Laatste update :
27/11/2025
Antibioticum   Flucloxacillin sodium  
injecteerbaar geneesmiddel
Stabiliteit in oplossing Stabiliteit in mengsels Factoren die de stabiliteit beïnvloeden Verenigbaarheden Toedieningswijze Literatuur pdf
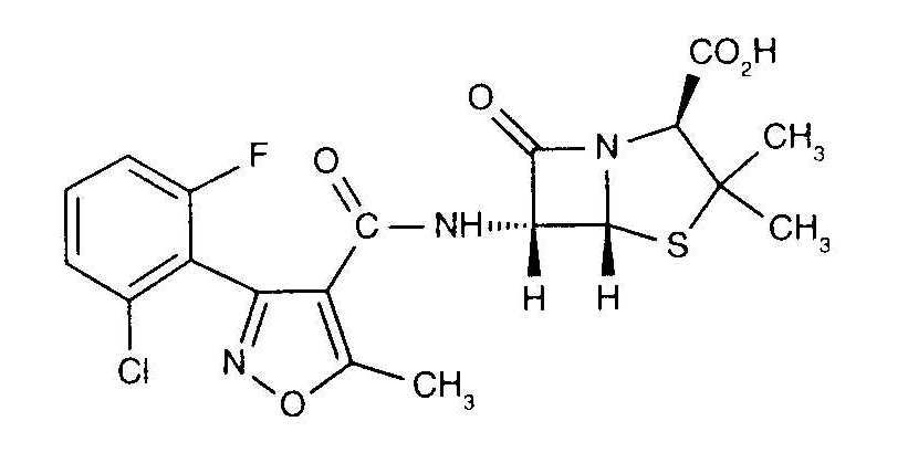
   Molecuulstructuur  

Merknamen in verschillende landen   Merknamen in verschillende landen     

Handelsnamen zijn slechts een indicatie; de samenstelling van hulpstoffen kan per land variëren afhankelijk van de fabrikant

Astaph Marokko
Betabiotic Italië
DBL flucloxacillin sodium Australië
Flix Turkije
Floxam Marokko
Floxapen België, Italië, Marokko, Nederland, Oostenrijk, Polen, Portugal, Saudi-Arabië, USA, Zwitserland
Flucloxacillin Australië, Duitsland, Groot Britannië, Italië
Flucloxacilline België, Frankrijk, Nederland
Flucloxin nieuw Zeeland
Ladropen USA
Stafoxil Nederland
Staphylex Duitsland
Verenigbaarheden   injecteerbaar geneesmiddel   Verenigbaarheden : Flucloxacillin sodium              
In dit scherm worden de verenigbaarheden en onverenigbaarheden weergegeven. In het geval van een onverenigbaarheid wordt ook het type (neerslag, kleurverandering, modificatie van een emulsie, etc) weergegeven. De weergegeven verenigbaarheden zijn meestal alleen op uiterlijk beoordeeld, er heeft zelden een chemische beoordeling van iedere component plaatsgevonden. De verenigbaarheden betreffen gelijktijdige toediening aan de patient middels de Y-site. De data kan niet gebruikt worden in de beoordeling van verenigbaarheden van componenten in infuuszakken of spuiten. Die informatie is te vinden onder ‘stabiliteit in mengsels’.
Stof Oplosmiddel Literatuur
Onmiddellijke neerslag Onverenigbaar
injecteerbaar geneesmiddel Flucloxacillin sodium
injecteerbaar geneesmiddel Amikacin sulfate
3522
Verenigbaar
injecteerbaar geneesmiddel Flucloxacillin sodium 20 mg/ml
injecteerbaar geneesmiddel Aminophylline 1 mg/ml
Natriumchloride 0,9% 1232
Onmiddellijke neerslag Onverenigbaar
injecteerbaar geneesmiddel Flucloxacillin sodium 20 mg/ml
injecteerbaar geneesmiddel Amiodarone hydrochloride 4 mg/ml
Glucose 5% 1232
Verenigbaar
injecteerbaar geneesmiddel Flucloxacillin sodium 20 mg/ml
injecteerbaar geneesmiddel Ampicillin sodium 20 mg/ml
Natriumchloride 0,9% 1232
Verenigbaar
injecteerbaar geneesmiddel Flucloxacillin sodium 20 mg/ml
injecteerbaar geneesmiddel Bumetanide 0,006 mg/ml
Natriumchloride 0,9% 1232
Verenigbaar
injecteerbaar geneesmiddel Flucloxacillin sodium 50 mg/ml
injecteerbaar geneesmiddel Caffeine 10 mg/ml
Glucose 5% 4837
Verenigbaar
injecteerbaar geneesmiddel Flucloxacillin sodium 50 mg/ml
injecteerbaar geneesmiddel Caffeine citrate 20 mg/ml
Glucose 5% 4837
Onmiddellijke neerslag Onverenigbaar
injecteerbaar geneesmiddel Flucloxacillin sodium 20 mg/ml
injecteerbaar geneesmiddel Calcium gluconate 2 mg/ml
Natriumchloride 0,9% 1232
Verenigbaar
injecteerbaar geneesmiddel Flucloxacillin sodium 40 >> 240 mg/ml
injecteerbaar geneesmiddel Ceftazidime 40 >> 180 mg/ml
Natriumchloride 0,9% 3091
Verenigbaar
injecteerbaar geneesmiddel Flucloxacillin sodium 20 mg/ml
injecteerbaar geneesmiddel Cefuroxime sodium 37,5 mg/ml
Water voor injectie 1232
Onmiddellijke neerslag Onverenigbaar
injecteerbaar geneesmiddel Flucloxacillin sodium 20 mg/ml
injecteerbaar geneesmiddel Chlorpromazine hydrochloride 5 mg/ml
Water voor injectie 1232
Verenigbaar
injecteerbaar geneesmiddel Flucloxacillin sodium 20 mg/ml
injecteerbaar geneesmiddel Cimetidine hydrochloride 4 mg/ml
Natriumchloride 0,9% 1232
Niet-gespecificeerde incompatibiliteit Onverenigbaar
injecteerbaar geneesmiddel Flucloxacillin sodium
injecteerbaar geneesmiddel Ciprofloxacin lactate
3529
Verenigbaar
injecteerbaar geneesmiddel Flucloxacillin sodium
Natriumchloride 0,9% 3522
Verenigbaar
injecteerbaar geneesmiddel Flucloxacillin sodium
Glucose 5% 3522
Niet-gespecificeerde incompatibiliteit Onverenigbaar
injecteerbaar geneesmiddel Flucloxacillin sodium
Parenterale voeding (met lipiden) 3522
Onmiddellijke neerslag Onverenigbaar
injecteerbaar geneesmiddel Flucloxacillin sodium 10 mg/ml
injecteerbaar geneesmiddel Ciprofloxacin lactate 2 mg/ml
Geen 1357
Niet-gespecificeerde incompatibiliteit Onverenigbaar
injecteerbaar geneesmiddel Flucloxacillin sodium
Parenterale voeding (zonder vet) 3522
Verenigbaar
injecteerbaar geneesmiddel Flucloxacillin sodium 20 mg/ml
injecteerbaar geneesmiddel Dexamethasone sodium phosphate 4 mg/ml
Natriumchloride 0,9% 1232
Verenigbaar
injecteerbaar geneesmiddel Flucloxacillin sodium 20 mg/ml
injecteerbaar geneesmiddel Digoxin 25 µg/ml
Natriumchloride 0,9% 1232
Verenigbaar
injecteerbaar geneesmiddel Flucloxacillin sodium 50 mg/ml
Parenterale voeding (zonder vet) 939
Onmiddellijke troebelheid Onverenigbaar
injecteerbaar geneesmiddel Flucloxacillin sodium 20 mg/ml
injecteerbaar geneesmiddel Dobutamine hydrochloride 0.5 mg/ml
Natriumchloride 0,9% 1232
Verenigbaar
injecteerbaar geneesmiddel Flucloxacillin sodium 20 mg/ml
injecteerbaar geneesmiddel Epinephrine hydrochloride 8 µg/ml
Water voor injectie 1232
Onmiddellijke neerslag Onverenigbaar
injecteerbaar geneesmiddel Flucloxacillin sodium 20 mg/ml
injecteerbaar geneesmiddel Erythromycin lactobionate 5 mg/ml
Natriumchloride 0,9% 1232
Niet-gespecificeerde incompatibiliteit Onverenigbaar
injecteerbaar geneesmiddel Flucloxacillin sodium
injecteerbaar geneesmiddel Erythromycin lactobionate
3674
Verenigbaar
injecteerbaar geneesmiddel Flucloxacillin sodium 20 mg/ml
injecteerbaar geneesmiddel Furosemide 1 mg/ml
Natriumchloride 0,9% 1232
Onmiddellijke neerslag Onverenigbaar
injecteerbaar geneesmiddel Flucloxacillin sodium
injecteerbaar geneesmiddel Gentamicin sulfate
3522
Niet-gespecificeerde incompatibiliteit Onverenigbaar
injecteerbaar geneesmiddel Flucloxacillin sodium
injecteerbaar geneesmiddel Gentamicin sulfate
3643
Verenigbaar
injecteerbaar geneesmiddel Flucloxacillin sodium 20 mg/ml
injecteerbaar geneesmiddel Hydrocortisone sodium succinate 50 mg/ml
Natriumchloride 0,9% 1232
Onmiddellijke neerslag Onverenigbaar
injecteerbaar geneesmiddel Flucloxacillin sodium
injecteerbaar geneesmiddel Kanamycin sulfate
3522
Verenigbaar
injecteerbaar geneesmiddel Flucloxacillin sodium 20 mg/ml
injecteerbaar geneesmiddel Lidocaine hydrochloride 2 mg/ml
Natriumchloride 0,9% 1232
Troebelheid in 4 uur Onverenigbaar
injecteerbaar geneesmiddel Flucloxacillin sodium 50 mg/ml
injecteerbaar geneesmiddel Lorazepam 0.33 mg/ml
Natriumchloride 0,9% 186
Onmiddellijke neerslag Onverenigbaar
injecteerbaar geneesmiddel Flucloxacillin sodium 20 mg/ml
injecteerbaar geneesmiddel Metoclopramide hydrochloride 1 mg/ml
Natriumchloride 0,9% 1232
Onmiddellijke neerslag Onverenigbaar
injecteerbaar geneesmiddel Flucloxacillin sodium 50 mg/ml
injecteerbaar geneesmiddel Midazolam hydrochloride 5 mg/ml
Geen 186
Onmiddellijke neerslag Onverenigbaar
injecteerbaar geneesmiddel Flucloxacillin sodium
injecteerbaar geneesmiddel Netilmicin sulfate
3522
Neerslag na 7 uur Onverenigbaar
injecteerbaar geneesmiddel Flucloxacillin sodium 10 mg/ml
injecteerbaar geneesmiddel Ofloxacin 2 mg/ml
Geen 889
Niet-gespecificeerde incompatibiliteit Onverenigbaar
injecteerbaar geneesmiddel Flucloxacillin sodium
injecteerbaar geneesmiddel Penicillin G sodium
3585
Verenigbaar
injecteerbaar geneesmiddel Flucloxacillin sodium 50 mg/ml
injecteerbaar geneesmiddel Pentoxifyllin 5 mg/ml
Glucose 5% 4538
Onmiddellijke troebelheid Onverenigbaar
injecteerbaar geneesmiddel Flucloxacillin sodium 20 mg/ml
injecteerbaar geneesmiddel Pethidine hydrochloride 5 mg/ml
Water voor injectie 1232
Verenigbaar
injecteerbaar geneesmiddel Flucloxacillin sodium 20 mg/ml
injecteerbaar geneesmiddel Potassium chloride 40 mEq/l
Water voor injectie 1232
Onmiddellijke neerslag Onverenigbaar
injecteerbaar geneesmiddel Flucloxacillin sodium 20 mg/ml
injecteerbaar geneesmiddel Prochlorperazine edysilate 1.25 mg/ml
Water voor injectie 1232
Onmiddellijke neerslag Onverenigbaar
injecteerbaar geneesmiddel Flucloxacillin sodium 20 mg/ml
injecteerbaar geneesmiddel Promethazine hydrochloride 5 mg/ml
Water voor injectie 1232
Verenigbaar
injecteerbaar geneesmiddel Flucloxacillin sodium 20 mg/ml
injecteerbaar geneesmiddel Ranitidine hydrochloride 0,5 mg/ml
Natriumchloride 0,9% 1232
Onmiddellijke troebelheid Onverenigbaar
injecteerbaar geneesmiddel Flucloxacillin sodium
injecteerbaar geneesmiddel Sildenafil citrate 0,6 mg/ml
Glucose 5% 4845
Chemische instabiliteit Onverenigbaar
injecteerbaar geneesmiddel Flucloxacillin sodium 50 mg/ml
injecteerbaar geneesmiddel Sildenafil citrate 0,6 mg/ml
Glucose 5% 4845
Verenigbaar
injecteerbaar geneesmiddel Flucloxacillin sodium 20 mg/ml
injecteerbaar geneesmiddel Sodium bicarbonate 84 mg/ml
1232
Verenigbaar
injecteerbaar geneesmiddel Flucloxacillin sodium 250 mg/ml
injecteerbaar geneesmiddel Temocilline 83.33 mg/ml
Water voor injectie 2231
Onmiddellijke neerslag Onverenigbaar
injecteerbaar geneesmiddel Flucloxacillin sodium
injecteerbaar geneesmiddel Tobramycin sulfate
3522
Neerslag na 7 uur Onverenigbaar
injecteerbaar geneesmiddel Flucloxacillin sodium 20 mg/ml
injecteerbaar geneesmiddel Tobramycin sulfate 8 mg/ml
Natriumchloride 0,9% 1232
Niet-gespecificeerde incompatibiliteit Onverenigbaar
injecteerbaar geneesmiddel Flucloxacillin sodium 250 mg/ml
injecteerbaar geneesmiddel Vancomycin hydrochloride 10 mg/ml
Glucose 5% 3385

  Mentions Légales