Ultimo aggiornamento :
27/04/2026
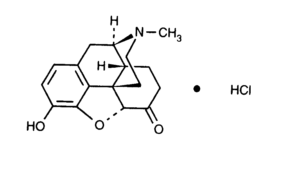
Antalgico   Hydromorphone hydrochloride  
Iniezione
Stabilità in soluzione Stabilità in miscela Fattori che influenzano la stabilità Compatibilità metodo di iniezione Bibliografia pdf
   Struttura chimica  

Nome commerciale   Nome commerciale     

Trade names are indicative and excipients composition can be different depending on the country and manufacturers

Dilaudid Canada, Stati Uniti d’America
Hydal Austria
Palladon Danimarca, Svizzera
Palladone Gran Bretagna
Stabilità in miscela   Iniezione   Stabilità in miscela : Hydromorphone hydrochloride     
contenitore Solvente Concentrazione Molecola Temperatura Conservazione Durata della stabilità Bibliografia
Vetro Cloruro di sodio 0,9% 0,25 mg/ml
Iniezione   Hydromorphone hydrochloride   
Iniezione   Granisetron hydrochloride 0,5 mg/ml
20°C-23°C
4 Ora
Al riparo dalla luce 57
Livello di evidenza A+
Vetro Cloruro di sodio 0,9% 0,2 mg/ml
Iniezione   Hydromorphone hydrochloride   
Iniezione   Ketamine hydrochloride 0,2 >> 1 mg/ml
25°C
7 Giorno
Al riparo dalla luce 2336
Livello di evidenza D
Vetro Cloruro di sodio 0,9% 0,05 mg/ml
Iniezione   Hydromorphone hydrochloride   
Iniezione   Morphine hydrochloride 0,25 mg/ml
25°C
15 Giorno
Non precisata 4667
Livello di evidenza D
Vetro Cloruro di sodio 0,9% 0,05 mg/ml
Iniezione   Hydromorphone hydrochloride   
Iniezione   Morphine hydrochloride 0,25 mg/ml
37°C
15 Giorno
Non precisata 4667
Livello di evidenza D
Vetro Glucosio 5% 0,1 & 1 mg/ml
Iniezione   Hydromorphone hydrochloride   
Iniezione   Tacrolimus 5 & 20 µg/ml
23°C-25°C
4 Ora
Luce 814
Livello di evidenza A
Vetro Nessuno 2 & 10 & 40 mg/ml
Iniezione   Hydromorphone hydrochloride   
Iniezione   Dimenhydrinate 50 mg/ml
23°C
24 Ora
Non precisata 1497
Livello di evidenza B
Vetro Nessuno 0,25 mg/ml
Iniezione   Hydromorphone hydrochloride   
Iniezione   Palonosetron hydrochloride 25 µg/ml
25°C
4 Ora
Luce 2196
Livello di evidenza A+
Vetro Nessuno 2 & 10 & 40 mg/ml
Iniezione   Hydromorphone hydrochloride   
Iniezione   Dimenhydrinate 50 mg/ml
37°C
24 Ora
Non precisata 1497
Livello di evidenza B
Vetro Nessuno 2 & 10 & 40 mg/ml
Iniezione   Hydromorphone hydrochloride   
Iniezione   Dimenhydrinate 50 mg/ml
4°C
24 Ora
Al riparo dalla luce 1497
Livello di evidenza B
Cloruro di polivinile Cloruro di sodio 0,9% 0,5 mg/ml
Iniezione   Hydromorphone hydrochloride   
Iniezione   Fluorouracil 1 & 16 mg/ml
-20°C
35 Giorno
Al riparo dalla luce 513
Livello di evidenza A+
Cloruro di polivinile Cloruro di sodio 0,9% 20 mg/ml
Iniezione   Hydromorphone hydrochloride   
Iniezione   Esketamine 20 mg/ml
22°C
7 Giorno
Non precisata 4664
Livello di evidenza D
Cloruro di polivinile Cloruro di sodio 0,9% 0,5 mg/ml
Iniezione   Hydromorphone hydrochloride   
Iniezione   Ondansetron hydrochloride 0,1 & 1 mg/ml
22°C
31 Giorno
Non precisata 6
Livello di evidenza A+
Cloruro di polivinile Cloruro di sodio 0,9% 0,5 mg/ml
Iniezione   Hydromorphone hydrochloride   
Iniezione   Fluorouracil 16 mg/ml
23°C
7 Giorno
Non precisata 513
Livello di evidenza A+
Cloruro di polivinile Cloruro di sodio 0,9% 0,5 mg/ml
Iniezione   Hydromorphone hydrochloride   
Iniezione   Fluorouracil 1 mg/ml
23°C
35 Giorno
Non precisata 513
Livello di evidenza A+
Cloruro di polivinile Cloruro di sodio 0,9% 0,02 & 0,1 mg/ml
Iniezione   Hydromorphone hydrochloride   
Iniezione   Bupivacaine hydrochloride 0,62 & 1,2 mg/ml
23°C-25°C
72 Ora
Luce 306
Livello di evidenza A
Cloruro di polivinile Cloruro di sodio 0,9% 0,2 mg/ml
Iniezione   Hydromorphone hydrochloride   
Iniezione   Ketamine hydrochloride 0,2 >> 1 mg/ml
25°C
7 Giorno
Al riparo dalla luce 2336
Livello di evidenza D
Cloruro di polivinile Cloruro di sodio 0,9% 0,05 mg/ml
Iniezione   Hydromorphone hydrochloride   
Iniezione   Morphine hydrochloride 0,25 mg/ml
25°C
15 Giorno
Non precisata 4667
Livello di evidenza D
Cloruro di polivinile Cloruro di sodio 0,9% 0.0015 mg/ml
Iniezione   Hydromorphone hydrochloride   
Iniezione   Bupivacaine hydrochloride 0.5 mg/ml
25°C
30 Giorno
Non precisata 4746
Livello di evidenza A
Cloruro di polivinile Cloruro di sodio 0,9% 0.03 mg/ml
Iniezione   Hydromorphone hydrochloride   
Iniezione   Bupivacaine hydrochloride 0.5 mg/ml
25°C
30 Giorno
Non precisata 4746
Livello di evidenza A
Cloruro di polivinile Cloruro di sodio 0,9% 0.03 mg/ml
Iniezione   Hydromorphone hydrochloride   
Iniezione   Bupivacaine hydrochloride 2.5 mg/ml
25°C
30 Giorno
Non precisata 4746
Livello di evidenza A
Cloruro di polivinile Cloruro di sodio 0,9% 0.0015 mg/ml
Iniezione   Hydromorphone hydrochloride   
Iniezione   Bupivacaine hydrochloride 2.5 mg/ml
25°C
30 Giorno
Non precisata 4746
Livello di evidenza A
Cloruro di polivinile Cloruro di sodio 0,9% 0,5 mg/ml
Iniezione   Hydromorphone hydrochloride   
Iniezione   Fluorouracil 16 mg/ml
32°C
3 Giorno
Non precisata 513
Livello di evidenza A+
Cloruro di polivinile Cloruro di sodio 0,9% 0,5 mg/ml
Iniezione   Hydromorphone hydrochloride   
Iniezione   Ondansetron hydrochloride 0,1 & 1 mg/ml
32°C
7 Giorno
Non precisata 6
Livello di evidenza A+
Cloruro di polivinile Cloruro di sodio 0,9% 0,5 mg/ml
Iniezione   Hydromorphone hydrochloride   
Iniezione   Fluorouracil 1 mg/ml
32°C
7 Giorno
Non precisata 513
Livello di evidenza A+
Cloruro di polivinile Cloruro di sodio 0,9% 20 mg/ml
Iniezione   Hydromorphone hydrochloride   
Iniezione   Esketamine 20 mg/ml
37°C
7 Giorno
Non precisata 4664
Livello di evidenza D
Cloruro di polivinile Cloruro di sodio 0,9% 0,05 mg/ml
Iniezione   Hydromorphone hydrochloride   
Iniezione   Morphine hydrochloride 0,25 mg/ml
37°C
15 Giorno
Non precisata 4667
Livello di evidenza D
Cloruro di polivinile Cloruro di sodio 0,9% 0,5 mg/ml
Iniezione   Hydromorphone hydrochloride   
Iniezione   Ondansetron hydrochloride 0,1 & 1 mg/ml
4°C
31 Giorno
Al riparo dalla luce 6
Livello di evidenza A+
Cloruro di polivinile Cloruro di sodio 0,9% 0,5 mg/ml
Iniezione   Hydromorphone hydrochloride   
Iniezione   Fluorouracil 1 & 16 mg/ml
4°C
35 Giorno
Al riparo dalla luce 513
Livello di evidenza A+
Cloruro di polivinile Cloruro di sodio 0,9% 0.0015 mg/ml
Iniezione   Hydromorphone hydrochloride   
Iniezione   Bupivacaine hydrochloride 0.5 mg/ml
4°C
30 Giorno
Non precisata 4746
Livello di evidenza A
Cloruro di polivinile Cloruro di sodio 0,9% 0.03 mg/ml
Iniezione   Hydromorphone hydrochloride   
Iniezione   Bupivacaine hydrochloride 0.5 mg/ml
4°C
30 Giorno
Non precisata 4746
Livello di evidenza A
Cloruro di polivinile Cloruro di sodio 0,9% 0.03 mg/ml
Iniezione   Hydromorphone hydrochloride   
Iniezione   Bupivacaine hydrochloride 2.5 mg/ml
4°C
30 Giorno
Non precisata 4746
Livello di evidenza A
Cloruro di polivinile Cloruro di sodio 0,9% 0.0015 mg/ml
Iniezione   Hydromorphone hydrochloride   
Iniezione   Bupivacaine hydrochloride 2.5 mg/ml
4°C
30 Giorno
Non precisata 4746
Livello di evidenza A
Cloruro di polivinile Cloruro di sodio 0,9% 0,5 mg/ml
Iniezione   Hydromorphone hydrochloride   
Iniezione   Ondansetron hydrochloride 0,1 & 1 mg/ml
4°C-22°C
31 Giorno
Non precisata 6
Livello di evidenza A+
Cloruro di polivinile Cloruro di sodio 0,9% 0,5 mg/ml
Iniezione   Hydromorphone hydrochloride   
Iniezione   Granisetron hydrochloride 0,056 mg/ml
4°C-22°C
31 Ora
Non precisata 6
Livello di evidenza A+
Cloruro di polivinile Cloruro di sodio 0,9% 0,5 mg/ml
Iniezione   Hydromorphone hydrochloride   
Iniezione   Granisetron hydrochloride 0,056 mg/ml
4°C-22°C
31 Ora
Non precisata 6
Livello di evidenza A+
Cloruro di polivinile Glucosio 5% 0,5 mg/ml
Iniezione   Hydromorphone hydrochloride   
Iniezione   Fluorouracil 1 & 16 mg/ml
-20°C
35 Giorno
Al riparo dalla luce 513
Livello di evidenza A+
Cloruro di polivinile Glucosio 5% 0,5 mg/ml
Iniezione   Hydromorphone hydrochloride   
Iniezione   Fluorouracil 16 mg/ml
23°C
7 Giorno
Non precisata 513
Livello di evidenza A+
Cloruro di polivinile Glucosio 5% 0,5 mg/ml
Iniezione   Hydromorphone hydrochloride   
Iniezione   Fluorouracil 1 mg/ml
23°C
35 Giorno
Non precisata 513
Livello di evidenza A+
Cloruro di polivinile Glucosio 5% 0,5 mg/ml
Iniezione   Hydromorphone hydrochloride   
Iniezione   Fluorouracil 16 mg/ml
32°C
3 Giorno
Non precisata 513
Livello di evidenza A+
Cloruro di polivinile Glucosio 5% 0,5 mg/ml
Iniezione   Hydromorphone hydrochloride   
Iniezione   Fluorouracil 1 mg/ml
32°C
7 Giorno
Non precisata 513
Livello di evidenza A+
Cloruro di polivinile Glucosio 5% 0,5 mg/ml
Iniezione   Hydromorphone hydrochloride   
Iniezione   Fluorouracil 1 & 16 mg/ml
4°C
35 Giorno
Al riparo dalla luce 513
Livello di evidenza A+
Polietilene Cloruro di sodio 0,9% 0,05 mg/ml
Iniezione   Hydromorphone hydrochloride   
Iniezione   Morphine hydrochloride 0,25 mg/ml
25°C
15 Giorno
Non precisata 4667
Livello di evidenza D
Polietilene Cloruro di sodio 0,9% 0,05 mg/ml
Iniezione   Hydromorphone hydrochloride   
Iniezione   Morphine hydrochloride 0,25 mg/ml
37°C
15 Giorno
Non precisata 4667
Livello di evidenza D
Poliolefina Cloruro di sodio 0,9% 0.0015 mg/ml
Iniezione   Hydromorphone hydrochloride   
Iniezione   Bupivacaine hydrochloride 0.5 mg/ml
25°C
30 Giorno
Non precisata 4746
Livello di evidenza A
Poliolefina Cloruro di sodio 0,9% 0.03 mg/ml
Iniezione   Hydromorphone hydrochloride   
Iniezione   Bupivacaine hydrochloride 0.5 mg/ml
25°C
30 Giorno
Non precisata 4746
Livello di evidenza A
Poliolefina Cloruro di sodio 0,9% 0.03 mg/ml
Iniezione   Hydromorphone hydrochloride   
Iniezione   Bupivacaine hydrochloride 2.5 mg/ml
25°C
30 Giorno
Non precisata 4746
Livello di evidenza A
Poliolefina Cloruro di sodio 0,9% 0.0015 mg/ml
Iniezione   Hydromorphone hydrochloride   
Iniezione   Bupivacaine hydrochloride 2.5 mg/ml
25°C
30 Giorno
Non precisata 4746
Livello di evidenza A
Poliolefina Cloruro di sodio 0,9% 0.0015 mg/ml
Iniezione   Hydromorphone hydrochloride   
Iniezione   Bupivacaine hydrochloride 0.5 mg/ml
4°C
30 Giorno
Non precisata 4746
Livello di evidenza A
Poliolefina Cloruro di sodio 0,9% 0.03 mg/ml
Iniezione   Hydromorphone hydrochloride   
Iniezione   Bupivacaine hydrochloride 0.5 mg/ml
4°C
30 Giorno
Non precisata 4746
Livello di evidenza A
Poliolefina Cloruro di sodio 0,9% 0.03 mg/ml
Iniezione   Hydromorphone hydrochloride   
Iniezione   Bupivacaine hydrochloride 2.5 mg/ml
4°C
30 Giorno
Non precisata 4746
Livello di evidenza A
Poliolefina Cloruro di sodio 0,9% 0.0015 mg/ml
Iniezione   Hydromorphone hydrochloride   
Iniezione   Bupivacaine hydrochloride 2.5 mg/ml
4°C
30 Giorno
Non precisata 4746
Livello di evidenza A
siringa polipropilene Cloruro di sodio 0,9% 0,02 & 0,04 mg/ml
Iniezione   Hydromorphone hydrochloride   
Iniezione   Bupivacaine hydrochloride 2,5 mg/ml
22°C
91 Giorno
Luce 1931
Livello di evidenza A
siringa polipropilene Cloruro di sodio 0,9% 0,2 mg/ml
Iniezione   Hydromorphone hydrochloride   
Iniezione   Ketamine hydrochloride 0,2 >> 1 mg/ml
25°C
7 Giorno
Al riparo dalla luce 2336
Livello di evidenza D
siringa polipropilene Cloruro di sodio 0,9% 10 mg/ml
Iniezione   Hydromorphone hydrochloride   
Iniezione   Scopolamine hydrobromide 0,04 mg/ml
Iniezione   Famotidine 0,4 mg/ml
Iniezione   Haloperidol lactate 0,5 mg/ml
Iniezione   Dimenhydrinate 5 mg/ml
25°C
12 Ora
Non precisata 2166
siringa polipropilene Cloruro di sodio 0,9% 10 mg/ml
Iniezione   Hydromorphone hydrochloride   
Iniezione   Famotidine 0,4 mg/ml
Iniezione   Midazolam hydrochloride 1 mg/ml
25°C
96 Ora
Non precisata 2166
siringa polipropilene Cloruro di sodio 0,9% 10 mg/ml
Iniezione   Hydromorphone hydrochloride   
Iniezione   Haloperidol lactate 0,5 mg/ml
Iniezione   Metoclopramide hydrochloride 0,5 mg/ml
25°C
96 Ora
Non precisata 2166
siringa polipropilene Cloruro di sodio 0,9% 10 mg/ml
Iniezione   Hydromorphone hydrochloride   
Iniezione   Famotidine 0,4 mg/ml
Iniezione   Metoclopramide hydrochloride 0,5 mg/ml
supposta   Ketoprofene   
25°C
96 Ora
Non precisata 2166
siringa polipropilene Cloruro di sodio 0,9% 10 mg/ml
Iniezione   Hydromorphone hydrochloride   
Iniezione   Scopolamine hydrobromide 0,04 mg/ml
Iniezione   Famotidine 0,4 mg/ml
Iniezione   Haloperidol lactate 0,5 mg/ml
Iniezione   Dimenhydrinate 5 mg/ml
4°C
12 Ora
Non precisata 2166
siringa polipropilene Cloruro di sodio 0,9% 10 mg/ml
Iniezione   Hydromorphone hydrochloride   
Iniezione   Famotidine 0,4 mg/ml
Iniezione   Midazolam hydrochloride 1 mg/ml
4°C
96 Ora
Non precisata 2166
siringa polipropilene Cloruro di sodio 0,9% 10 mg/ml
Iniezione   Hydromorphone hydrochloride   
Iniezione   Famotidine 0,4 mg/ml
Iniezione   Metoclopramide hydrochloride 0,5 mg/ml
Iniezione   Ketorolac tromethamine 1,5 mg/ml
4°C
96 Ora
Non precisata 2166
siringa polipropilene Cloruro di sodio 0,9% 0,02 & 0,04 mg/ml
Iniezione   Hydromorphone hydrochloride   
Iniezione   Bupivacaine hydrochloride 2,5 mg/ml
6°C
91 Giorno
Al riparo dalla luce 1931
Livello di evidenza A
Elastomero poliisoprenico Cloruro di sodio 0,9% 0,08 mg/ml
Iniezione   Hydromorphone hydrochloride   
Iniezione   Fentanyl citrate 16 µg/ml
Iniezione   Nefopam 0,8 mg/ml
Iniezione   Ramosetron hydrochloride 12 µg/ml
24°C
4 Giorno
Al riparo dalla luce 4666
Livello di evidenza D
Elastomero poliisoprenico Cloruro di sodio 0,9% 0,08 mg/ml
Iniezione   Hydromorphone hydrochloride   
Iniezione   Fentanyl citrate 16 µg/ml
Iniezione   Nefopam 0,8 mg/ml
Iniezione   Ondansetron hydrochloride 0,32 mg/ml
24°C
4 Giorno
Al riparo dalla luce 4666
Livello di evidenza D
Non precisato Cloruro di sodio 0,9% 2 & 20 mg/ml
Iniezione   Hydromorphone hydrochloride   
Iniezione   Midazolam hydrochloride 0.1 & 0.5 mg/ml
23°C
23 Giorno
Al riparo dalla luce 345
Livello di evidenza A
Non precisato Cloruro di sodio 0,9% 35 mg/ml
Iniezione   Hydromorphone hydrochloride   
Iniezione   Ziconotide acetate 25 µg/ml
37°C
19 Giorno
Al riparo dalla luce 2251
Livello di evidenza D
Non precisato Cloruro di sodio 0,9% 50 mg/ml
Iniezione   Hydromorphone hydrochloride   
Iniezione   Bupivacaine hydrochloride 24 mg/ml
Iniezione   Clonidine hydrochloride 2 mg/ml
37°C
90 Giorno
Al riparo dalla luce 2305
Non precisato Cloruro di sodio 0,9% 2 & 20 mg/ml
Iniezione   Hydromorphone hydrochloride   
Iniezione   Midazolam hydrochloride 0.1 & 0.5 mg/ml
4°C
23 Giorno
Al riparo dalla luce 345
Livello di evidenza A
Non precisato Glucosio 5% 2 & 20 mg/ml
Iniezione   Hydromorphone hydrochloride   
Iniezione   Midazolam hydrochloride 0.1 & 0.5 mg/ml
23°C
23 Giorno
Al riparo dalla luce 345
Livello di evidenza A
Non precisato Glucosio 5% 2 & 20 mg/ml
Iniezione   Hydromorphone hydrochloride   
Iniezione   Midazolam hydrochloride 0.1 & 0.5 mg/ml
4°C
23 Giorno
Al riparo dalla luce 345
Livello di evidenza A
Non precisato Nessuno 15 mg/ml
Iniezione   Hydromorphone hydrochloride   
Iniezione   Bupivacaine hydrochloride 10 mg/ml
37°C
90 Giorno
Al riparo dalla luce 4200
Livello di evidenza A

  Mentions Légales