zadnja posodobitev :
27/04/2026
Antibiotik   Flucloxacillin sodium  
Brizgalka
Stabilnost raztopine Stabilnost mešanice Faktorji, ki vplivajo na stabilnost Kompatibilnost način aplikacije Viri pdf
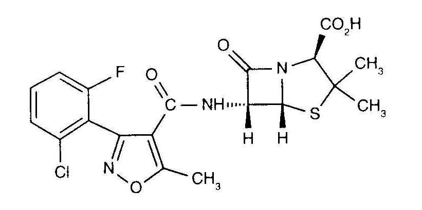
   Kemična formula  

Lastniško ime   Lastniško ime     

Sestava pomožnih snovi je med paralelami lahko različna

Astaph Maroko
Betabiotic Italija
DBL flucloxacillin sodium Avstralija
Flix Turčija
Floxam Maroko
Floxapen Avstrija, Belgija, Italija, Maroko, Nizozemska, Poljska, Portugalska, Savdska Arabija, Švica, Združene države Amerike
Flucloxacillin Avstralija, Italija, Nemčija, Velika Britanija
Flucloxacilline Belgija, Francija, Nizozemska
Flucloxin nova Zelandija
Ladropen Združene države Amerike
Stafoxil Nizozemska
Staphylex Nemčija
Kompatibilnost   Brizgalka   Kompatibilnost : Flucloxacillin sodium              
Ta zaslon prikazuje združljivost ali nezdružljivost s, v tem primeru, vrsto nezdružljivosti (padavine, sprememba barve, sprememba emulzije itd.). Tu prikazane združljivosti so večinoma samo fizične, pri čemer se kemijska stabilnost vsake molekule redko ocenjuje. Vrednotenje teh zmesi so preučevali, da bi preučili možnost pacientovega dajanja na mestu Y. Teh podatkov ni mogoče uporabiti za pripravo mešanic v vrečkah ali brizgah. Ta vrsta informacij je na voljo na zaslonu "Obstojnost v mešanici".
Sestava Topilo Viri
Takoj padavine Nezdružljivo
Brizgalka Flucloxacillin sodium
Brizgalka Amikacin sulfate
3522
Združljivo
Brizgalka Flucloxacillin sodium 20 mg/ml
Brizgalka Aminophylline 1 mg/ml
Natrijev klorid 0,9% 1232
Takoj padavine Nezdružljivo
Brizgalka Flucloxacillin sodium 20 mg/ml
Brizgalka Amiodarone hydrochloride 4 mg/ml
Glukoza 5% 1232
Združljivo
Brizgalka Flucloxacillin sodium 20 mg/ml
Brizgalka Ampicillin sodium 20 mg/ml
Natrijev klorid 0,9% 1232
Združljivo
Brizgalka Flucloxacillin sodium 20 mg/ml
Brizgalka Bumetanide 0,006 mg/ml
Natrijev klorid 0,9% 1232
Združljivo
Brizgalka Flucloxacillin sodium 50 mg/ml
Brizgalka Caffeine 10 mg/ml
Glukoza 5% 4837
Združljivo
Brizgalka Flucloxacillin sodium 50 mg/ml
Brizgalka Caffeine citrate 20 mg/ml
Glukoza 5% 4837
Takoj padavine Nezdružljivo
Brizgalka Flucloxacillin sodium 20 mg/ml
Brizgalka Calcium gluconate 2 mg/ml
Natrijev klorid 0,9% 1232
Združljivo
Brizgalka Flucloxacillin sodium 40 >> 240 mg/ml
Brizgalka Ceftazidime 40 >> 180 mg/ml
Natrijev klorid 0,9% 3091
Združljivo
Brizgalka Flucloxacillin sodium 20 mg/ml
Brizgalka Cefuroxime sodium 37,5 mg/ml
Voda za injekcije 1232
Takoj padavine Nezdružljivo
Brizgalka Flucloxacillin sodium 20 mg/ml
Brizgalka Chlorpromazine hydrochloride 5 mg/ml
Voda za injekcije 1232
Združljivo
Brizgalka Flucloxacillin sodium 20 mg/ml
Brizgalka Cimetidine hydrochloride 4 mg/ml
Natrijev klorid 0,9% 1232
Nedoločena nezdružljivost Nezdružljivo
Brizgalka Flucloxacillin sodium
Brizgalka Ciprofloxacin lactate
3529
Združljivo
Brizgalka Flucloxacillin sodium
Natrijev klorid 0,9% 3522
Združljivo
Brizgalka Flucloxacillin sodium
Glukoza 5% 3522
Nedoločena nezdružljivost Nezdružljivo
Brizgalka Flucloxacillin sodium
Parenteralna prehrana (z lipidi) 3522
Takoj padavine Nezdružljivo
Brizgalka Flucloxacillin sodium 10 mg/ml
Brizgalka Ciprofloxacin lactate 2 mg/ml
Nobeden 1357
Nedoločena nezdružljivost Nezdružljivo
Brizgalka Flucloxacillin sodium
Parenteralna prehrana (binarno zmes) 3522
Združljivo
Brizgalka Flucloxacillin sodium 20 mg/ml
Brizgalka Dexamethasone sodium phosphate 4 mg/ml
Natrijev klorid 0,9% 1232
Združljivo
Brizgalka Flucloxacillin sodium 20 mg/ml
Brizgalka Digoxin 25 µg/ml
Natrijev klorid 0,9% 1232
Združljivo
Brizgalka Flucloxacillin sodium 50 mg/ml
Parenteralna prehrana (binarno zmes) 939
Takojšnja motnost Nezdružljivo
Brizgalka Flucloxacillin sodium 20 mg/ml
Brizgalka Dobutamine hydrochloride 0.5 mg/ml
Natrijev klorid 0,9% 1232
Združljivo
Brizgalka Flucloxacillin sodium 20 mg/ml
Brizgalka Epinephrine hydrochloride 8 µg/ml
Voda za injekcije 1232
Takoj padavine Nezdružljivo
Brizgalka Flucloxacillin sodium 20 mg/ml
Brizgalka Erythromycin lactobionate 5 mg/ml
Natrijev klorid 0,9% 1232
Nedoločena nezdružljivost Nezdružljivo
Brizgalka Flucloxacillin sodium
Brizgalka Erythromycin lactobionate
3674
Združljivo
Brizgalka Flucloxacillin sodium 20 mg/ml
Brizgalka Furosemide 1 mg/ml
Natrijev klorid 0,9% 1232
Takoj padavine Nezdružljivo
Brizgalka Flucloxacillin sodium
Brizgalka Gentamicin sulfate
3522
Nedoločena nezdružljivost Nezdružljivo
Brizgalka Flucloxacillin sodium
Brizgalka Gentamicin sulfate
3643
Združljivo
Brizgalka Flucloxacillin sodium 20 mg/ml
Brizgalka Hydrocortisone sodium succinate 50 mg/ml
Natrijev klorid 0,9% 1232
Takoj padavine Nezdružljivo
Brizgalka Flucloxacillin sodium
Brizgalka Kanamycin sulfate
3522
Združljivo
Brizgalka Flucloxacillin sodium 20 mg/ml
Brizgalka Lidocaine hydrochloride 2 mg/ml
Natrijev klorid 0,9% 1232
Motnost v 4 urah Nezdružljivo
Brizgalka Flucloxacillin sodium 50 mg/ml
Brizgalka Lorazepam 0.33 mg/ml
Natrijev klorid 0,9% 186
Takoj padavine Nezdružljivo
Brizgalka Flucloxacillin sodium 20 mg/ml
Brizgalka Metoclopramide hydrochloride 1 mg/ml
Natrijev klorid 0,9% 1232
Takoj padavine Nezdružljivo
Brizgalka Flucloxacillin sodium 50 mg/ml
Brizgalka Midazolam hydrochloride 5 mg/ml
Nobeden 186
Takoj padavine Nezdružljivo
Brizgalka Flucloxacillin sodium
Brizgalka Netilmicin sulfate
3522
Padavine po 7 urah Nezdružljivo
Brizgalka Flucloxacillin sodium 10 mg/ml
Brizgalka Ofloxacin 2 mg/ml
Nobeden 889
Nedoločena nezdružljivost Nezdružljivo
Brizgalka Flucloxacillin sodium
Brizgalka Penicillin G sodium
3585
Združljivo
Brizgalka Flucloxacillin sodium 50 mg/ml
Brizgalka Pentoxifyllin 5 mg/ml
Glukoza 5% 4538
Takojšnja motnost Nezdružljivo
Brizgalka Flucloxacillin sodium 20 mg/ml
Brizgalka Pethidine hydrochloride 5 mg/ml
Voda za injekcije 1232
Združljivo
Brizgalka Flucloxacillin sodium 20 mg/ml
Brizgalka Potassium chloride 40 mEq/l
Voda za injekcije 1232
Takoj padavine Nezdružljivo
Brizgalka Flucloxacillin sodium 20 mg/ml
Brizgalka Prochlorperazine edysilate 1.25 mg/ml
Voda za injekcije 1232
Takoj padavine Nezdružljivo
Brizgalka Flucloxacillin sodium 20 mg/ml
Brizgalka Promethazine hydrochloride 5 mg/ml
Voda za injekcije 1232
Združljivo
Brizgalka Flucloxacillin sodium 20 mg/ml
Brizgalka Ranitidine hydrochloride 0,5 mg/ml
Natrijev klorid 0,9% 1232
Takojšnja motnost Nezdružljivo
Brizgalka Flucloxacillin sodium
Brizgalka Sildenafil citrate 0,6 mg/ml
Glukoza 5% 4845
Kemijska nestabilnost Nezdružljivo
Brizgalka Flucloxacillin sodium 50 mg/ml
Brizgalka Sildenafil citrate 0,6 mg/ml
Glukoza 5% 4845
Združljivo
Brizgalka Flucloxacillin sodium 20 mg/ml
Brizgalka Sodium bicarbonate 84 mg/ml
1232
Združljivo
Brizgalka Flucloxacillin sodium 250 mg/ml
Brizgalka Temocilline 83.33 mg/ml
Voda za injekcije 2231
Takoj padavine Nezdružljivo
Brizgalka Flucloxacillin sodium
Brizgalka Tobramycin sulfate
3522
Padavine po 7 urah Nezdružljivo
Brizgalka Flucloxacillin sodium 20 mg/ml
Brizgalka Tobramycin sulfate 8 mg/ml
Natrijev klorid 0,9% 1232
Nedoločena nezdružljivost Nezdružljivo
Brizgalka Flucloxacillin sodium 250 mg/ml
Brizgalka Vancomycin hydrochloride 10 mg/ml
Glukoza 5% 3385

  Mentions Légales