Последнее обновление :
27/04/2026
Антибиотик   Flucloxacillin sodium  
Инъекция
Стабильность растворов Стабильность смесей Факторы, которые влияют на стабильность Совместимость Способы введения Библиография pdf
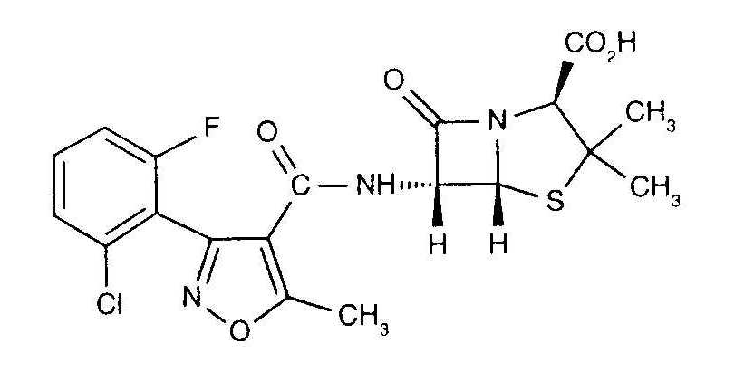
   Химическая структура  

Товарное название   Товарное название     

Trade names are indicative and excipients composition can be different depending on the country and manufacturers

Astaph Марокко
Betabiotic Италия
DBL flucloxacillin sodium Австралия
Flix Турция
Floxam Марокко
Floxapen Австрия, Бельгия, Голландия, Италия, Марокко, Польша, Португалия, Саудовская Аравия, Соединённые Штаты Америки, Швейцария
Flucloxacillin Австралия, Великобритания, Германия, Италия
Flucloxacilline Бельгия, Голландия, Франция
Flucloxin новая Зеландия
Ladropen Соединённые Штаты Америки
Stafoxil Голландия
Staphylex Германия
Совместимость   Инъекция   Совместимость : Flucloxacillin sodium              
Эта таблица показывает совместимость или несовместимость препаратов, по возможности тип несовместимости (преципитат, смена цвета, разложение эмульсии и др.). Показанные здесь совместимости в основном физические, по возможности указана и химическая стабильность каждой молекулы. Анализ этих смесей произведён для исследования возможности ввести препараты пациенту в Y-соединении систем. Эти данные нельзя использовать, чтобы приготовить лекарства на будущее в мешках или шприцах. Эта информация доступна в разделе "Стабильность смесей".
Молекула Растворитель Ссылки
Немедленные осадки несовместимый
Инъекция Flucloxacillin sodium
Инъекция Amikacin sulfate
3522
совместимый
Инъекция Flucloxacillin sodium 20 mg/ml
Инъекция Aminophylline 1 mg/ml
Натрия хлорид 0,9% 1232
Немедленные осадки несовместимый
Инъекция Flucloxacillin sodium 20 mg/ml
Инъекция Amiodarone hydrochloride 4 mg/ml
Глюкоза 5% 1232
совместимый
Инъекция Flucloxacillin sodium 20 mg/ml
Инъекция Ampicillin sodium 20 mg/ml
Натрия хлорид 0,9% 1232
совместимый
Инъекция Flucloxacillin sodium 20 mg/ml
Инъекция Bumetanide 0,006 mg/ml
Натрия хлорид 0,9% 1232
совместимый
Инъекция Flucloxacillin sodium 50 mg/ml
Инъекция Caffeine 10 mg/ml
Глюкоза 5% 4837
совместимый
Инъекция Flucloxacillin sodium 50 mg/ml
Инъекция Caffeine citrate 20 mg/ml
Глюкоза 5% 4837
Немедленные осадки несовместимый
Инъекция Flucloxacillin sodium 20 mg/ml
Инъекция Calcium gluconate 2 mg/ml
Натрия хлорид 0,9% 1232
совместимый
Инъекция Flucloxacillin sodium 40 >> 240 mg/ml
Инъекция Ceftazidime 40 >> 180 mg/ml
Натрия хлорид 0,9% 3091
совместимый
Инъекция Flucloxacillin sodium 20 mg/ml
Инъекция Cefuroxime sodium 37,5 mg/ml
Вода для инъекций 1232
Немедленные осадки несовместимый
Инъекция Flucloxacillin sodium 20 mg/ml
Инъекция Chlorpromazine hydrochloride 5 mg/ml
Вода для инъекций 1232
совместимый
Инъекция Flucloxacillin sodium 20 mg/ml
Инъекция Cimetidine hydrochloride 4 mg/ml
Натрия хлорид 0,9% 1232
Неопределенная несовместимость несовместимый
Инъекция Flucloxacillin sodium
Инъекция Ciprofloxacin lactate
3529
совместимый
Инъекция Flucloxacillin sodium
Натрия хлорид 0,9% 3522
совместимый
Инъекция Flucloxacillin sodium
Глюкоза 5% 3522
Неопределенная несовместимость несовместимый
Инъекция Flucloxacillin sodium
Парентеральное питание (с липидами) 3522
Немедленные осадки несовместимый
Инъекция Flucloxacillin sodium 10 mg/ml
Инъекция Ciprofloxacin lactate 2 mg/ml
Нет 1357
Неопределенная несовместимость несовместимый
Инъекция Flucloxacillin sodium
Парентеральное питание (бинарная смесь) 3522
совместимый
Инъекция Flucloxacillin sodium 20 mg/ml
Инъекция Dexamethasone sodium phosphate 4 mg/ml
Натрия хлорид 0,9% 1232
совместимый
Инъекция Flucloxacillin sodium 20 mg/ml
Инъекция Digoxin 25 µg/ml
Натрия хлорид 0,9% 1232
совместимый
Инъекция Flucloxacillin sodium 50 mg/ml
Парентеральное питание (бинарная смесь) 939
Немедленная мутность несовместимый
Инъекция Flucloxacillin sodium 20 mg/ml
Инъекция Dobutamine hydrochloride 0.5 mg/ml
Натрия хлорид 0,9% 1232
совместимый
Инъекция Flucloxacillin sodium 20 mg/ml
Инъекция Epinephrine hydrochloride 8 µg/ml
Вода для инъекций 1232
Немедленные осадки несовместимый
Инъекция Flucloxacillin sodium 20 mg/ml
Инъекция Erythromycin lactobionate 5 mg/ml
Натрия хлорид 0,9% 1232
Неопределенная несовместимость несовместимый
Инъекция Flucloxacillin sodium
Инъекция Erythromycin lactobionate
3674
совместимый
Инъекция Flucloxacillin sodium 20 mg/ml
Инъекция Furosemide 1 mg/ml
Натрия хлорид 0,9% 1232
Немедленные осадки несовместимый
Инъекция Flucloxacillin sodium
Инъекция Gentamicin sulfate
3522
Неопределенная несовместимость несовместимый
Инъекция Flucloxacillin sodium
Инъекция Gentamicin sulfate
3643
совместимый
Инъекция Flucloxacillin sodium 20 mg/ml
Инъекция Hydrocortisone sodium succinate 50 mg/ml
Натрия хлорид 0,9% 1232
Немедленные осадки несовместимый
Инъекция Flucloxacillin sodium
Инъекция Kanamycin sulfate
3522
совместимый
Инъекция Flucloxacillin sodium 20 mg/ml
Инъекция Lidocaine hydrochloride 2 mg/ml
Натрия хлорид 0,9% 1232
Мутность за 4 часа несовместимый
Инъекция Flucloxacillin sodium 50 mg/ml
Инъекция Lorazepam 0.33 mg/ml
Натрия хлорид 0,9% 186
Немедленные осадки несовместимый
Инъекция Flucloxacillin sodium 20 mg/ml
Инъекция Metoclopramide hydrochloride 1 mg/ml
Натрия хлорид 0,9% 1232
Немедленные осадки несовместимый
Инъекция Flucloxacillin sodium 50 mg/ml
Инъекция Midazolam hydrochloride 5 mg/ml
Нет 186
Немедленные осадки несовместимый
Инъекция Flucloxacillin sodium
Инъекция Netilmicin sulfate
3522
Осадки через 7 часа несовместимый
Инъекция Flucloxacillin sodium 10 mg/ml
Инъекция Ofloxacin 2 mg/ml
Нет 889
Неопределенная несовместимость несовместимый
Инъекция Flucloxacillin sodium
Инъекция Penicillin G sodium
3585
совместимый
Инъекция Flucloxacillin sodium 50 mg/ml
Инъекция Pentoxifyllin 5 mg/ml
Глюкоза 5% 4538
Немедленная мутность несовместимый
Инъекция Flucloxacillin sodium 20 mg/ml
Инъекция Pethidine hydrochloride 5 mg/ml
Вода для инъекций 1232
совместимый
Инъекция Flucloxacillin sodium 20 mg/ml
Инъекция Potassium chloride 40 mEq/l
Вода для инъекций 1232
Немедленные осадки несовместимый
Инъекция Flucloxacillin sodium 20 mg/ml
Инъекция Prochlorperazine edysilate 1.25 mg/ml
Вода для инъекций 1232
Немедленные осадки несовместимый
Инъекция Flucloxacillin sodium 20 mg/ml
Инъекция Promethazine hydrochloride 5 mg/ml
Вода для инъекций 1232
совместимый
Инъекция Flucloxacillin sodium 20 mg/ml
Инъекция Ranitidine hydrochloride 0,5 mg/ml
Натрия хлорид 0,9% 1232
Немедленная мутность несовместимый
Инъекция Flucloxacillin sodium
Инъекция Sildenafil citrate 0,6 mg/ml
Глюкоза 5% 4845
Химическая нестабильность несовместимый
Инъекция Flucloxacillin sodium 50 mg/ml
Инъекция Sildenafil citrate 0,6 mg/ml
Глюкоза 5% 4845
совместимый
Инъекция Flucloxacillin sodium 20 mg/ml
Инъекция Sodium bicarbonate 84 mg/ml
1232
совместимый
Инъекция Flucloxacillin sodium 250 mg/ml
Инъекция Temocilline 83.33 mg/ml
Вода для инъекций 2231
Немедленные осадки несовместимый
Инъекция Flucloxacillin sodium
Инъекция Tobramycin sulfate
3522
Осадки через 7 часа несовместимый
Инъекция Flucloxacillin sodium 20 mg/ml
Инъекция Tobramycin sulfate 8 mg/ml
Натрия хлорид 0,9% 1232
Неопределенная несовместимость несовместимый
Инъекция Flucloxacillin sodium 250 mg/ml
Инъекция Vancomycin hydrochloride 10 mg/ml
Глюкоза 5% 3385

  Mentions Légales