Ostatnia aktualizacja :
27/11/2025
Antybiotyk   Flucloxacillin sodium  
Injekcje
Trwałość roztworów Trwałość w mieszaninie Czynnik wpływający na trwałość Zgodność Sposób podania Bibliografia pdf
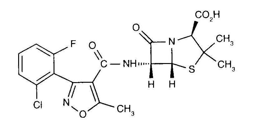
   Struktura chemiczna  

Nazwa handlowa   Nazwa handlowa     

Trade names are indicative and excipients composition can be different depending on the country and manufacturers

Astaph Maroko
Betabiotic Włochy
DBL flucloxacillin sodium Australia
Flix Turcja
Floxam Maroko
Floxapen Arabia Saudyjska, Austria, Belgia, Holandia, Maroko, Polska, Portugalia, Stany Zjednoczone Ameryki, Szwajcaria, Włochy
Flucloxacillin Australia, Niemcy, Wielka Brytania, Włochy
Flucloxacilline Belgia, Francja , Holandia
Flucloxin nowa Zelandia
Ladropen Stany Zjednoczone Ameryki
Stafoxil Holandia
Staphylex Niemcy
Zgodność   Injekcje   Zgodność : Flucloxacillin sodium              
Ekran ten wskazuje na kompatybilności lub niezgodności z, w tym przypadku, rodzajem niezgodności (strącanie, zmiana koloru, modyfikacja emulsji, itp.). Przedstawione tutaj kompatybilności są głównie fizyczne, a stabilność chemiczna każdej cząsteczki jest rzadko oceniana. Ocenę tych mieszanin badano w celu rozważenia możliwości podania pacjentowi w miejscu Y. Dane te nie mogą być wykorzystywane do sporządzania mieszanin z wyprzedzeniem w workach lub strzykawkach. Tego typu informacje są dostępne na ekranie „Stabilność w mieszaninie”.
Związek Rozpuszczalnik Bibliografia
Natychmiastowe opady Niekompatybilny
Injekcje Flucloxacillin sodium
Injekcje Amikacin sulfate
3522
Zgodny
Injekcje Flucloxacillin sodium 20 mg/ml
Injekcje Aminophylline 1 mg/ml
Chlorek sodu 0,9% 1232
Natychmiastowe opady Niekompatybilny
Injekcje Flucloxacillin sodium 20 mg/ml
Injekcje Amiodarone hydrochloride 4 mg/ml
Glukoza 5% 1232
Zgodny
Injekcje Flucloxacillin sodium 20 mg/ml
Injekcje Ampicillin sodium 20 mg/ml
Chlorek sodu 0,9% 1232
Zgodny
Injekcje Flucloxacillin sodium 20 mg/ml
Injekcje Bumetanide 0,006 mg/ml
Chlorek sodu 0,9% 1232
Zgodny
Injekcje Flucloxacillin sodium 50 mg/ml
Injekcje Caffeine 10 mg/ml
Glukoza 5% 4837
Zgodny
Injekcje Flucloxacillin sodium 50 mg/ml
Injekcje Caffeine citrate 20 mg/ml
Glukoza 5% 4837
Natychmiastowe opady Niekompatybilny
Injekcje Flucloxacillin sodium 20 mg/ml
Injekcje Calcium gluconate 2 mg/ml
Chlorek sodu 0,9% 1232
Zgodny
Injekcje Flucloxacillin sodium 40 >> 240 mg/ml
Injekcje Ceftazidime 40 >> 180 mg/ml
Chlorek sodu 0,9% 3091
Zgodny
Injekcje Flucloxacillin sodium 20 mg/ml
Injekcje Cefuroxime sodium 37,5 mg/ml
Woda do wstrzyknięć 1232
Natychmiastowe opady Niekompatybilny
Injekcje Flucloxacillin sodium 20 mg/ml
Injekcje Chlorpromazine hydrochloride 5 mg/ml
Woda do wstrzyknięć 1232
Zgodny
Injekcje Flucloxacillin sodium 20 mg/ml
Injekcje Cimetidine hydrochloride 4 mg/ml
Chlorek sodu 0,9% 1232
Nieokreślona niezgodność Niekompatybilny
Injekcje Flucloxacillin sodium
Injekcje Ciprofloxacin lactate
3529
Zgodny
Injekcje Flucloxacillin sodium
Chlorek sodu 0,9% 3522
Zgodny
Injekcje Flucloxacillin sodium
Glukoza 5% 3522
Nieokreślona niezgodność Niekompatybilny
Injekcje Flucloxacillin sodium
Żywienie pozajelitowe (lipidami) 3522
Natychmiastowe opady Niekompatybilny
Injekcje Flucloxacillin sodium 10 mg/ml
Injekcje Ciprofloxacin lactate 2 mg/ml
Żaden 1357
Nieokreślona niezgodność Niekompatybilny
Injekcje Flucloxacillin sodium
Odżywianie pozajelitowe (mieszanina binarny) 3522
Zgodny
Injekcje Flucloxacillin sodium 20 mg/ml
Injekcje Dexamethasone sodium phosphate 4 mg/ml
Chlorek sodu 0,9% 1232
Zgodny
Injekcje Flucloxacillin sodium 20 mg/ml
Injekcje Digoxin 25 µg/ml
Chlorek sodu 0,9% 1232
Zgodny
Injekcje Flucloxacillin sodium 50 mg/ml
Odżywianie pozajelitowe (mieszanina binarny) 939
Natychmiastowe zmętnienie Niekompatybilny
Injekcje Flucloxacillin sodium 20 mg/ml
Injekcje Dobutamine hydrochloride 0.5 mg/ml
Chlorek sodu 0,9% 1232
Zgodny
Injekcje Flucloxacillin sodium 20 mg/ml
Injekcje Epinephrine hydrochloride 8 µg/ml
Woda do wstrzyknięć 1232
Natychmiastowe opady Niekompatybilny
Injekcje Flucloxacillin sodium 20 mg/ml
Injekcje Erythromycin lactobionate 5 mg/ml
Chlorek sodu 0,9% 1232
Nieokreślona niezgodność Niekompatybilny
Injekcje Flucloxacillin sodium
Injekcje Erythromycin lactobionate
3674
Zgodny
Injekcje Flucloxacillin sodium 20 mg/ml
Injekcje Furosemide 1 mg/ml
Chlorek sodu 0,9% 1232
Natychmiastowe opady Niekompatybilny
Injekcje Flucloxacillin sodium
Injekcje Gentamicin sulfate
3522
Nieokreślona niezgodność Niekompatybilny
Injekcje Flucloxacillin sodium
Injekcje Gentamicin sulfate
3643
Zgodny
Injekcje Flucloxacillin sodium 20 mg/ml
Injekcje Hydrocortisone sodium succinate 50 mg/ml
Chlorek sodu 0,9% 1232
Natychmiastowe opady Niekompatybilny
Injekcje Flucloxacillin sodium
Injekcje Kanamycin sulfate
3522
Zgodny
Injekcje Flucloxacillin sodium 20 mg/ml
Injekcje Lidocaine hydrochloride 2 mg/ml
Chlorek sodu 0,9% 1232
Zmętnienie w 4 godziny Niekompatybilny
Injekcje Flucloxacillin sodium 50 mg/ml
Injekcje Lorazepam 0.33 mg/ml
Chlorek sodu 0,9% 186
Natychmiastowe opady Niekompatybilny
Injekcje Flucloxacillin sodium 20 mg/ml
Injekcje Metoclopramide hydrochloride 1 mg/ml
Chlorek sodu 0,9% 1232
Natychmiastowe opady Niekompatybilny
Injekcje Flucloxacillin sodium 50 mg/ml
Injekcje Midazolam hydrochloride 5 mg/ml
Żaden 186
Natychmiastowe opady Niekompatybilny
Injekcje Flucloxacillin sodium
Injekcje Netilmicin sulfate
3522
Opady po 7 godzinach Niekompatybilny
Injekcje Flucloxacillin sodium 10 mg/ml
Injekcje Ofloxacin 2 mg/ml
Żaden 889
Nieokreślona niezgodność Niekompatybilny
Injekcje Flucloxacillin sodium
Injekcje Penicillin G sodium
3585
Zgodny
Injekcje Flucloxacillin sodium 50 mg/ml
Injekcje Pentoxifyllin 5 mg/ml
Glukoza 5% 4538
Natychmiastowe zmętnienie Niekompatybilny
Injekcje Flucloxacillin sodium 20 mg/ml
Injekcje Pethidine hydrochloride 5 mg/ml
Woda do wstrzyknięć 1232
Zgodny
Injekcje Flucloxacillin sodium 20 mg/ml
Injekcje Potassium chloride 40 mEq/l
Woda do wstrzyknięć 1232
Natychmiastowe opady Niekompatybilny
Injekcje Flucloxacillin sodium 20 mg/ml
Injekcje Prochlorperazine edysilate 1.25 mg/ml
Woda do wstrzyknięć 1232
Natychmiastowe opady Niekompatybilny
Injekcje Flucloxacillin sodium 20 mg/ml
Injekcje Promethazine hydrochloride 5 mg/ml
Woda do wstrzyknięć 1232
Zgodny
Injekcje Flucloxacillin sodium 20 mg/ml
Injekcje Ranitidine hydrochloride 0,5 mg/ml
Chlorek sodu 0,9% 1232
Natychmiastowe zmętnienie Niekompatybilny
Injekcje Flucloxacillin sodium
Injekcje Sildenafil citrate 0,6 mg/ml
Glukoza 5% 4845
Niestabilność chemiczna Niekompatybilny
Injekcje Flucloxacillin sodium 50 mg/ml
Injekcje Sildenafil citrate 0,6 mg/ml
Glukoza 5% 4845
Zgodny
Injekcje Flucloxacillin sodium 20 mg/ml
Injekcje Sodium bicarbonate 84 mg/ml
1232
Zgodny
Injekcje Flucloxacillin sodium 250 mg/ml
Injekcje Temocilline 83.33 mg/ml
Woda do wstrzyknięć 2231
Natychmiastowe opady Niekompatybilny
Injekcje Flucloxacillin sodium
Injekcje Tobramycin sulfate
3522
Opady po 7 godzinach Niekompatybilny
Injekcje Flucloxacillin sodium 20 mg/ml
Injekcje Tobramycin sulfate 8 mg/ml
Chlorek sodu 0,9% 1232
Nieokreślona niezgodność Niekompatybilny
Injekcje Flucloxacillin sodium 250 mg/ml
Injekcje Vancomycin hydrochloride 10 mg/ml
Glukoza 5% 3385

  Mentions Légales