Последно актуализиране :
27/04/2026
Аналгетик   Hydromorphone hydrochloride  
Инжекция/Инжекционен
Стабилност на разтвори Стабилност на смеси Фактори, повлияващи стабилността Съвместимост Път на въвеждане Библиография Pdf
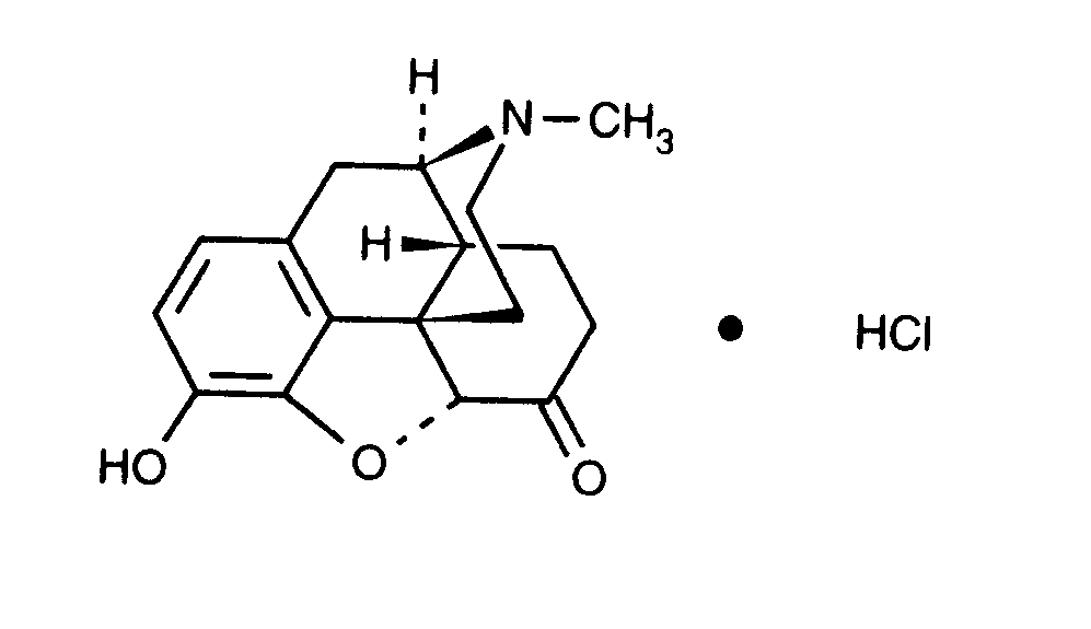
   Химична структура  

Търговско наименование   Търговско наименование     

Търговските имена са примерни и съставът на помощните вещества може да бъде различен в зависимост от държавата и лабораториите

Dilaudid Канада, Съединени Американски щати / САЩ
Hydal Австрия
Palladon Дания, Швейцария
Palladone Великобритания
Стабилност на смеси   Инжекция/Инжекционен   Стабилност на смеси : Hydromorphone hydrochloride     
Контейнер Разтворител Концентрация Състав / молекула Температура Съхранение Продължителност на стабилността Библиография
Стъкло Sodium chloride 0,9% 0,25 mg/ml
Инжекция/Инжекционен   Hydromorphone hydrochloride   
Инжекция/Инжекционен   Granisetron hydrochloride 0,5 mg/ml
20°C-23°C
4 Час
Защита от светлина 57
Степен на доказаност A+
Стъкло Sodium chloride 0,9% 0,2 mg/ml
Инжекция/Инжекционен   Hydromorphone hydrochloride   
Инжекция/Инжекционен   Ketamine hydrochloride 0,2 >> 1 mg/ml
25°C
7 Ден
Защита от светлина 2336
Степен на доказаност D
Стъкло Sodium chloride 0,9% 0,05 mg/ml
Инжекция/Инжекционен   Hydromorphone hydrochloride   
Инжекция/Инжекционен   Morphine hydrochloride 0,25 mg/ml
25°C
15 Ден
Не е уточнено 4667
Степен на доказаност D
Стъкло Sodium chloride 0,9% 0,05 mg/ml
Инжекция/Инжекционен   Hydromorphone hydrochloride   
Инжекция/Инжекционен   Morphine hydrochloride 0,25 mg/ml
37°C
15 Ден
Не е уточнено 4667
Степен на доказаност D
Стъкло Glucose 5% 0,1 & 1 mg/ml
Инжекция/Инжекционен   Hydromorphone hydrochloride   
Инжекция/Инжекционен   Tacrolimus 5 & 20 µg/ml
23°C-25°C
4 Час
Светлина 814
Степен на доказаност A
Стъкло Няма 2 & 10 & 40 mg/ml
Инжекция/Инжекционен   Hydromorphone hydrochloride   
Инжекция/Инжекционен   Dimenhydrinate 50 mg/ml
23°C
24 Час
Не е уточнено 1497
Степен на доказаност B
Стъкло Няма 0,25 mg/ml
Инжекция/Инжекционен   Hydromorphone hydrochloride   
Инжекция/Инжекционен   Palonosetron hydrochloride 25 µg/ml
25°C
4 Час
Светлина 2196
Степен на доказаност A+
Стъкло Няма 2 & 10 & 40 mg/ml
Инжекция/Инжекционен   Hydromorphone hydrochloride   
Инжекция/Инжекционен   Dimenhydrinate 50 mg/ml
37°C
24 Час
Не е уточнено 1497
Степен на доказаност B
Стъкло Няма 2 & 10 & 40 mg/ml
Инжекция/Инжекционен   Hydromorphone hydrochloride   
Инжекция/Инжекционен   Dimenhydrinate 50 mg/ml
4°C
24 Час
Защита от светлина 1497
Степен на доказаност B
Поливинил хлорид Sodium chloride 0,9% 0,5 mg/ml
Инжекция/Инжекционен   Hydromorphone hydrochloride   
Инжекция/Инжекционен   Fluorouracil 1 & 16 mg/ml
-20°C
35 Ден
Защита от светлина 513
Степен на доказаност A+
Поливинил хлорид Sodium chloride 0,9% 20 mg/ml
Инжекция/Инжекционен   Hydromorphone hydrochloride   
Инжекция/Инжекционен   Esketamine 20 mg/ml
22°C
7 Ден
Не е уточнено 4664
Степен на доказаност D
Поливинил хлорид Sodium chloride 0,9% 0,5 mg/ml
Инжекция/Инжекционен   Hydromorphone hydrochloride   
Инжекция/Инжекционен   Ondansetron hydrochloride 0,1 & 1 mg/ml
22°C
31 Ден
Не е уточнено 6
Степен на доказаност A+
Поливинил хлорид Sodium chloride 0,9% 0,5 mg/ml
Инжекция/Инжекционен   Hydromorphone hydrochloride   
Инжекция/Инжекционен   Fluorouracil 16 mg/ml
23°C
7 Ден
Не е уточнено 513
Степен на доказаност A+
Поливинил хлорид Sodium chloride 0,9% 0,5 mg/ml
Инжекция/Инжекционен   Hydromorphone hydrochloride   
Инжекция/Инжекционен   Fluorouracil 1 mg/ml
23°C
35 Ден
Не е уточнено 513
Степен на доказаност A+
Поливинил хлорид Sodium chloride 0,9% 0,02 & 0,1 mg/ml
Инжекция/Инжекционен   Hydromorphone hydrochloride   
Инжекция/Инжекционен   Bupivacaine hydrochloride 0,62 & 1,2 mg/ml
23°C-25°C
72 Час
Светлина 306
Степен на доказаност A
Поливинил хлорид Sodium chloride 0,9% 0,2 mg/ml
Инжекция/Инжекционен   Hydromorphone hydrochloride   
Инжекция/Инжекционен   Ketamine hydrochloride 0,2 >> 1 mg/ml
25°C
7 Ден
Защита от светлина 2336
Степен на доказаност D
Поливинил хлорид Sodium chloride 0,9% 0,05 mg/ml
Инжекция/Инжекционен   Hydromorphone hydrochloride   
Инжекция/Инжекционен   Morphine hydrochloride 0,25 mg/ml
25°C
15 Ден
Не е уточнено 4667
Степен на доказаност D
Поливинил хлорид Sodium chloride 0,9% 0.0015 mg/ml
Инжекция/Инжекционен   Hydromorphone hydrochloride   
Инжекция/Инжекционен   Bupivacaine hydrochloride 0.5 mg/ml
25°C
30 Ден
Не е уточнено 4746
Степен на доказаност A
Поливинил хлорид Sodium chloride 0,9% 0.03 mg/ml
Инжекция/Инжекционен   Hydromorphone hydrochloride   
Инжекция/Инжекционен   Bupivacaine hydrochloride 0.5 mg/ml
25°C
30 Ден
Не е уточнено 4746
Степен на доказаност A
Поливинил хлорид Sodium chloride 0,9% 0.03 mg/ml
Инжекция/Инжекционен   Hydromorphone hydrochloride   
Инжекция/Инжекционен   Bupivacaine hydrochloride 2.5 mg/ml
25°C
30 Ден
Не е уточнено 4746
Степен на доказаност A
Поливинил хлорид Sodium chloride 0,9% 0.0015 mg/ml
Инжекция/Инжекционен   Hydromorphone hydrochloride   
Инжекция/Инжекционен   Bupivacaine hydrochloride 2.5 mg/ml
25°C
30 Ден
Не е уточнено 4746
Степен на доказаност A
Поливинил хлорид Sodium chloride 0,9% 0,5 mg/ml
Инжекция/Инжекционен   Hydromorphone hydrochloride   
Инжекция/Инжекционен   Fluorouracil 16 mg/ml
32°C
3 Ден
Не е уточнено 513
Степен на доказаност A+
Поливинил хлорид Sodium chloride 0,9% 0,5 mg/ml
Инжекция/Инжекционен   Hydromorphone hydrochloride   
Инжекция/Инжекционен   Ondansetron hydrochloride 0,1 & 1 mg/ml
32°C
7 Ден
Не е уточнено 6
Степен на доказаност A+
Поливинил хлорид Sodium chloride 0,9% 0,5 mg/ml
Инжекция/Инжекционен   Hydromorphone hydrochloride   
Инжекция/Инжекционен   Fluorouracil 1 mg/ml
32°C
7 Ден
Не е уточнено 513
Степен на доказаност A+
Поливинил хлорид Sodium chloride 0,9% 20 mg/ml
Инжекция/Инжекционен   Hydromorphone hydrochloride   
Инжекция/Инжекционен   Esketamine 20 mg/ml
37°C
7 Ден
Не е уточнено 4664
Степен на доказаност D
Поливинил хлорид Sodium chloride 0,9% 0,05 mg/ml
Инжекция/Инжекционен   Hydromorphone hydrochloride   
Инжекция/Инжекционен   Morphine hydrochloride 0,25 mg/ml
37°C
15 Ден
Не е уточнено 4667
Степен на доказаност D
Поливинил хлорид Sodium chloride 0,9% 0,5 mg/ml
Инжекция/Инжекционен   Hydromorphone hydrochloride   
Инжекция/Инжекционен   Ondansetron hydrochloride 0,1 & 1 mg/ml
4°C
31 Ден
Защита от светлина 6
Степен на доказаност A+
Поливинил хлорид Sodium chloride 0,9% 0,5 mg/ml
Инжекция/Инжекционен   Hydromorphone hydrochloride   
Инжекция/Инжекционен   Fluorouracil 1 & 16 mg/ml
4°C
35 Ден
Защита от светлина 513
Степен на доказаност A+
Поливинил хлорид Sodium chloride 0,9% 0.0015 mg/ml
Инжекция/Инжекционен   Hydromorphone hydrochloride   
Инжекция/Инжекционен   Bupivacaine hydrochloride 0.5 mg/ml
4°C
30 Ден
Не е уточнено 4746
Степен на доказаност A
Поливинил хлорид Sodium chloride 0,9% 0.03 mg/ml
Инжекция/Инжекционен   Hydromorphone hydrochloride   
Инжекция/Инжекционен   Bupivacaine hydrochloride 0.5 mg/ml
4°C
30 Ден
Не е уточнено 4746
Степен на доказаност A
Поливинил хлорид Sodium chloride 0,9% 0.03 mg/ml
Инжекция/Инжекционен   Hydromorphone hydrochloride   
Инжекция/Инжекционен   Bupivacaine hydrochloride 2.5 mg/ml
4°C
30 Ден
Не е уточнено 4746
Степен на доказаност A
Поливинил хлорид Sodium chloride 0,9% 0.0015 mg/ml
Инжекция/Инжекционен   Hydromorphone hydrochloride   
Инжекция/Инжекционен   Bupivacaine hydrochloride 2.5 mg/ml
4°C
30 Ден
Не е уточнено 4746
Степен на доказаност A
Поливинил хлорид Sodium chloride 0,9% 0,5 mg/ml
Инжекция/Инжекционен   Hydromorphone hydrochloride   
Инжекция/Инжекционен   Ondansetron hydrochloride 0,1 & 1 mg/ml
4°C-22°C
31 Ден
Не е уточнено 6
Степен на доказаност A+
Поливинил хлорид Sodium chloride 0,9% 0,5 mg/ml
Инжекция/Инжекционен   Hydromorphone hydrochloride   
Инжекция/Инжекционен   Granisetron hydrochloride 0,056 mg/ml
4°C-22°C
31 Час
Не е уточнено 6
Степен на доказаност A+
Поливинил хлорид Sodium chloride 0,9% 0,5 mg/ml
Инжекция/Инжекционен   Hydromorphone hydrochloride   
Инжекция/Инжекционен   Granisetron hydrochloride 0,056 mg/ml
4°C-22°C
31 Час
Не е уточнено 6
Степен на доказаност A+
Поливинил хлорид Glucose 5% 0,5 mg/ml
Инжекция/Инжекционен   Hydromorphone hydrochloride   
Инжекция/Инжекционен   Fluorouracil 1 & 16 mg/ml
-20°C
35 Ден
Защита от светлина 513
Степен на доказаност A+
Поливинил хлорид Glucose 5% 0,5 mg/ml
Инжекция/Инжекционен   Hydromorphone hydrochloride   
Инжекция/Инжекционен   Fluorouracil 16 mg/ml
23°C
7 Ден
Не е уточнено 513
Степен на доказаност A+
Поливинил хлорид Glucose 5% 0,5 mg/ml
Инжекция/Инжекционен   Hydromorphone hydrochloride   
Инжекция/Инжекционен   Fluorouracil 1 mg/ml
23°C
35 Ден
Не е уточнено 513
Степен на доказаност A+
Поливинил хлорид Glucose 5% 0,5 mg/ml
Инжекция/Инжекционен   Hydromorphone hydrochloride   
Инжекция/Инжекционен   Fluorouracil 16 mg/ml
32°C
3 Ден
Не е уточнено 513
Степен на доказаност A+
Поливинил хлорид Glucose 5% 0,5 mg/ml
Инжекция/Инжекционен   Hydromorphone hydrochloride   
Инжекция/Инжекционен   Fluorouracil 1 mg/ml
32°C
7 Ден
Не е уточнено 513
Степен на доказаност A+
Поливинил хлорид Glucose 5% 0,5 mg/ml
Инжекция/Инжекционен   Hydromorphone hydrochloride   
Инжекция/Инжекционен   Fluorouracil 1 & 16 mg/ml
4°C
35 Ден
Защита от светлина 513
Степен на доказаност A+
Полиетилен Sodium chloride 0,9% 0,05 mg/ml
Инжекция/Инжекционен   Hydromorphone hydrochloride   
Инжекция/Инжекционен   Morphine hydrochloride 0,25 mg/ml
25°C
15 Ден
Не е уточнено 4667
Степен на доказаност D
Полиетилен Sodium chloride 0,9% 0,05 mg/ml
Инжекция/Инжекционен   Hydromorphone hydrochloride   
Инжекция/Инжекционен   Morphine hydrochloride 0,25 mg/ml
37°C
15 Ден
Не е уточнено 4667
Степен на доказаност D
Полиолефин Sodium chloride 0,9% 0.0015 mg/ml
Инжекция/Инжекционен   Hydromorphone hydrochloride   
Инжекция/Инжекционен   Bupivacaine hydrochloride 0.5 mg/ml
25°C
30 Ден
Не е уточнено 4746
Степен на доказаност A
Полиолефин Sodium chloride 0,9% 0.03 mg/ml
Инжекция/Инжекционен   Hydromorphone hydrochloride   
Инжекция/Инжекционен   Bupivacaine hydrochloride 0.5 mg/ml
25°C
30 Ден
Не е уточнено 4746
Степен на доказаност A
Полиолефин Sodium chloride 0,9% 0.03 mg/ml
Инжекция/Инжекционен   Hydromorphone hydrochloride   
Инжекция/Инжекционен   Bupivacaine hydrochloride 2.5 mg/ml
25°C
30 Ден
Не е уточнено 4746
Степен на доказаност A
Полиолефин Sodium chloride 0,9% 0.0015 mg/ml
Инжекция/Инжекционен   Hydromorphone hydrochloride   
Инжекция/Инжекционен   Bupivacaine hydrochloride 2.5 mg/ml
25°C
30 Ден
Не е уточнено 4746
Степен на доказаност A
Полиолефин Sodium chloride 0,9% 0.0015 mg/ml
Инжекция/Инжекционен   Hydromorphone hydrochloride   
Инжекция/Инжекционен   Bupivacaine hydrochloride 0.5 mg/ml
4°C
30 Ден
Не е уточнено 4746
Степен на доказаност A
Полиолефин Sodium chloride 0,9% 0.03 mg/ml
Инжекция/Инжекционен   Hydromorphone hydrochloride   
Инжекция/Инжекционен   Bupivacaine hydrochloride 0.5 mg/ml
4°C
30 Ден
Не е уточнено 4746
Степен на доказаност A
Полиолефин Sodium chloride 0,9% 0.03 mg/ml
Инжекция/Инжекционен   Hydromorphone hydrochloride   
Инжекция/Инжекционен   Bupivacaine hydrochloride 2.5 mg/ml
4°C
30 Ден
Не е уточнено 4746
Степен на доказаност A
Полиолефин Sodium chloride 0,9% 0.0015 mg/ml
Инжекция/Инжекционен   Hydromorphone hydrochloride   
Инжекция/Инжекционен   Bupivacaine hydrochloride 2.5 mg/ml
4°C
30 Ден
Не е уточнено 4746
Степен на доказаност A
шприц полипропилен Sodium chloride 0,9% 0,02 & 0,04 mg/ml
Инжекция/Инжекционен   Hydromorphone hydrochloride   
Инжекция/Инжекционен   Bupivacaine hydrochloride 2,5 mg/ml
22°C
91 Ден
Светлина 1931
Степен на доказаност A
шприц полипропилен Sodium chloride 0,9% 0,2 mg/ml
Инжекция/Инжекционен   Hydromorphone hydrochloride   
Инжекция/Инжекционен   Ketamine hydrochloride 0,2 >> 1 mg/ml
25°C
7 Ден
Защита от светлина 2336
Степен на доказаност D
шприц полипропилен Sodium chloride 0,9% 10 mg/ml
Инжекция/Инжекционен   Hydromorphone hydrochloride   
Инжекция/Инжекционен   Scopolamine hydrobromide 0,04 mg/ml
Инжекция/Инжекционен   Famotidine 0,4 mg/ml
Инжекция/Инжекционен   Haloperidol lactate 0,5 mg/ml
Инжекция/Инжекционен   Dimenhydrinate 5 mg/ml
25°C
12 Час
Не е уточнено 2166
шприц полипропилен Sodium chloride 0,9% 10 mg/ml
Инжекция/Инжекционен   Hydromorphone hydrochloride   
Инжекция/Инжекционен   Famotidine 0,4 mg/ml
Инжекция/Инжекционен   Midazolam hydrochloride 1 mg/ml
25°C
96 Час
Не е уточнено 2166
шприц полипропилен Sodium chloride 0,9% 10 mg/ml
Инжекция/Инжекционен   Hydromorphone hydrochloride   
Инжекция/Инжекционен   Haloperidol lactate 0,5 mg/ml
Инжекция/Инжекционен   Metoclopramide hydrochloride 0,5 mg/ml
25°C
96 Час
Не е уточнено 2166
шприц полипропилен Sodium chloride 0,9% 10 mg/ml
Инжекция/Инжекционен   Hydromorphone hydrochloride   
Инжекция/Инжекционен   Famotidine 0,4 mg/ml
Инжекция/Инжекционен   Metoclopramide hydrochloride 0,5 mg/ml
Супозитория   Ketoprofene   
25°C
96 Час
Не е уточнено 2166
шприц полипропилен Sodium chloride 0,9% 10 mg/ml
Инжекция/Инжекционен   Hydromorphone hydrochloride   
Инжекция/Инжекционен   Scopolamine hydrobromide 0,04 mg/ml
Инжекция/Инжекционен   Famotidine 0,4 mg/ml
Инжекция/Инжекционен   Haloperidol lactate 0,5 mg/ml
Инжекция/Инжекционен   Dimenhydrinate 5 mg/ml
4°C
12 Час
Не е уточнено 2166
шприц полипропилен Sodium chloride 0,9% 10 mg/ml
Инжекция/Инжекционен   Hydromorphone hydrochloride   
Инжекция/Инжекционен   Famotidine 0,4 mg/ml
Инжекция/Инжекционен   Midazolam hydrochloride 1 mg/ml
4°C
96 Час
Не е уточнено 2166
шприц полипропилен Sodium chloride 0,9% 10 mg/ml
Инжекция/Инжекционен   Hydromorphone hydrochloride   
Инжекция/Инжекционен   Famotidine 0,4 mg/ml
Инжекция/Инжекционен   Metoclopramide hydrochloride 0,5 mg/ml
Инжекция/Инжекционен   Ketorolac tromethamine 1,5 mg/ml
4°C
96 Час
Не е уточнено 2166
шприц полипропилен Sodium chloride 0,9% 0,02 & 0,04 mg/ml
Инжекция/Инжекционен   Hydromorphone hydrochloride   
Инжекция/Инжекционен   Bupivacaine hydrochloride 2,5 mg/ml
6°C
91 Ден
Защита от светлина 1931
Степен на доказаност A
Полиизопренов еластомер Sodium chloride 0,9% 0,08 mg/ml
Инжекция/Инжекционен   Hydromorphone hydrochloride   
Инжекция/Инжекционен   Fentanyl citrate 16 µg/ml
Инжекция/Инжекционен   Nefopam 0,8 mg/ml
Инжекция/Инжекционен   Ramosetron hydrochloride 12 µg/ml
24°C
4 Ден
Защита от светлина 4666
Степен на доказаност D
Полиизопренов еластомер Sodium chloride 0,9% 0,08 mg/ml
Инжекция/Инжекционен   Hydromorphone hydrochloride   
Инжекция/Инжекционен   Fentanyl citrate 16 µg/ml
Инжекция/Инжекционен   Nefopam 0,8 mg/ml
Инжекция/Инжекционен   Ondansetron hydrochloride 0,32 mg/ml
24°C
4 Ден
Защита от светлина 4666
Степен на доказаност D
Не е уточнено Sodium chloride 0,9% 2 & 20 mg/ml
Инжекция/Инжекционен   Hydromorphone hydrochloride   
Инжекция/Инжекционен   Midazolam hydrochloride 0.1 & 0.5 mg/ml
23°C
23 Ден
Защита от светлина 345
Степен на доказаност A
Не е уточнено Sodium chloride 0,9% 35 mg/ml
Инжекция/Инжекционен   Hydromorphone hydrochloride   
Инжекция/Инжекционен   Ziconotide acetate 25 µg/ml
37°C
19 Ден
Защита от светлина 2251
Степен на доказаност D
Не е уточнено Sodium chloride 0,9% 50 mg/ml
Инжекция/Инжекционен   Hydromorphone hydrochloride   
Инжекция/Инжекционен   Bupivacaine hydrochloride 24 mg/ml
Инжекция/Инжекционен   Clonidine hydrochloride 2 mg/ml
37°C
90 Ден
Защита от светлина 2305
Не е уточнено Sodium chloride 0,9% 2 & 20 mg/ml
Инжекция/Инжекционен   Hydromorphone hydrochloride   
Инжекция/Инжекционен   Midazolam hydrochloride 0.1 & 0.5 mg/ml
4°C
23 Ден
Защита от светлина 345
Степен на доказаност A
Не е уточнено Glucose 5% 2 & 20 mg/ml
Инжекция/Инжекционен   Hydromorphone hydrochloride   
Инжекция/Инжекционен   Midazolam hydrochloride 0.1 & 0.5 mg/ml
23°C
23 Ден
Защита от светлина 345
Степен на доказаност A
Не е уточнено Glucose 5% 2 & 20 mg/ml
Инжекция/Инжекционен   Hydromorphone hydrochloride   
Инжекция/Инжекционен   Midazolam hydrochloride 0.1 & 0.5 mg/ml
4°C
23 Ден
Защита от светлина 345
Степен на доказаност A
Не е уточнено Няма 15 mg/ml
Инжекция/Инжекционен   Hydromorphone hydrochloride   
Инжекция/Инжекционен   Bupivacaine hydrochloride 10 mg/ml
37°C
90 Ден
Защита от светлина 4200
Степен на доказаност A

  Mentions Légales