Cập nhật lần cuối :
27/04/2026
Kháng sinh   Flucloxacillin sodium  
Dạng tiêm
Tính ổn định của các dung dịch Độ ổn định khi trộn lẫn Những yếu tố ảnh hưởng đến độ ổn định Khả năng tương thích Đường dùng Tài liệu tham khảo Pdf
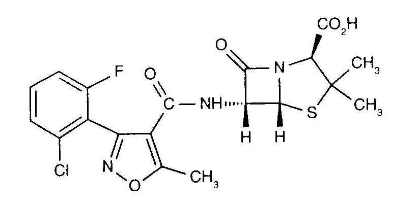
   Cấu trúc hóa học  

Tên thương mại   Tên thương mại     

Các tên thương mại được cung cấp và thành phần tá dược có thể khác nhau giữa các quốc gia và các hãng dược

Astaph Morocco
Betabiotic Ý
DBL flucloxacillin sodium Úc
Flix Thổ Nhĩ Kỳ
Floxam Morocco
Floxapen Ả Rập Saudi, Áo, Ba Lan, Bỉ, Bồ Đào Nha, Hà Lan, Hoa Kỳ, Morocco, Thụy Sỹ, Ý
Flucloxacillin Anh, Úc, Ý, Đức
Flucloxacilline Bỉ, Hà Lan, Pháp
Flucloxin new zealand
Ladropen Hoa Kỳ
Stafoxil Hà Lan
Staphylex Đức
Khả năng tương thích   Dạng tiêm   Khả năng tương thích : Flucloxacillin sodium              
Màn hình này cho biết khả năng tương thích hoặc không tương thích, trong trường hợp này là loại không tương thích (kết tủa, thay đổi màu sắc, sửa đổi nhũ tương, v.v.). Sự tương hợp được chỉ ra ở đây chủ yếu chỉ là vật lý, với độ ổn định hóa học của mỗi phân tử hiếm khi được đánh giá. Việc đánh giá các hỗn hợp này được nghiên cứu để xem xét khả năng sử dụng vị trí Y cho bệnh nhân. Những dữ liệu này không thể được sử dụng để tạo hỗn hợp trước trong túi hoặc ống tiêm. Loại thông tin này có sẵn trong màn hình "Độ ổn định trong hỗn hợp».
Phân tử Dung môi Mục lục
Lượng mưa ngay lập tức Không tương thích
Dạng tiêm Flucloxacillin sodium
Dạng tiêm Amikacin sulfate
3522
Tương thích
Dạng tiêm Flucloxacillin sodium 20 mg/ml
Dạng tiêm Aminophylline 1 mg/ml
NaCl 0,9% 1232
Lượng mưa ngay lập tức Không tương thích
Dạng tiêm Flucloxacillin sodium 20 mg/ml
Dạng tiêm Amiodarone hydrochloride 4 mg/ml
Glucose 5% 1232
Tương thích
Dạng tiêm Flucloxacillin sodium 20 mg/ml
Dạng tiêm Ampicillin sodium 20 mg/ml
NaCl 0,9% 1232
Tương thích
Dạng tiêm Flucloxacillin sodium 20 mg/ml
Dạng tiêm Bumetanide 0,006 mg/ml
NaCl 0,9% 1232
Tương thích
Dạng tiêm Flucloxacillin sodium 50 mg/ml
Dạng tiêm Caffeine 10 mg/ml
Glucose 5% 4837
Tương thích
Dạng tiêm Flucloxacillin sodium 50 mg/ml
Dạng tiêm Caffeine citrate 20 mg/ml
Glucose 5% 4837
Lượng mưa ngay lập tức Không tương thích
Dạng tiêm Flucloxacillin sodium 20 mg/ml
Dạng tiêm Calcium gluconate 2 mg/ml
NaCl 0,9% 1232
Tương thích
Dạng tiêm Flucloxacillin sodium 40 >> 240 mg/ml
Dạng tiêm Ceftazidime 40 >> 180 mg/ml
NaCl 0,9% 3091
Tương thích
Dạng tiêm Flucloxacillin sodium 20 mg/ml
Dạng tiêm Cefuroxime sodium 37,5 mg/ml
Nước cất pha tiêm 1232
Lượng mưa ngay lập tức Không tương thích
Dạng tiêm Flucloxacillin sodium 20 mg/ml
Dạng tiêm Chlorpromazine hydrochloride 5 mg/ml
Nước cất pha tiêm 1232
Tương thích
Dạng tiêm Flucloxacillin sodium 20 mg/ml
Dạng tiêm Cimetidine hydrochloride 4 mg/ml
NaCl 0,9% 1232
Không tương thích không xác định Không tương thích
Dạng tiêm Flucloxacillin sodium
Dạng tiêm Ciprofloxacin lactate
3529
Tương thích
Dạng tiêm Flucloxacillin sodium
NaCl 0,9% 3522
Tương thích
Dạng tiêm Flucloxacillin sodium
Glucose 5% 3522
Không tương thích không xác định Không tương thích
Dạng tiêm Flucloxacillin sodium
Dinh dưỡng đường tĩnh mạch (có lipids) 3522
Lượng mưa ngay lập tức Không tương thích
Dạng tiêm Flucloxacillin sodium 10 mg/ml
Dạng tiêm Ciprofloxacin lactate 2 mg/ml
Không 1357
Không tương thích không xác định Không tương thích
Dạng tiêm Flucloxacillin sodium
Dinh dưỡng đường tĩnh mạch (hỗn hợp 2 thành phần) 3522
Tương thích
Dạng tiêm Flucloxacillin sodium 20 mg/ml
Dạng tiêm Dexamethasone sodium phosphate 4 mg/ml
NaCl 0,9% 1232
Tương thích
Dạng tiêm Flucloxacillin sodium 20 mg/ml
Dạng tiêm Digoxin 25 µg/ml
NaCl 0,9% 1232
Tương thích
Dạng tiêm Flucloxacillin sodium 50 mg/ml
Dinh dưỡng đường tĩnh mạch (hỗn hợp 2 thành phần) 939
Độ đục ngay lập tức Không tương thích
Dạng tiêm Flucloxacillin sodium 20 mg/ml
Dạng tiêm Dobutamine hydrochloride 0.5 mg/ml
NaCl 0,9% 1232
Tương thích
Dạng tiêm Flucloxacillin sodium 20 mg/ml
Dạng tiêm Epinephrine hydrochloride 8 µg/ml
Nước cất pha tiêm 1232
Lượng mưa ngay lập tức Không tương thích
Dạng tiêm Flucloxacillin sodium 20 mg/ml
Dạng tiêm Erythromycin lactobionate 5 mg/ml
NaCl 0,9% 1232
Không tương thích không xác định Không tương thích
Dạng tiêm Flucloxacillin sodium
Dạng tiêm Erythromycin lactobionate
3674
Tương thích
Dạng tiêm Flucloxacillin sodium 20 mg/ml
Dạng tiêm Furosemide 1 mg/ml
NaCl 0,9% 1232
Lượng mưa ngay lập tức Không tương thích
Dạng tiêm Flucloxacillin sodium
Dạng tiêm Gentamicin sulfate
3522
Không tương thích không xác định Không tương thích
Dạng tiêm Flucloxacillin sodium
Dạng tiêm Gentamicin sulfate
3643
Tương thích
Dạng tiêm Flucloxacillin sodium 20 mg/ml
Dạng tiêm Hydrocortisone sodium succinate 50 mg/ml
NaCl 0,9% 1232
Lượng mưa ngay lập tức Không tương thích
Dạng tiêm Flucloxacillin sodium
Dạng tiêm Kanamycin sulfate
3522
Tương thích
Dạng tiêm Flucloxacillin sodium 20 mg/ml
Dạng tiêm Lidocaine hydrochloride 2 mg/ml
NaCl 0,9% 1232
Độ đục trong 4 giờ Không tương thích
Dạng tiêm Flucloxacillin sodium 50 mg/ml
Dạng tiêm Lorazepam 0.33 mg/ml
NaCl 0,9% 186
Lượng mưa ngay lập tức Không tương thích
Dạng tiêm Flucloxacillin sodium 20 mg/ml
Dạng tiêm Metoclopramide hydrochloride 1 mg/ml
NaCl 0,9% 1232
Lượng mưa ngay lập tức Không tương thích
Dạng tiêm Flucloxacillin sodium 50 mg/ml
Dạng tiêm Midazolam hydrochloride 5 mg/ml
Không 186
Lượng mưa ngay lập tức Không tương thích
Dạng tiêm Flucloxacillin sodium
Dạng tiêm Netilmicin sulfate
3522
Lượng mưa sau 7 giờ Không tương thích
Dạng tiêm Flucloxacillin sodium 10 mg/ml
Dạng tiêm Ofloxacin 2 mg/ml
Không 889
Không tương thích không xác định Không tương thích
Dạng tiêm Flucloxacillin sodium
Dạng tiêm Penicillin G sodium
3585
Tương thích
Dạng tiêm Flucloxacillin sodium 50 mg/ml
Dạng tiêm Pentoxifyllin 5 mg/ml
Glucose 5% 4538
Độ đục ngay lập tức Không tương thích
Dạng tiêm Flucloxacillin sodium 20 mg/ml
Dạng tiêm Pethidine hydrochloride 5 mg/ml
Nước cất pha tiêm 1232
Tương thích
Dạng tiêm Flucloxacillin sodium 20 mg/ml
Dạng tiêm Potassium chloride 40 mEq/l
Nước cất pha tiêm 1232
Lượng mưa ngay lập tức Không tương thích
Dạng tiêm Flucloxacillin sodium 20 mg/ml
Dạng tiêm Prochlorperazine edysilate 1.25 mg/ml
Nước cất pha tiêm 1232
Lượng mưa ngay lập tức Không tương thích
Dạng tiêm Flucloxacillin sodium 20 mg/ml
Dạng tiêm Promethazine hydrochloride 5 mg/ml
Nước cất pha tiêm 1232
Tương thích
Dạng tiêm Flucloxacillin sodium 20 mg/ml
Dạng tiêm Ranitidine hydrochloride 0,5 mg/ml
NaCl 0,9% 1232
Độ đục ngay lập tức Không tương thích
Dạng tiêm Flucloxacillin sodium
Dạng tiêm Sildenafil citrate 0,6 mg/ml
Glucose 5% 4845
Không ổn định hóa học Không tương thích
Dạng tiêm Flucloxacillin sodium 50 mg/ml
Dạng tiêm Sildenafil citrate 0,6 mg/ml
Glucose 5% 4845
Tương thích
Dạng tiêm Flucloxacillin sodium 20 mg/ml
Dạng tiêm Sodium bicarbonate 84 mg/ml
1232
Tương thích
Dạng tiêm Flucloxacillin sodium 250 mg/ml
Dạng tiêm Temocilline 83.33 mg/ml
Nước cất pha tiêm 2231
Lượng mưa ngay lập tức Không tương thích
Dạng tiêm Flucloxacillin sodium
Dạng tiêm Tobramycin sulfate
3522
Lượng mưa sau 7 giờ Không tương thích
Dạng tiêm Flucloxacillin sodium 20 mg/ml
Dạng tiêm Tobramycin sulfate 8 mg/ml
NaCl 0,9% 1232
Không tương thích không xác định Không tương thích
Dạng tiêm Flucloxacillin sodium 250 mg/ml
Dạng tiêm Vancomycin hydrochloride 10 mg/ml
Glucose 5% 3385

  Mentions Légales