Ostatnia aktualizacja :
27/04/2026
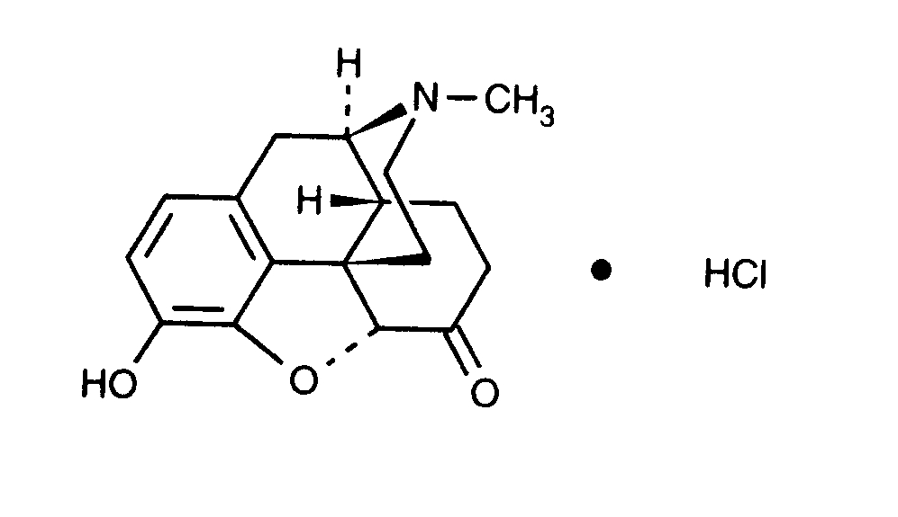
Przeciwbólowy   Hydromorphone hydrochloride  
Injekcje
Trwałość roztworów Trwałość w mieszaninie Czynnik wpływający na trwałość Zgodność Sposób podania Bibliografia pdf
   Struktura chemiczna  

Nazwa handlowa   Nazwa handlowa     

Trade names are indicative and excipients composition can be different depending on the country and manufacturers

Dilaudid Kanada, Stany Zjednoczone Ameryki
Hydal Austria
Palladon Dania, Szwajcaria
Palladone Wielka Brytania
Trwałość w mieszaninie   Injekcje   Trwałość w mieszaninie : Hydromorphone hydrochloride     
Pojemnik Rozpuszczalnik Stężenie Związek Temperatura Przechowywanie Czas trwania stabilności Bibliografia
Szkło Chlorek sodu 0,9% 0,25 mg/ml
Injekcje   Hydromorphone hydrochloride   
Injekcje   Granisetron hydrochloride 0,5 mg/ml
20°C-23°C
4 Godzina
Chronić od światła 57
Poziom wiarygodności A+
Szkło Chlorek sodu 0,9% 0,2 mg/ml
Injekcje   Hydromorphone hydrochloride   
Injekcje   Ketamine hydrochloride 0,2 >> 1 mg/ml
25°C
7 Dzień
Chronić od światła 2336
Poziom wiarygodności D
Szkło Chlorek sodu 0,9% 0,05 mg/ml
Injekcje   Hydromorphone hydrochloride   
Injekcje   Morphine hydrochloride 0,25 mg/ml
25°C
15 Dzień
Nie wyszczególniony 4667
Poziom wiarygodności D
Szkło Chlorek sodu 0,9% 0,05 mg/ml
Injekcje   Hydromorphone hydrochloride   
Injekcje   Morphine hydrochloride 0,25 mg/ml
37°C
15 Dzień
Nie wyszczególniony 4667
Poziom wiarygodności D
Szkło Glukoza 5% 0,1 & 1 mg/ml
Injekcje   Hydromorphone hydrochloride   
Injekcje   Tacrolimus 5 & 20 µg/ml
23°C-25°C
4 Godzina
światło 814
Poziom wiarygodności A
Szkło Żaden 2 & 10 & 40 mg/ml
Injekcje   Hydromorphone hydrochloride   
Injekcje   Dimenhydrinate 50 mg/ml
23°C
24 Godzina
Nie wyszczególniony 1497
Poziom wiarygodności B
Szkło Żaden 0,25 mg/ml
Injekcje   Hydromorphone hydrochloride   
Injekcje   Palonosetron hydrochloride 25 µg/ml
25°C
4 Godzina
światło 2196
Poziom wiarygodności A+
Szkło Żaden 2 & 10 & 40 mg/ml
Injekcje   Hydromorphone hydrochloride   
Injekcje   Dimenhydrinate 50 mg/ml
37°C
24 Godzina
Nie wyszczególniony 1497
Poziom wiarygodności B
Szkło Żaden 2 & 10 & 40 mg/ml
Injekcje   Hydromorphone hydrochloride   
Injekcje   Dimenhydrinate 50 mg/ml
4°C
24 Godzina
Chronić od światła 1497
Poziom wiarygodności B
Polichlorek winylu Chlorek sodu 0,9% 0,5 mg/ml
Injekcje   Hydromorphone hydrochloride   
Injekcje   Fluorouracil 1 & 16 mg/ml
-20°C
35 Dzień
Chronić od światła 513
Poziom wiarygodności A+
Polichlorek winylu Chlorek sodu 0,9% 20 mg/ml
Injekcje   Hydromorphone hydrochloride   
Injekcje   Esketamine 20 mg/ml
22°C
7 Dzień
Nie wyszczególniony 4664
Poziom wiarygodności D
Polichlorek winylu Chlorek sodu 0,9% 0,5 mg/ml
Injekcje   Hydromorphone hydrochloride   
Injekcje   Ondansetron hydrochloride 0,1 & 1 mg/ml
22°C
31 Dzień
Nie wyszczególniony 6
Poziom wiarygodności A+
Polichlorek winylu Chlorek sodu 0,9% 0,5 mg/ml
Injekcje   Hydromorphone hydrochloride   
Injekcje   Fluorouracil 16 mg/ml
23°C
7 Dzień
Nie wyszczególniony 513
Poziom wiarygodności A+
Polichlorek winylu Chlorek sodu 0,9% 0,5 mg/ml
Injekcje   Hydromorphone hydrochloride   
Injekcje   Fluorouracil 1 mg/ml
23°C
35 Dzień
Nie wyszczególniony 513
Poziom wiarygodności A+
Polichlorek winylu Chlorek sodu 0,9% 0,02 & 0,1 mg/ml
Injekcje   Hydromorphone hydrochloride   
Injekcje   Bupivacaine hydrochloride 0,62 & 1,2 mg/ml
23°C-25°C
72 Godzina
światło 306
Poziom wiarygodności A
Polichlorek winylu Chlorek sodu 0,9% 0,2 mg/ml
Injekcje   Hydromorphone hydrochloride   
Injekcje   Ketamine hydrochloride 0,2 >> 1 mg/ml
25°C
7 Dzień
Chronić od światła 2336
Poziom wiarygodności D
Polichlorek winylu Chlorek sodu 0,9% 0,05 mg/ml
Injekcje   Hydromorphone hydrochloride   
Injekcje   Morphine hydrochloride 0,25 mg/ml
25°C
15 Dzień
Nie wyszczególniony 4667
Poziom wiarygodności D
Polichlorek winylu Chlorek sodu 0,9% 0.0015 mg/ml
Injekcje   Hydromorphone hydrochloride   
Injekcje   Bupivacaine hydrochloride 0.5 mg/ml
25°C
30 Dzień
Nie wyszczególniony 4746
Poziom wiarygodności A
Polichlorek winylu Chlorek sodu 0,9% 0.03 mg/ml
Injekcje   Hydromorphone hydrochloride   
Injekcje   Bupivacaine hydrochloride 0.5 mg/ml
25°C
30 Dzień
Nie wyszczególniony 4746
Poziom wiarygodności A
Polichlorek winylu Chlorek sodu 0,9% 0.03 mg/ml
Injekcje   Hydromorphone hydrochloride   
Injekcje   Bupivacaine hydrochloride 2.5 mg/ml
25°C
30 Dzień
Nie wyszczególniony 4746
Poziom wiarygodności A
Polichlorek winylu Chlorek sodu 0,9% 0.0015 mg/ml
Injekcje   Hydromorphone hydrochloride   
Injekcje   Bupivacaine hydrochloride 2.5 mg/ml
25°C
30 Dzień
Nie wyszczególniony 4746
Poziom wiarygodności A
Polichlorek winylu Chlorek sodu 0,9% 0,5 mg/ml
Injekcje   Hydromorphone hydrochloride   
Injekcje   Fluorouracil 16 mg/ml
32°C
3 Dzień
Nie wyszczególniony 513
Poziom wiarygodności A+
Polichlorek winylu Chlorek sodu 0,9% 0,5 mg/ml
Injekcje   Hydromorphone hydrochloride   
Injekcje   Ondansetron hydrochloride 0,1 & 1 mg/ml
32°C
7 Dzień
Nie wyszczególniony 6
Poziom wiarygodności A+
Polichlorek winylu Chlorek sodu 0,9% 0,5 mg/ml
Injekcje   Hydromorphone hydrochloride   
Injekcje   Fluorouracil 1 mg/ml
32°C
7 Dzień
Nie wyszczególniony 513
Poziom wiarygodności A+
Polichlorek winylu Chlorek sodu 0,9% 20 mg/ml
Injekcje   Hydromorphone hydrochloride   
Injekcje   Esketamine 20 mg/ml
37°C
7 Dzień
Nie wyszczególniony 4664
Poziom wiarygodności D
Polichlorek winylu Chlorek sodu 0,9% 0,05 mg/ml
Injekcje   Hydromorphone hydrochloride   
Injekcje   Morphine hydrochloride 0,25 mg/ml
37°C
15 Dzień
Nie wyszczególniony 4667
Poziom wiarygodności D
Polichlorek winylu Chlorek sodu 0,9% 0,5 mg/ml
Injekcje   Hydromorphone hydrochloride   
Injekcje   Ondansetron hydrochloride 0,1 & 1 mg/ml
4°C
31 Dzień
Chronić od światła 6
Poziom wiarygodności A+
Polichlorek winylu Chlorek sodu 0,9% 0,5 mg/ml
Injekcje   Hydromorphone hydrochloride   
Injekcje   Fluorouracil 1 & 16 mg/ml
4°C
35 Dzień
Chronić od światła 513
Poziom wiarygodności A+
Polichlorek winylu Chlorek sodu 0,9% 0.0015 mg/ml
Injekcje   Hydromorphone hydrochloride   
Injekcje   Bupivacaine hydrochloride 0.5 mg/ml
4°C
30 Dzień
Nie wyszczególniony 4746
Poziom wiarygodności A
Polichlorek winylu Chlorek sodu 0,9% 0.03 mg/ml
Injekcje   Hydromorphone hydrochloride   
Injekcje   Bupivacaine hydrochloride 0.5 mg/ml
4°C
30 Dzień
Nie wyszczególniony 4746
Poziom wiarygodności A
Polichlorek winylu Chlorek sodu 0,9% 0.03 mg/ml
Injekcje   Hydromorphone hydrochloride   
Injekcje   Bupivacaine hydrochloride 2.5 mg/ml
4°C
30 Dzień
Nie wyszczególniony 4746
Poziom wiarygodności A
Polichlorek winylu Chlorek sodu 0,9% 0.0015 mg/ml
Injekcje   Hydromorphone hydrochloride   
Injekcje   Bupivacaine hydrochloride 2.5 mg/ml
4°C
30 Dzień
Nie wyszczególniony 4746
Poziom wiarygodności A
Polichlorek winylu Chlorek sodu 0,9% 0,5 mg/ml
Injekcje   Hydromorphone hydrochloride   
Injekcje   Ondansetron hydrochloride 0,1 & 1 mg/ml
4°C-22°C
31 Dzień
Nie wyszczególniony 6
Poziom wiarygodności A+
Polichlorek winylu Chlorek sodu 0,9% 0,5 mg/ml
Injekcje   Hydromorphone hydrochloride   
Injekcje   Granisetron hydrochloride 0,056 mg/ml
4°C-22°C
31 Godzina
Nie wyszczególniony 6
Poziom wiarygodności A+
Polichlorek winylu Chlorek sodu 0,9% 0,5 mg/ml
Injekcje   Hydromorphone hydrochloride   
Injekcje   Granisetron hydrochloride 0,056 mg/ml
4°C-22°C
31 Godzina
Nie wyszczególniony 6
Poziom wiarygodności A+
Polichlorek winylu Glukoza 5% 0,5 mg/ml
Injekcje   Hydromorphone hydrochloride   
Injekcje   Fluorouracil 1 & 16 mg/ml
-20°C
35 Dzień
Chronić od światła 513
Poziom wiarygodności A+
Polichlorek winylu Glukoza 5% 0,5 mg/ml
Injekcje   Hydromorphone hydrochloride   
Injekcje   Fluorouracil 16 mg/ml
23°C
7 Dzień
Nie wyszczególniony 513
Poziom wiarygodności A+
Polichlorek winylu Glukoza 5% 0,5 mg/ml
Injekcje   Hydromorphone hydrochloride   
Injekcje   Fluorouracil 1 mg/ml
23°C
35 Dzień
Nie wyszczególniony 513
Poziom wiarygodności A+
Polichlorek winylu Glukoza 5% 0,5 mg/ml
Injekcje   Hydromorphone hydrochloride   
Injekcje   Fluorouracil 16 mg/ml
32°C
3 Dzień
Nie wyszczególniony 513
Poziom wiarygodności A+
Polichlorek winylu Glukoza 5% 0,5 mg/ml
Injekcje   Hydromorphone hydrochloride   
Injekcje   Fluorouracil 1 mg/ml
32°C
7 Dzień
Nie wyszczególniony 513
Poziom wiarygodności A+
Polichlorek winylu Glukoza 5% 0,5 mg/ml
Injekcje   Hydromorphone hydrochloride   
Injekcje   Fluorouracil 1 & 16 mg/ml
4°C
35 Dzień
Chronić od światła 513
Poziom wiarygodności A+
Polietylen Chlorek sodu 0,9% 0,05 mg/ml
Injekcje   Hydromorphone hydrochloride   
Injekcje   Morphine hydrochloride 0,25 mg/ml
25°C
15 Dzień
Nie wyszczególniony 4667
Poziom wiarygodności D
Polietylen Chlorek sodu 0,9% 0,05 mg/ml
Injekcje   Hydromorphone hydrochloride   
Injekcje   Morphine hydrochloride 0,25 mg/ml
37°C
15 Dzień
Nie wyszczególniony 4667
Poziom wiarygodności D
Poliolefina Chlorek sodu 0,9% 0.0015 mg/ml
Injekcje   Hydromorphone hydrochloride   
Injekcje   Bupivacaine hydrochloride 0.5 mg/ml
25°C
30 Dzień
Nie wyszczególniony 4746
Poziom wiarygodności A
Poliolefina Chlorek sodu 0,9% 0.03 mg/ml
Injekcje   Hydromorphone hydrochloride   
Injekcje   Bupivacaine hydrochloride 0.5 mg/ml
25°C
30 Dzień
Nie wyszczególniony 4746
Poziom wiarygodności A
Poliolefina Chlorek sodu 0,9% 0.03 mg/ml
Injekcje   Hydromorphone hydrochloride   
Injekcje   Bupivacaine hydrochloride 2.5 mg/ml
25°C
30 Dzień
Nie wyszczególniony 4746
Poziom wiarygodności A
Poliolefina Chlorek sodu 0,9% 0.0015 mg/ml
Injekcje   Hydromorphone hydrochloride   
Injekcje   Bupivacaine hydrochloride 2.5 mg/ml
25°C
30 Dzień
Nie wyszczególniony 4746
Poziom wiarygodności A
Poliolefina Chlorek sodu 0,9% 0.0015 mg/ml
Injekcje   Hydromorphone hydrochloride   
Injekcje   Bupivacaine hydrochloride 0.5 mg/ml
4°C
30 Dzień
Nie wyszczególniony 4746
Poziom wiarygodności A
Poliolefina Chlorek sodu 0,9% 0.03 mg/ml
Injekcje   Hydromorphone hydrochloride   
Injekcje   Bupivacaine hydrochloride 0.5 mg/ml
4°C
30 Dzień
Nie wyszczególniony 4746
Poziom wiarygodności A
Poliolefina Chlorek sodu 0,9% 0.03 mg/ml
Injekcje   Hydromorphone hydrochloride   
Injekcje   Bupivacaine hydrochloride 2.5 mg/ml
4°C
30 Dzień
Nie wyszczególniony 4746
Poziom wiarygodności A
Poliolefina Chlorek sodu 0,9% 0.0015 mg/ml
Injekcje   Hydromorphone hydrochloride   
Injekcje   Bupivacaine hydrochloride 2.5 mg/ml
4°C
30 Dzień
Nie wyszczególniony 4746
Poziom wiarygodności A
Strzykawka Chlorek sodu 0,9% 0,02 & 0,04 mg/ml
Injekcje   Hydromorphone hydrochloride   
Injekcje   Bupivacaine hydrochloride 2,5 mg/ml
22°C
91 Dzień
światło 1931
Poziom wiarygodności A
Strzykawka Chlorek sodu 0,9% 0,2 mg/ml
Injekcje   Hydromorphone hydrochloride   
Injekcje   Ketamine hydrochloride 0,2 >> 1 mg/ml
25°C
7 Dzień
Chronić od światła 2336
Poziom wiarygodności D
Strzykawka Chlorek sodu 0,9% 10 mg/ml
Injekcje   Hydromorphone hydrochloride   
Injekcje   Scopolamine hydrobromide 0,04 mg/ml
Injekcje   Famotidine 0,4 mg/ml
Injekcje   Haloperidol lactate 0,5 mg/ml
Injekcje   Dimenhydrinate 5 mg/ml
25°C
12 Godzina
Nie wyszczególniony 2166
Strzykawka Chlorek sodu 0,9% 10 mg/ml
Injekcje   Hydromorphone hydrochloride   
Injekcje   Famotidine 0,4 mg/ml
Injekcje   Midazolam hydrochloride 1 mg/ml
25°C
96 Godzina
Nie wyszczególniony 2166
Strzykawka Chlorek sodu 0,9% 10 mg/ml
Injekcje   Hydromorphone hydrochloride   
Injekcje   Haloperidol lactate 0,5 mg/ml
Injekcje   Metoclopramide hydrochloride 0,5 mg/ml
25°C
96 Godzina
Nie wyszczególniony 2166
Strzykawka Chlorek sodu 0,9% 10 mg/ml
Injekcje   Hydromorphone hydrochloride   
Injekcje   Famotidine 0,4 mg/ml
Injekcje   Metoclopramide hydrochloride 0,5 mg/ml
Czopek   Ketoprofene   
25°C
96 Godzina
Nie wyszczególniony 2166
Strzykawka Chlorek sodu 0,9% 10 mg/ml
Injekcje   Hydromorphone hydrochloride   
Injekcje   Scopolamine hydrobromide 0,04 mg/ml
Injekcje   Famotidine 0,4 mg/ml
Injekcje   Haloperidol lactate 0,5 mg/ml
Injekcje   Dimenhydrinate 5 mg/ml
4°C
12 Godzina
Nie wyszczególniony 2166
Strzykawka Chlorek sodu 0,9% 10 mg/ml
Injekcje   Hydromorphone hydrochloride   
Injekcje   Famotidine 0,4 mg/ml
Injekcje   Midazolam hydrochloride 1 mg/ml
4°C
96 Godzina
Nie wyszczególniony 2166
Strzykawka Chlorek sodu 0,9% 10 mg/ml
Injekcje   Hydromorphone hydrochloride   
Injekcje   Famotidine 0,4 mg/ml
Injekcje   Metoclopramide hydrochloride 0,5 mg/ml
Injekcje   Ketorolac tromethamine 1,5 mg/ml
4°C
96 Godzina
Nie wyszczególniony 2166
Strzykawka Chlorek sodu 0,9% 0,02 & 0,04 mg/ml
Injekcje   Hydromorphone hydrochloride   
Injekcje   Bupivacaine hydrochloride 2,5 mg/ml
6°C
91 Dzień
Chronić od światła 1931
Poziom wiarygodności A
Elastomer poliizoprenowy Chlorek sodu 0,9% 0,08 mg/ml
Injekcje   Hydromorphone hydrochloride   
Injekcje   Fentanyl citrate 16 µg/ml
Injekcje   Nefopam 0,8 mg/ml
Injekcje   Ramosetron hydrochloride 12 µg/ml
24°C
4 Dzień
Chronić od światła 4666
Poziom wiarygodności D
Elastomer poliizoprenowy Chlorek sodu 0,9% 0,08 mg/ml
Injekcje   Hydromorphone hydrochloride   
Injekcje   Fentanyl citrate 16 µg/ml
Injekcje   Nefopam 0,8 mg/ml
Injekcje   Ondansetron hydrochloride 0,32 mg/ml
24°C
4 Dzień
Chronić od światła 4666
Poziom wiarygodności D
Brak informacji Chlorek sodu 0,9% 2 & 20 mg/ml
Injekcje   Hydromorphone hydrochloride   
Injekcje   Midazolam hydrochloride 0.1 & 0.5 mg/ml
23°C
23 Dzień
Chronić od światła 345
Poziom wiarygodności A
Brak informacji Chlorek sodu 0,9% 35 mg/ml
Injekcje   Hydromorphone hydrochloride   
Injekcje   Ziconotide acetate 25 µg/ml
37°C
19 Dzień
Chronić od światła 2251
Poziom wiarygodności D
Brak informacji Chlorek sodu 0,9% 50 mg/ml
Injekcje   Hydromorphone hydrochloride   
Injekcje   Bupivacaine hydrochloride 24 mg/ml
Injekcje   Clonidine hydrochloride 2 mg/ml
37°C
90 Dzień
Chronić od światła 2305
Brak informacji Chlorek sodu 0,9% 2 & 20 mg/ml
Injekcje   Hydromorphone hydrochloride   
Injekcje   Midazolam hydrochloride 0.1 & 0.5 mg/ml
4°C
23 Dzień
Chronić od światła 345
Poziom wiarygodności A
Brak informacji Glukoza 5% 2 & 20 mg/ml
Injekcje   Hydromorphone hydrochloride   
Injekcje   Midazolam hydrochloride 0.1 & 0.5 mg/ml
23°C
23 Dzień
Chronić od światła 345
Poziom wiarygodności A
Brak informacji Glukoza 5% 2 & 20 mg/ml
Injekcje   Hydromorphone hydrochloride   
Injekcje   Midazolam hydrochloride 0.1 & 0.5 mg/ml
4°C
23 Dzień
Chronić od światła 345
Poziom wiarygodności A
Brak informacji Żaden 15 mg/ml
Injekcje   Hydromorphone hydrochloride   
Injekcje   Bupivacaine hydrochloride 10 mg/ml
37°C
90 Dzień
Chronić od światła 4200
Poziom wiarygodności A

  Mentions Légales