ml
injekcija   Haloperidol lactate 0,5 mg/ml
injekcija   Dimenhydrinate 5 mg/ml
4°C
12 sat
nespecifičan 2166
špric polipropilen natrijumkorid 0,9% 10 mg/ml
injekcija   Hydromorphone hydrochloride   
injekcija   Famotidine 0,4 mg/ml
injekcija   Midazolam hydrochloride 1 mg/ml
4°C
96 sat
nespecifičan 2166
špric polipropilen natrijumkorid 0,9% 10 mg/ml
injekcija   Hydromorphone hydrochloride   
injekcija   Famotidine 0,4 mg/ml
injekcija   Metoclopramide hydrochloride 0,5 mg/ml
injekcija   Ketorolac tromethamine 1,5 mg/ml
4°C
96 sat
nespecifičan 2166
špric polipropilen natrijumkorid 0,9% 0,02 & 0,04 mg/ml
injekcija   Hydromorphone hydrochloride   
injekcija   Bupivacaine hydrochloride 2,5 mg/ml
6°C
91 dan
Zaštićeno od svjetlosti 1931
Razina dokaza A
Poliizoprenski elastomer natrijumkorid 0,9% 0,08 mg/ml
injekcija   Hydromorphone hydrochloride   
injekcija   Fentanyl citrate 16 µg/ml
injekcija   Nefopam 0,8 mg/ml
injekcija   Ramosetron hydrochloride 12 µg/ml
24°C
4 dan
Zaštićeno od svjetlosti 4666
Razina dokaza D
Poliizoprenski elastomer natrijumkorid 0,9% 0,08 mg/ml
injekcija   Hydromorphone hydrochloride   
injekcija   Fentanyl citrate 16 µg/ml
injekcija   Nefopam 0,8 mg/ml
injekcija   Ondansetron hydrochloride 0,32 mg/ml
24°C
4 dan
Zaštićeno od svjetlosti 4666
Razina dokaza D
nespecifičan natrijumkorid 0,9% 2 & 20 mg/ml
injekcija   Hydromorphone hydrochloride   
injekcija   Midazolam hydrochloride 0.1 & 0.5 mg/ml
23°C
23 dan
Zaštićeno od svjetlosti 345
Razina dokaza A
nespecifičan natrijumkorid 0,9% 35 mg/ml
injekcija   Hydromorphone hydrochloride   
injekcija   Ziconotide acetate 25 µg/ml
37°C
19 dan
Zaštićeno od svjetlosti 2251
Razina dokaza D
nespecifičan natrijumkorid 0,9% 50 mg/ml
injekcija   Hydromorphone hydrochloride   
injekcija   Bupivacaine hydrochloride 24 mg/ml
injekcija   Clonidine hydrochloride 2 mg/ml
37°C
90 dan
Zaštićeno od svjetlosti 2305
nespecifičan natrijumkorid 0,9% 2 & 20 mg/ml
injekcija   Hydromorphone hydrochloride   
injekcija   Midazolam hydrochloride 0.1 & 0.5 mg/ml
4°C
23 dan
Zaštićeno od svjetlosti 345
Razina dokaza A
nespecifičan glukoza 5% 2 & 20 mg/ml
injekcija   Hydromorphone hydrochloride   
injekcija   Midazolam hydrochloride 0.1 & 0.5 mg/ml
23°C
23 dan
Zaštićeno od svjetlosti 345
Razina dokaza A
nespecifičan glukoza 5% 2 & 20 mg/ml
injekcija   Hydromorphone hydrochloride   
injekcija   Midazolam hydrochloride 0.1 & 0.5 mg/ml
4°C
23 dan
Zaštićeno od svjetlosti 345
Razina dokaza A
nespecifičan nijedan 15 mg/ml
injekcija   Hydromorphone hydrochloride   
injekcija   Bupivacaine hydrochloride 10 mg/ml
37°C
90 dan
Zaštićeno od svjetlosti 4200
Razina dokaza A

  Mentions Légales