Poslední aktualizace :
27/04/2026
Antibiotikas   Flucloxacillin sodium  
Įpurškimas
Tirpalų stabilumas Mišinių stabilumas Stabilumą lemiantys veiksniai Suderinamumas Leidimo būdai Bibliografija pdf
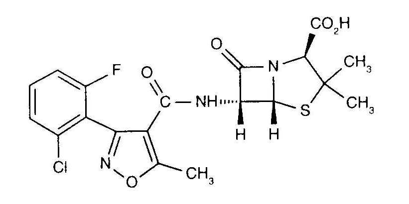
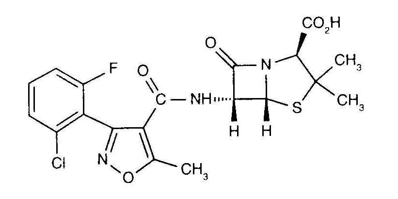
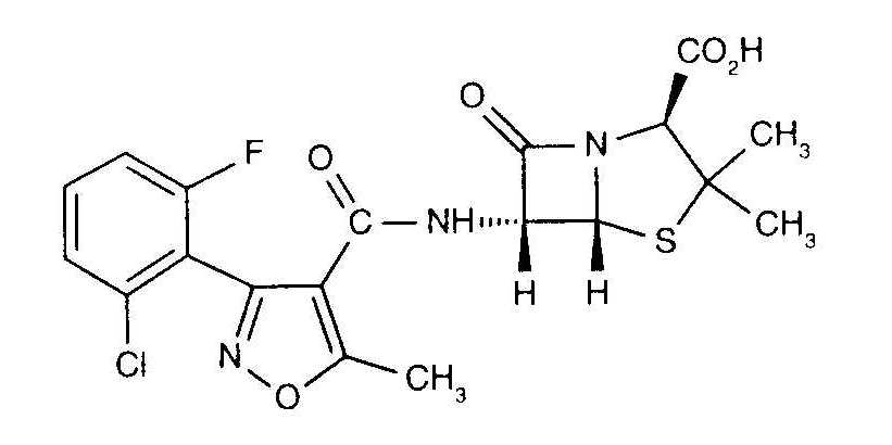
   Cheminė sandara  

Prekinis pavadinimas   Prekinis pavadinimas     

Trade names are indicative and excipients composition can be different depending on the country and manufacturers

Astaph Marokas
Betabiotic Italija
DBL flucloxacillin sodium Australija
Flix Turkija
Floxam Marokas
Floxapen Austrija, Belgija, Italija, Jungtinės Amerikos Valstijos, Lenkija, Marokas, Olandija, Portugalija, Saudo Arabija, Šveicarija
Flucloxacillin Australija, Didžioji Britanija, Italija, Vokietija
Flucloxacilline Belgija, Olandija, Prancūzija
Flucloxin Naujojoje Zelandijoje
Ladropen Jungtinės Amerikos Valstijos
Stafoxil Olandija
Staphylex Vokietija
Suderinamumas   Įpurškimas   Suderinamumas : Flucloxacillin sodium              
explication_incompatibilite_molecules
Molekulė Tirpiklis Nuorodos
Nedelsiant krituliai Nesuderinamas
Įpurškimas Flucloxacillin sodium
Įpurškimas Amikacin sulfate
3522
Suderinamas
Įpurškimas Flucloxacillin sodium 20 mg/ml
Įpurškimas Aminophylline 1 mg/ml
Natrio chloridas 0,9% 1232
Nedelsiant krituliai Nesuderinamas
Įpurškimas Flucloxacillin sodium 20 mg/ml
Įpurškimas Amiodarone hydrochloride 4 mg/ml
Gliukozė 5% 1232
Suderinamas
Įpurškimas Flucloxacillin sodium 20 mg/ml
Įpurškimas Ampicillin sodium 20 mg/ml
Natrio chloridas 0,9% 1232
Suderinamas
Įpurškimas Flucloxacillin sodium 20 mg/ml
Įpurškimas Bumetanide 0,006 mg/ml
Natrio chloridas 0,9% 1232
Suderinamas
Įpurškimas Flucloxacillin sodium 50 mg/ml
Įpurškimas Caffeine 10 mg/ml
Gliukozė 5% 4837
Suderinamas
Įpurškimas Flucloxacillin sodium 50 mg/ml
Įpurškimas Caffeine citrate 20 mg/ml
Gliukozė 5% 4837
Nedelsiant krituliai Nesuderinamas
Įpurškimas Flucloxacillin sodium 20 mg/ml
Įpurškimas Calcium gluconate 2 mg/ml
Natrio chloridas 0,9% 1232
Suderinamas
Įpurškimas Flucloxacillin sodium 40 >> 240 mg/ml
Įpurškimas Ceftazidime 40 >> 180 mg/ml
Natrio chloridas 0,9% 3091
Suderinamas
Įpurškimas Flucloxacillin sodium 20 mg/ml
Įpurškimas Cefuroxime sodium 37,5 mg/ml
Vanduo injekcijoms 1232
Nedelsiant krituliai Nesuderinamas
Įpurškimas Flucloxacillin sodium 20 mg/ml
Įpurškimas Chlorpromazine hydrochloride 5 mg/ml
Vanduo injekcijoms 1232
Suderinamas
Įpurškimas Flucloxacillin sodium 20 mg/ml
Įpurškimas Cimetidine hydrochloride 4 mg/ml
Natrio chloridas 0,9% 1232
Nepatikslintas nesuderinamumas Nesuderinamas
Įpurškimas Flucloxacillin sodium
Įpurškimas Ciprofloxacin lactate
3529
Suderinamas
Įpurškimas Flucloxacillin sodium
Natrio chloridas 0,9% 3522
Suderinamas
Įpurškimas Flucloxacillin sodium
Gliukozė 5% 3522
Nepatikslintas nesuderinamumas Nesuderinamas
Įpurškimas Flucloxacillin sodium
Parenteriniu būdu (su lipidų) 3522
Nedelsiant krituliai Nesuderinamas
Įpurškimas Flucloxacillin sodium 10 mg/ml
Įpurškimas Ciprofloxacin lactate 2 mg/ml
Nėra 1357
Nepatikslintas nesuderinamumas Nesuderinamas
Įpurškimas Flucloxacillin sodium
Parenterinis maitinimas (lipidų nemokamai) 3522
Suderinamas
Įpurškimas Flucloxacillin sodium 20 mg/ml
Įpurškimas Dexamethasone sodium phosphate 4 mg/ml
Natrio chloridas 0,9% 1232
Suderinamas
Įpurškimas Flucloxacillin sodium 20 mg/ml
Įpurškimas Digoxin 25 µg/ml
Natrio chloridas 0,9% 1232
Suderinamas
Įpurškimas Flucloxacillin sodium 50 mg/ml
Parenterinis maitinimas (lipidų nemokamai) 939
Tiesioginis drumstumas Nesuderinamas
Įpurškimas Flucloxacillin sodium 20 mg/ml
Įpurškimas Dobutamine hydrochloride 0.5 mg/ml
Natrio chloridas 0,9% 1232
Suderinamas
Įpurškimas Flucloxacillin sodium 20 mg/ml
Įpurškimas Epinephrine hydrochloride 8 µg/ml
Vanduo injekcijoms 1232
Nedelsiant krituliai Nesuderinamas
Įpurškimas Flucloxacillin sodium 20 mg/ml
Įpurškimas Erythromycin lactobionate 5 mg/ml
Natrio chloridas 0,9% 1232
Nepatikslintas nesuderinamumas Nesuderinamas
Įpurškimas Flucloxacillin sodium
Įpurškimas Erythromycin lactobionate
3674
Suderinamas
Įpurškimas Flucloxacillin sodium 20 mg/ml
Įpurškimas Furosemide 1 mg/ml
Natrio chloridas 0,9% 1232
Nedelsiant krituliai Nesuderinamas
Įpurškimas Flucloxacillin sodium
Įpurškimas Gentamicin sulfate
3522
Nepatikslintas nesuderinamumas Nesuderinamas
Įpurškimas Flucloxacillin sodium
Įpurškimas Gentamicin sulfate
3643
Suderinamas
Įpurškimas Flucloxacillin sodium 20 mg/ml
Įpurškimas Hydrocortisone sodium succinate 50 mg/ml
Natrio chloridas 0,9% 1232
Nedelsiant krituliai Nesuderinamas
Įpurškimas Flucloxacillin sodium
Įpurškimas Kanamycin sulfate
3522
Suderinamas
Įpurškimas Flucloxacillin sodium 20 mg/ml
Įpurškimas Lidocaine hydrochloride 2 mg/ml
Natrio chloridas 0,9% 1232
Troebelheid in 4 uur Nesuderinamas
Įpurškimas Flucloxacillin sodium 50 mg/ml
Įpurškimas Lorazepam 0.33 mg/ml
Natrio chloridas 0,9% 186
Nedelsiant krituliai Nesuderinamas
Įpurškimas Flucloxacillin sodium 20 mg/ml
Įpurškimas Metoclopramide hydrochloride 1 mg/ml
Natrio chloridas 0,9% 1232
Nedelsiant krituliai Nesuderinamas
Įpurškimas Flucloxacillin sodium 50 mg/ml
Įpurškimas Midazolam hydrochloride 5 mg/ml
Nėra 186
Nedelsiant krituliai Nesuderinamas
Įpurškimas Flucloxacillin sodium
Įpurškimas Netilmicin sulfate
3522
Krituliai po 7 valandų Nesuderinamas
Įpurškimas Flucloxacillin sodium 10 mg/ml
Įpurškimas Ofloxacin 2 mg/ml
Nėra 889
Nepatikslintas nesuderinamumas Nesuderinamas
Įpurškimas Flucloxacillin sodium
Įpurškimas Penicillin G sodium
3585
Suderinamas
Įpurškimas Flucloxacillin sodium 50 mg/ml
Įpurškimas Pentoxifyllin 5 mg/ml
Gliukozė 5% 4538
Tiesioginis drumstumas Nesuderinamas
Įpurškimas Flucloxacillin sodium 20 mg/ml
Įpurškimas Pethidine hydrochloride 5 mg/ml
Vanduo injekcijoms 1232
Suderinamas
Įpurškimas Flucloxacillin sodium 20 mg/ml
Įpurškimas Potassium chloride 40 mEq/l
Vanduo injekcijoms 1232
Nedelsiant krituliai Nesuderinamas
Įpurškimas Flucloxacillin sodium 20 mg/ml
Įpurškimas Prochlorperazine edysilate 1.25 mg/ml
Vanduo injekcijoms 1232
Nedelsiant krituliai Nesuderinamas
Įpurškimas Flucloxacillin sodium 20 mg/ml
Įpurškimas Promethazine hydrochloride 5 mg/ml
Vanduo injekcijoms 1232
Suderinamas
Įpurškimas Flucloxacillin sodium 20 mg/ml
Įpurškimas Ranitidine hydrochloride 0,5 mg/ml
Natrio chloridas 0,9% 1232
Tiesioginis drumstumas Nesuderinamas
Įpurškimas Flucloxacillin sodium
Įpurškimas Sildenafil citrate 0,6 mg/ml
Gliukozė 5% 4845
Cheminis nestabilumas Nesuderinamas
Įpurškimas Flucloxacillin sodium 50 mg/ml
Įpurškimas Sildenafil citrate 0,6 mg/ml
Gliukozė 5% 4845
Suderinamas
Įpurškimas Flucloxacillin sodium 20 mg/ml
Įpurškimas Sodium bicarbonate 84 mg/ml
1232
Suderinamas
Įpurškimas Flucloxacillin sodium 250 mg/ml
Įpurškimas Temocilline 83.33 mg/ml
Vanduo injekcijoms 2231
Nedelsiant krituliai Nesuderinamas
Įpurškimas Flucloxacillin sodium
Įpurškimas Tobramycin sulfate
3522
Krituliai po 7 valandų Nesuderinamas
Įpurškimas Flucloxacillin sodium 20 mg/ml
Įpurškimas Tobramycin sulfate 8 mg/ml
Natrio chloridas 0,9% 1232
Nepatikslintas nesuderinamumas Nesuderinamas
Įpurškimas Flucloxacillin sodium 250 mg/ml
Įpurškimas Vancomycin hydrochloride 10 mg/ml
Gliukozė 5% 3385

  Mentions Légales