Última actualização :
27/11/2025
antibiótico   Flucloxacillin sodium  
injetável
Estabilidade em soluções simples Estabilidade em misturas Factores que afectam a sua estabilidade Compatibilidade Método de administração Bibliografía pdf
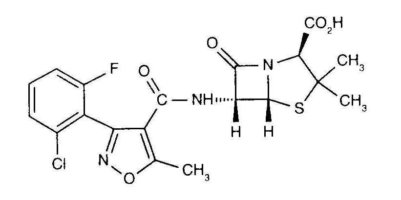
   estrutura química  

Nomes comerciais nos diversos países   Nomes comerciais nos diversos países     

OS NOMES COMERCIAIS SÃO INDICATIVOS E OS EXCIPIENTES DA FORMULAÇÃO PODEM SER DIFERENTES CONFORME O PAÍS E FABRICANTE.

Astaph Marrocos
Betabiotic Itália
DBL flucloxacillin sodium Australia
Flix Turquia
Floxam Marrocos
Floxapen Arábia Saudita, Austria, Bélgica, Estados Unidos de América, Itália, Marrocos, Países Baixos, Polonia, Portugal, Suicia
Flucloxacillin Alemanha, Australia, Gran-bretanha, Itália
Flucloxacilline Bélgica, França, Países Baixos
Flucloxin nova Zelândia
Ladropen Estados Unidos de América
Stafoxil Países Baixos
Staphylex Alemanha
Compatibilidade   injetável   Compatibilidade : Flucloxacillin sodium              
Este ecrã indica as compatibilidades ou incompatibilidades com, neste caso, o tipo de incompatibilidade (precipitação, mudança de cor, modificação de uma emulsão, etc.). As compatibilidades mostradas aqui são principalmente físicas, com a estabilidade química de cada molécula raramente sendo avaliada. A avaliação dessas misturas foi estudada para considerar a possibilidade de administração do local Y ao paciente. Estes dados não podem ser usados para fazer misturas antecipadamente em sacos ou seringas. Este tipo de informação está disponível na tela “Estabilidade na mistura».
molécula Solvente Bibliografia
Precipitação imediata Incompatível
injetável Flucloxacillin sodium
injetável Amikacin sulfate
3522
Compatível
injetável Flucloxacillin sodium 20 mg/ml
injetável Aminophylline 1 mg/ml
cloreto de sódio 0,9% 1232
Precipitação imediata Incompatível
injetável Flucloxacillin sodium 20 mg/ml
injetável Amiodarone hydrochloride 4 mg/ml
Glucose 5% 1232
Compatível
injetável Flucloxacillin sodium 20 mg/ml
injetável Ampicillin sodium 20 mg/ml
cloreto de sódio 0,9% 1232
Compatível
injetável Flucloxacillin sodium 20 mg/ml
injetável Bumetanide 0,006 mg/ml
cloreto de sódio 0,9% 1232
Compatível
injetável Flucloxacillin sodium 50 mg/ml
injetável Caffeine 10 mg/ml
Glucose 5% 4837
Compatível
injetável Flucloxacillin sodium 50 mg/ml
injetável Caffeine citrate 20 mg/ml
Glucose 5% 4837
Precipitação imediata Incompatível
injetável Flucloxacillin sodium 20 mg/ml
injetável Calcium gluconate 2 mg/ml
cloreto de sódio 0,9% 1232
Compatível
injetável Flucloxacillin sodium 40 >> 240 mg/ml
injetável Ceftazidime 40 >> 180 mg/ml
cloreto de sódio 0,9% 3091
Compatível
injetável Flucloxacillin sodium 20 mg/ml
injetável Cefuroxime sodium 37,5 mg/ml
Agua para injectaveis 1232
Precipitação imediata Incompatível
injetável Flucloxacillin sodium 20 mg/ml
injetável Chlorpromazine hydrochloride 5 mg/ml
Agua para injectaveis 1232
Compatível
injetável Flucloxacillin sodium 20 mg/ml
injetável Cimetidine hydrochloride 4 mg/ml
cloreto de sódio 0,9% 1232
Incompatibilidade não especificada Incompatível
injetável Flucloxacillin sodium
injetável Ciprofloxacin lactate
3529
Compatível
injetável Flucloxacillin sodium
cloreto de sódio 0,9% 3522
Compatível
injetável Flucloxacillin sodium
Glucose 5% 3522
Incompatibilidade não especificada Incompatível
injetável Flucloxacillin sodium
Nutrição parenteral (com lípidos) 3522
Precipitação imediata Incompatível
injetável Flucloxacillin sodium 10 mg/ml
injetável Ciprofloxacin lactate 2 mg/ml
nenhum 1357
Incompatibilidade não especificada Incompatível
injetável Flucloxacillin sodium
Nutrição parenterica (mistura binária) 3522
Compatível
injetável Flucloxacillin sodium 20 mg/ml
injetável Dexamethasone sodium phosphate 4 mg/ml
cloreto de sódio 0,9% 1232
Compatível
injetável Flucloxacillin sodium 20 mg/ml
injetável Digoxin 25 µg/ml
cloreto de sódio 0,9% 1232
Compatível
injetável Flucloxacillin sodium 50 mg/ml
Nutrição parenterica (mistura binária) 939
Turvação imediata Incompatível
injetável Flucloxacillin sodium 20 mg/ml
injetável Dobutamine hydrochloride 0.5 mg/ml
cloreto de sódio 0,9% 1232
Compatível
injetável Flucloxacillin sodium 20 mg/ml
injetável Epinephrine hydrochloride 8 µg/ml
Agua para injectaveis 1232
Precipitação imediata Incompatível
injetável Flucloxacillin sodium 20 mg/ml
injetável Erythromycin lactobionate 5 mg/ml
cloreto de sódio 0,9% 1232
Incompatibilidade não especificada Incompatível
injetável Flucloxacillin sodium
injetável Erythromycin lactobionate
3674
Compatível
injetável Flucloxacillin sodium 20 mg/ml
injetável Furosemide 1 mg/ml
cloreto de sódio 0,9% 1232
Precipitação imediata Incompatível
injetável Flucloxacillin sodium
injetável Gentamicin sulfate
3522
Incompatibilidade não especificada Incompatível
injetável Flucloxacillin sodium
injetável Gentamicin sulfate
3643
Compatível
injetável Flucloxacillin sodium 20 mg/ml
injetável Hydrocortisone sodium succinate 50 mg/ml
cloreto de sódio 0,9% 1232
Precipitação imediata Incompatível
injetável Flucloxacillin sodium
injetável Kanamycin sulfate
3522
Compatível
injetável Flucloxacillin sodium 20 mg/ml
injetável Lidocaine hydrochloride 2 mg/ml
cloreto de sódio 0,9% 1232
Turbidez em 4 horas Incompatível
injetável Flucloxacillin sodium 50 mg/ml
injetável Lorazepam 0.33 mg/ml
cloreto de sódio 0,9% 186
Precipitação imediata Incompatível
injetável Flucloxacillin sodium 20 mg/ml
injetável Metoclopramide hydrochloride 1 mg/ml
cloreto de sódio 0,9% 1232
Precipitação imediata Incompatível
injetável Flucloxacillin sodium 50 mg/ml
injetável Midazolam hydrochloride 5 mg/ml
nenhum 186
Precipitação imediata Incompatível
injetável Flucloxacillin sodium
injetável Netilmicin sulfate
3522
Precipitação após 7 horas Incompatível
injetável Flucloxacillin sodium 10 mg/ml
injetável Ofloxacin 2 mg/ml
nenhum 889
Incompatibilidade não especificada Incompatível
injetável Flucloxacillin sodium
injetável Penicillin G sodium
3585
Compatível
injetável Flucloxacillin sodium 50 mg/ml
injetável Pentoxifyllin 5 mg/ml
Glucose 5% 4538
Turvação imediata Incompatível
injetável Flucloxacillin sodium 20 mg/ml
injetável Pethidine hydrochloride 5 mg/ml
Agua para injectaveis 1232
Compatível
injetável Flucloxacillin sodium 20 mg/ml
injetável Potassium chloride 40 mEq/l
Agua para injectaveis 1232
Precipitação imediata Incompatível
injetável Flucloxacillin sodium 20 mg/ml
injetável Prochlorperazine edysilate 1.25 mg/ml
Agua para injectaveis 1232
Precipitação imediata Incompatível
injetável Flucloxacillin sodium 20 mg/ml
injetável Promethazine hydrochloride 5 mg/ml
Agua para injectaveis 1232
Compatível
injetável Flucloxacillin sodium 20 mg/ml
injetável Ranitidine hydrochloride 0,5 mg/ml
cloreto de sódio 0,9% 1232
Turvação imediata Incompatível
injetável Flucloxacillin sodium
injetável Sildenafil citrate 0,6 mg/ml
Glucose 5% 4845
Instabilidade química Incompatível
injetável Flucloxacillin sodium 50 mg/ml
injetável Sildenafil citrate 0,6 mg/ml
Glucose 5% 4845
Compatível
injetável Flucloxacillin sodium 20 mg/ml
injetável Sodium bicarbonate 84 mg/ml
1232
Compatível
injetável Flucloxacillin sodium 250 mg/ml
injetável Temocilline 83.33 mg/ml
Agua para injectaveis 2231
Precipitação imediata Incompatível
injetável Flucloxacillin sodium
injetável Tobramycin sulfate
3522
Precipitação após 7 horas Incompatível
injetável Flucloxacillin sodium 20 mg/ml
injetável Tobramycin sulfate 8 mg/ml
cloreto de sódio 0,9% 1232
Incompatibilidade não especificada Incompatível
injetável Flucloxacillin sodium 250 mg/ml
injetável Vancomycin hydrochloride 10 mg/ml
Glucose 5% 3385

  Mentions Légales