Última actualización :
27/04/2026
Antibiótico   Flucloxacillin sodium  
Inyectables
Estabilidad en solucion Estabilidad en mezcla Factores que influyen sobre la estabilidad Compatibilidades método de inyección Bibliografía pdf
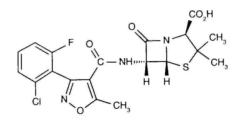
   Estructura química  

Nombre comercial   Nombre comercial     

Los nombres comerciales son orientativos y los excipientes de la formulación pueden ser distintos dependiendo del país y del laboratorio fabricante.

Astaph Marruecos
Betabiotic Italia
DBL flucloxacillin sodium Australia
Flix Turquía
Floxam Marruecos
Floxapen Arabia Saudita, Austria, Bélgica, Estados Unidos de América, Italia, Marruecos, Países Bajos, Polonia, Portugal, Suiza
Flucloxacillin Alemania, Australia, Gran Bretaña, Italia
Flucloxacilline Bélgica, Francia, Países Bajos
Flucloxin Nueva Zelanda
Ladropen Estados Unidos de América
Stafoxil Países Bajos
Staphylex Alemania
Compatibilidades   Inyectables   Compatibilidades : Flucloxacillin sodium              
Esta pantalla muestra las compatibilidades o incompatibilidades, así como el tipo de incompatibilidad (precipitación, cambio de color, modificación de una emulsión, etc). Las compatibilidades que se recogen aquí son fundamentalmente físicas, mostrando raramente la estabilidad química de la molécula. La evaluación de estas mezclas se estudió con el fin de de comprobar la posibilidad de administración en Y al paciente. Estos datos no pueden utilizarse en el caso de la preparación de mezclas dentro de bolsas o jeringas. Este tipo de información está disponible en la pantalla “Estabilidad en mezcla”.
Molécula Solvente Bibliografía
Precipitación inmediata Incompatible
Inyectables Flucloxacillin sodium
Inyectables Amikacin sulfate
3522
Compatible
Inyectables Flucloxacillin sodium 20 mg/ml
Inyectables Aminophylline 1 mg/ml
Cloruro de sodio 0,9% 1232
Precipitación inmediata Incompatible
Inyectables Flucloxacillin sodium 20 mg/ml
Inyectables Amiodarone hydrochloride 4 mg/ml
Glucosa 5% 1232
Compatible
Inyectables Flucloxacillin sodium 20 mg/ml
Inyectables Ampicillin sodium 20 mg/ml
Cloruro de sodio 0,9% 1232
Compatible
Inyectables Flucloxacillin sodium 20 mg/ml
Inyectables Bumetanide 0,006 mg/ml
Cloruro de sodio 0,9% 1232
Compatible
Inyectables Flucloxacillin sodium 50 mg/ml
Inyectables Caffeine 10 mg/ml
Glucosa 5% 4837
Compatible
Inyectables Flucloxacillin sodium 50 mg/ml
Inyectables Caffeine citrate 20 mg/ml
Glucosa 5% 4837
Precipitación inmediata Incompatible
Inyectables Flucloxacillin sodium 20 mg/ml
Inyectables Calcium gluconate 2 mg/ml
Cloruro de sodio 0,9% 1232
Compatible
Inyectables Flucloxacillin sodium 40 >> 240 mg/ml
Inyectables Ceftazidime 40 >> 180 mg/ml
Cloruro de sodio 0,9% 3091
Compatible
Inyectables Flucloxacillin sodium 20 mg/ml
Inyectables Cefuroxime sodium 37,5 mg/ml
Agua para preparación inyectable 1232
Precipitación inmediata Incompatible
Inyectables Flucloxacillin sodium 20 mg/ml
Inyectables Chlorpromazine hydrochloride 5 mg/ml
Agua para preparación inyectable 1232
Compatible
Inyectables Flucloxacillin sodium 20 mg/ml
Inyectables Cimetidine hydrochloride 4 mg/ml
Cloruro de sodio 0,9% 1232
Incompatibilidad no especificada Incompatible
Inyectables Flucloxacillin sodium
Inyectables Ciprofloxacin lactate
3529
Compatible
Inyectables Flucloxacillin sodium
Cloruro de sodio 0,9% 3522
Compatible
Inyectables Flucloxacillin sodium
Glucosa 5% 3522
Incompatibilidad no especificada Incompatible
Inyectables Flucloxacillin sodium
Nutrición parenteral (con lípidos) 3522
Precipitación inmediata Incompatible
Inyectables Flucloxacillin sodium 10 mg/ml
Inyectables Ciprofloxacin lactate 2 mg/ml
Ninguno 1357
Incompatibilidad no especificada Incompatible
Inyectables Flucloxacillin sodium
Nutrición parenteral (libre de lípidos) 3522
Compatible
Inyectables Flucloxacillin sodium 20 mg/ml
Inyectables Dexamethasone sodium phosphate 4 mg/ml
Cloruro de sodio 0,9% 1232
Compatible
Inyectables Flucloxacillin sodium 20 mg/ml
Inyectables Digoxin 25 µg/ml
Cloruro de sodio 0,9% 1232
Compatible
Inyectables Flucloxacillin sodium 50 mg/ml
Nutrición parenteral (libre de lípidos) 939
Turbidez inmediata Incompatible
Inyectables Flucloxacillin sodium 20 mg/ml
Inyectables Dobutamine hydrochloride 0.5 mg/ml
Cloruro de sodio 0,9% 1232
Compatible
Inyectables Flucloxacillin sodium 20 mg/ml
Inyectables Epinephrine hydrochloride 8 µg/ml
Agua para preparación inyectable 1232
Precipitación inmediata Incompatible
Inyectables Flucloxacillin sodium 20 mg/ml
Inyectables Erythromycin lactobionate 5 mg/ml
Cloruro de sodio 0,9% 1232
Incompatibilidad no especificada Incompatible
Inyectables Flucloxacillin sodium
Inyectables Erythromycin lactobionate
3674
Compatible
Inyectables Flucloxacillin sodium 20 mg/ml
Inyectables Furosemide 1 mg/ml
Cloruro de sodio 0,9% 1232
Precipitación inmediata Incompatible
Inyectables Flucloxacillin sodium
Inyectables Gentamicin sulfate
3522
Incompatibilidad no especificada Incompatible
Inyectables Flucloxacillin sodium
Inyectables Gentamicin sulfate
3643
Compatible
Inyectables Flucloxacillin sodium 20 mg/ml
Inyectables Hydrocortisone sodium succinate 50 mg/ml
Cloruro de sodio 0,9% 1232
Precipitación inmediata Incompatible
Inyectables Flucloxacillin sodium
Inyectables Kanamycin sulfate
3522
Compatible
Inyectables Flucloxacillin sodium 20 mg/ml
Inyectables Lidocaine hydrochloride 2 mg/ml
Cloruro de sodio 0,9% 1232
Turbidez en 4 horas Incompatible
Inyectables Flucloxacillin sodium 50 mg/ml
Inyectables Lorazepam 0.33 mg/ml
Cloruro de sodio 0,9% 186
Precipitación inmediata Incompatible
Inyectables Flucloxacillin sodium 20 mg/ml
Inyectables Metoclopramide hydrochloride 1 mg/ml
Cloruro de sodio 0,9% 1232
Precipitación inmediata Incompatible
Inyectables Flucloxacillin sodium 50 mg/ml
Inyectables Midazolam hydrochloride 5 mg/ml
Ninguno 186
Precipitación inmediata Incompatible
Inyectables Flucloxacillin sodium
Inyectables Netilmicin sulfate
3522
Precipitación después de 7 horas. Incompatible
Inyectables Flucloxacillin sodium 10 mg/ml
Inyectables Ofloxacin 2 mg/ml
Ninguno 889
Incompatibilidad no especificada Incompatible
Inyectables Flucloxacillin sodium
Inyectables Penicillin G sodium
3585
Compatible
Inyectables Flucloxacillin sodium 50 mg/ml
Inyectables Pentoxifyllin 5 mg/ml
Glucosa 5% 4538
Turbidez inmediata Incompatible
Inyectables Flucloxacillin sodium 20 mg/ml
Inyectables Pethidine hydrochloride 5 mg/ml
Agua para preparación inyectable 1232
Compatible
Inyectables Flucloxacillin sodium 20 mg/ml
Inyectables Potassium chloride 40 mEq/l
Agua para preparación inyectable 1232
Precipitación inmediata Incompatible
Inyectables Flucloxacillin sodium 20 mg/ml
Inyectables Prochlorperazine edysilate 1.25 mg/ml
Agua para preparación inyectable 1232
Precipitación inmediata Incompatible
Inyectables Flucloxacillin sodium 20 mg/ml
Inyectables Promethazine hydrochloride 5 mg/ml
Agua para preparación inyectable 1232
Compatible
Inyectables Flucloxacillin sodium 20 mg/ml
Inyectables Ranitidine hydrochloride 0,5 mg/ml
Cloruro de sodio 0,9% 1232
Turbidez inmediata Incompatible
Inyectables Flucloxacillin sodium
Inyectables Sildenafil citrate 0,6 mg/ml
Glucosa 5% 4845
Inestabilidad química Incompatible
Inyectables Flucloxacillin sodium 50 mg/ml
Inyectables Sildenafil citrate 0,6 mg/ml
Glucosa 5% 4845
Compatible
Inyectables Flucloxacillin sodium 20 mg/ml
Inyectables Sodium bicarbonate 84 mg/ml
1232
Compatible
Inyectables Flucloxacillin sodium 250 mg/ml
Inyectables Temocilline 83.33 mg/ml
Agua para preparación inyectable 2231
Precipitación inmediata Incompatible
Inyectables Flucloxacillin sodium
Inyectables Tobramycin sulfate
3522
Precipitación después de 7 horas. Incompatible
Inyectables Flucloxacillin sodium 20 mg/ml
Inyectables Tobramycin sulfate 8 mg/ml
Cloruro de sodio 0,9% 1232
Incompatibilidad no especificada Incompatible
Inyectables Flucloxacillin sodium 250 mg/ml
Inyectables Vancomycin hydrochloride 10 mg/ml
Glucosa 5% 3385

  Mentions Légales