Siste oppdatering :
27/11/2025
Antibiotika   Flucloxacillin sodium  
Injeksjon
Oppløsningsstabilitet Stabilitet i blandinger Faktorer som påvirker stabiliteten Kompatibilitet Administrasjonsmåte Referanser pdf
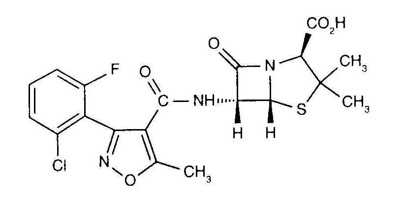
   Kjemisk struktur  

Handelsnavn   Handelsnavn     

Handelsnavn er veiledende og sammensetning av hjelpestoffer kan være forskjellig avhengig av land og produsent

Astaph Marokko
Betabiotic Italia
DBL flucloxacillin sodium Australia
Flix Tyrkia
Floxam Marokko
Floxapen Belgia, Italia, Marokko, Nederland, Polen, Portugal, Saudi-Arabia, Sveits, USA, Østerrike
Flucloxacillin Australia, Italia, Storbritannia, Tyskland
Flucloxacilline Belgia, Frankrike, Nederland
Flucloxin New Zealand
Ladropen USA
Stafoxil Nederland
Staphylex Tyskland
Kompatibilitet   Injeksjon   Kompatibilitet : Flucloxacillin sodium              
Dette skjermbildet viser kompatibilitet eller inkompatibilitet med, i dette tilfellet, typen inkompatibilitet (nedbør, fargeendring, modifisering av en emulsjon, etc.). Kompatibilitetene som er vist her, er for det meste bare fysiske, og den kjemiske stabiliteten til hvert molekyl blir sjelden vurdert. Evalueringen av disse blandingene ble studert for å vurdere muligheten for Y-stedadministrasjon til pasienten. Disse dataene kan ikke brukes til å lage blandinger på forhånd i poser eller sprøyter. Denne typen informasjon er tilgjengelig på skjermen "Stabilitet i blanding".
Legemiddel Oppløsningsmiddel Referanser
Umiddelbar nedbør Uforenlig
Injeksjon Flucloxacillin sodium
Injeksjon Amikacin sulfate
3522
Kompatibel
Injeksjon Flucloxacillin sodium 20 mg/ml
Injeksjon Aminophylline 1 mg/ml
Natriumklorid 0,9 % 1232
Umiddelbar nedbør Uforenlig
Injeksjon Flucloxacillin sodium 20 mg/ml
Injeksjon Amiodarone hydrochloride 4 mg/ml
Glukose 5 % 1232
Kompatibel
Injeksjon Flucloxacillin sodium 20 mg/ml
Injeksjon Ampicillin sodium 20 mg/ml
Natriumklorid 0,9 % 1232
Kompatibel
Injeksjon Flucloxacillin sodium 20 mg/ml
Injeksjon Bumetanide 0,006 mg/ml
Natriumklorid 0,9 % 1232
Kompatibel
Injeksjon Flucloxacillin sodium 50 mg/ml
Injeksjon Caffeine 10 mg/ml
Glukose 5 % 4837
Kompatibel
Injeksjon Flucloxacillin sodium 50 mg/ml
Injeksjon Caffeine citrate 20 mg/ml
Glukose 5 % 4837
Umiddelbar nedbør Uforenlig
Injeksjon Flucloxacillin sodium 20 mg/ml
Injeksjon Calcium gluconate 2 mg/ml
Natriumklorid 0,9 % 1232
Kompatibel
Injeksjon Flucloxacillin sodium 40 >> 240 mg/ml
Injeksjon Ceftazidime 40 >> 180 mg/ml
Natriumklorid 0,9 % 3091
Kompatibel
Injeksjon Flucloxacillin sodium 20 mg/ml
Injeksjon Cefuroxime sodium 37,5 mg/ml
Vann til injeksjon 1232
Umiddelbar nedbør Uforenlig
Injeksjon Flucloxacillin sodium 20 mg/ml
Injeksjon Chlorpromazine hydrochloride 5 mg/ml
Vann til injeksjon 1232
Kompatibel
Injeksjon Flucloxacillin sodium 20 mg/ml
Injeksjon Cimetidine hydrochloride 4 mg/ml
Natriumklorid 0,9 % 1232
Uspesifisert inkompatibilitet Uforenlig
Injeksjon Flucloxacillin sodium
Injeksjon Ciprofloxacin lactate
3529
Kompatibel
Injeksjon Flucloxacillin sodium
Natriumklorid 0,9 % 3522
Kompatibel
Injeksjon Flucloxacillin sodium
Glukose 5 % 3522
Uspesifisert inkompatibilitet Uforenlig
Injeksjon Flucloxacillin sodium
Parenteral ernæring (med lipider) 3522
Umiddelbar nedbør Uforenlig
Injeksjon Flucloxacillin sodium 10 mg/ml
Injeksjon Ciprofloxacin lactate 2 mg/ml
Ingen 1357
Uspesifisert inkompatibilitet Uforenlig
Injeksjon Flucloxacillin sodium
Parenteral ernæring(lipid-free) 3522
Kompatibel
Injeksjon Flucloxacillin sodium 20 mg/ml
Injeksjon Dexamethasone sodium phosphate 4 mg/ml
Natriumklorid 0,9 % 1232
Kompatibel
Injeksjon Flucloxacillin sodium 20 mg/ml
Injeksjon Digoxin 25 µg/ml
Natriumklorid 0,9 % 1232
Kompatibel
Injeksjon Flucloxacillin sodium 50 mg/ml
Parenteral ernæring(lipid-free) 939
Umiddelbar turbiditet Uforenlig
Injeksjon Flucloxacillin sodium 20 mg/ml
Injeksjon Dobutamine hydrochloride 0.5 mg/ml
Natriumklorid 0,9 % 1232
Kompatibel
Injeksjon Flucloxacillin sodium 20 mg/ml
Injeksjon Epinephrine hydrochloride 8 µg/ml
Vann til injeksjon 1232
Umiddelbar nedbør Uforenlig
Injeksjon Flucloxacillin sodium 20 mg/ml
Injeksjon Erythromycin lactobionate 5 mg/ml
Natriumklorid 0,9 % 1232
Uspesifisert inkompatibilitet Uforenlig
Injeksjon Flucloxacillin sodium
Injeksjon Erythromycin lactobionate
3674
Kompatibel
Injeksjon Flucloxacillin sodium 20 mg/ml
Injeksjon Furosemide 1 mg/ml
Natriumklorid 0,9 % 1232
Umiddelbar nedbør Uforenlig
Injeksjon Flucloxacillin sodium
Injeksjon Gentamicin sulfate
3522
Uspesifisert inkompatibilitet Uforenlig
Injeksjon Flucloxacillin sodium
Injeksjon Gentamicin sulfate
3643
Kompatibel
Injeksjon Flucloxacillin sodium 20 mg/ml
Injeksjon Hydrocortisone sodium succinate 50 mg/ml
Natriumklorid 0,9 % 1232
Umiddelbar nedbør Uforenlig
Injeksjon Flucloxacillin sodium
Injeksjon Kanamycin sulfate
3522
Kompatibel
Injeksjon Flucloxacillin sodium 20 mg/ml
Injeksjon Lidocaine hydrochloride 2 mg/ml
Natriumklorid 0,9 % 1232
Turbiditet på 4 timer Uforenlig
Injeksjon Flucloxacillin sodium 50 mg/ml
Injeksjon Lorazepam 0.33 mg/ml
Natriumklorid 0,9 % 186
Umiddelbar nedbør Uforenlig
Injeksjon Flucloxacillin sodium 20 mg/ml
Injeksjon Metoclopramide hydrochloride 1 mg/ml
Natriumklorid 0,9 % 1232
Umiddelbar nedbør Uforenlig
Injeksjon Flucloxacillin sodium 50 mg/ml
Injeksjon Midazolam hydrochloride 5 mg/ml
Ingen 186
Umiddelbar nedbør Uforenlig
Injeksjon Flucloxacillin sodium
Injeksjon Netilmicin sulfate
3522
Nedbør etter 7 timer Uforenlig
Injeksjon Flucloxacillin sodium 10 mg/ml
Injeksjon Ofloxacin 2 mg/ml
Ingen 889
Uspesifisert inkompatibilitet Uforenlig
Injeksjon Flucloxacillin sodium
Injeksjon Penicillin G sodium
3585
Kompatibel
Injeksjon Flucloxacillin sodium 50 mg/ml
Injeksjon Pentoxifyllin 5 mg/ml
Glukose 5 % 4538
Umiddelbar turbiditet Uforenlig
Injeksjon Flucloxacillin sodium 20 mg/ml
Injeksjon Pethidine hydrochloride 5 mg/ml
Vann til injeksjon 1232
Kompatibel
Injeksjon Flucloxacillin sodium 20 mg/ml
Injeksjon Potassium chloride 40 mEq/l
Vann til injeksjon 1232
Umiddelbar nedbør Uforenlig
Injeksjon Flucloxacillin sodium 20 mg/ml
Injeksjon Prochlorperazine edysilate 1.25 mg/ml
Vann til injeksjon 1232
Umiddelbar nedbør Uforenlig
Injeksjon Flucloxacillin sodium 20 mg/ml
Injeksjon Promethazine hydrochloride 5 mg/ml
Vann til injeksjon 1232
Kompatibel
Injeksjon Flucloxacillin sodium 20 mg/ml
Injeksjon Ranitidine hydrochloride 0,5 mg/ml
Natriumklorid 0,9 % 1232
Umiddelbar turbiditet Uforenlig
Injeksjon Flucloxacillin sodium
Injeksjon Sildenafil citrate 0,6 mg/ml
Glukose 5 % 4845
Kjemisk ustabilitet Uforenlig
Injeksjon Flucloxacillin sodium 50 mg/ml
Injeksjon Sildenafil citrate 0,6 mg/ml
Glukose 5 % 4845
Kompatibel
Injeksjon Flucloxacillin sodium 20 mg/ml
Injeksjon Sodium bicarbonate 84 mg/ml
1232
Kompatibel
Injeksjon Flucloxacillin sodium 250 mg/ml
Injeksjon Temocilline 83.33 mg/ml
Vann til injeksjon 2231
Umiddelbar nedbør Uforenlig
Injeksjon Flucloxacillin sodium
Injeksjon Tobramycin sulfate
3522
Nedbør etter 7 timer Uforenlig
Injeksjon Flucloxacillin sodium 20 mg/ml
Injeksjon Tobramycin sulfate 8 mg/ml
Natriumklorid 0,9 % 1232
Uspesifisert inkompatibilitet Uforenlig
Injeksjon Flucloxacillin sodium 250 mg/ml
Injeksjon Vancomycin hydrochloride 10 mg/ml
Glukose 5 % 3385

  Mentions Légales