Seneste opdatering :
27/04/2026
Antibiotisk   Flucloxacillin sodium  
Injektion
Stabilitet i (vandige) opløsninger Stabilitet i blandinger Faktorer der påvirker stabiliteten Kompatibilitet Administrationsvej Bibliografi pdf
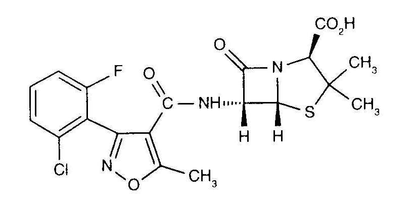
   Kemisk struktur  

Handelsnavn   Handelsnavn     

Handel navne er vejledende og hjælpestoffer sammensætning kan være forskellig afhængigt af landet og laboratorier

Astaph Marokko
Betabiotic Italien
DBL flucloxacillin sodium Australien
Flix Tyrkiet
Floxam Marokko
Floxapen Belgien, Holland, Italien, Marokko, Polen, Portugal, Saudi-Arabien, Schweiz, USA, Østrig
Flucloxacillin Australien, Italien, Storbritanien, Tyskland
Flucloxacilline Belgien, Frankrig, Holland
Flucloxin New Zealand
Ladropen USA
Stafoxil Holland
Staphylex Tyskland
Kompatibilitet   Injektion   Kompatibilitet : Flucloxacillin sodium              
Denne skærm viser kompatibilitet eller uforenelighed med, i dette tilfælde typen af inkompatibilitet (udfældning, farveændring, ændring af en emulsion osv.). Kompatibiliteterne vist her er for det meste kun fysiske, idet den kemiske stabilitet af hvert molekyle sjældent vurderes. Evalueringen af disse blandinger blev undersøgt for at overveje muligheden for Y-sted-administration til patienten. Disse data kan ikke bruges til at fremstille blandinger på forhånd i poser eller sprøjter. Denne type information findes på skærmen "Stabilitet i blanding".
Molekyle Opløsningsmiddel Bibliografi
Umiddelbar nedbør Uforenelig
Injektion Flucloxacillin sodium
Injektion Amikacin sulfate
3522
Kompatibel
Injektion Flucloxacillin sodium 20 mg/ml
Injektion Aminophylline 1 mg/ml
0,9 % Natriumklorid 1232
Umiddelbar nedbør Uforenelig
Injektion Flucloxacillin sodium 20 mg/ml
Injektion Amiodarone hydrochloride 4 mg/ml
5 % Glukose 1232
Kompatibel
Injektion Flucloxacillin sodium 20 mg/ml
Injektion Ampicillin sodium 20 mg/ml
0,9 % Natriumklorid 1232
Kompatibel
Injektion Flucloxacillin sodium 20 mg/ml
Injektion Bumetanide 0,006 mg/ml
0,9 % Natriumklorid 1232
Kompatibel
Injektion Flucloxacillin sodium 50 mg/ml
Injektion Caffeine 10 mg/ml
5 % Glukose 4837
Kompatibel
Injektion Flucloxacillin sodium 50 mg/ml
Injektion Caffeine citrate 20 mg/ml
5 % Glukose 4837
Umiddelbar nedbør Uforenelig
Injektion Flucloxacillin sodium 20 mg/ml
Injektion Calcium gluconate 2 mg/ml
0,9 % Natriumklorid 1232
Kompatibel
Injektion Flucloxacillin sodium 40 >> 240 mg/ml
Injektion Ceftazidime 40 >> 180 mg/ml
0,9 % Natriumklorid 3091
Kompatibel
Injektion Flucloxacillin sodium 20 mg/ml
Injektion Cefuroxime sodium 37,5 mg/ml
Vand til injektion 1232
Umiddelbar nedbør Uforenelig
Injektion Flucloxacillin sodium 20 mg/ml
Injektion Chlorpromazine hydrochloride 5 mg/ml
Vand til injektion 1232
Kompatibel
Injektion Flucloxacillin sodium 20 mg/ml
Injektion Cimetidine hydrochloride 4 mg/ml
0,9 % Natriumklorid 1232
Uspecificeret inkompatibilitet Uforenelig
Injektion Flucloxacillin sodium
Injektion Ciprofloxacin lactate
3529
Kompatibel
Injektion Flucloxacillin sodium
0,9 % Natriumklorid 3522
Kompatibel
Injektion Flucloxacillin sodium
5 % Glukose 3522
Uspecificeret inkompatibilitet Uforenelig
Injektion Flucloxacillin sodium
Parenteral ernæring (lipider) 3522
Umiddelbar nedbør Uforenelig
Injektion Flucloxacillin sodium 10 mg/ml
Injektion Ciprofloxacin lactate 2 mg/ml
Ingen 1357
Uspecificeret inkompatibilitet Uforenelig
Injektion Flucloxacillin sodium
Parenteral ernæring (lipid-fri) 3522
Kompatibel
Injektion Flucloxacillin sodium 20 mg/ml
Injektion Dexamethasone sodium phosphate 4 mg/ml
0,9 % Natriumklorid 1232
Kompatibel
Injektion Flucloxacillin sodium 20 mg/ml
Injektion Digoxin 25 µg/ml
0,9 % Natriumklorid 1232
Kompatibel
Injektion Flucloxacillin sodium 50 mg/ml
Parenteral ernæring (lipid-fri) 939
Umiddelbar turbiditet Uforenelig
Injektion Flucloxacillin sodium 20 mg/ml
Injektion Dobutamine hydrochloride 0.5 mg/ml
0,9 % Natriumklorid 1232
Kompatibel
Injektion Flucloxacillin sodium 20 mg/ml
Injektion Epinephrine hydrochloride 8 µg/ml
Vand til injektion 1232
Umiddelbar nedbør Uforenelig
Injektion Flucloxacillin sodium 20 mg/ml
Injektion Erythromycin lactobionate 5 mg/ml
0,9 % Natriumklorid 1232
Uspecificeret inkompatibilitet Uforenelig
Injektion Flucloxacillin sodium
Injektion Erythromycin lactobionate
3674
Kompatibel
Injektion Flucloxacillin sodium 20 mg/ml
Injektion Furosemide 1 mg/ml
0,9 % Natriumklorid 1232
Umiddelbar nedbør Uforenelig
Injektion Flucloxacillin sodium
Injektion Gentamicin sulfate
3522
Uspecificeret inkompatibilitet Uforenelig
Injektion Flucloxacillin sodium
Injektion Gentamicin sulfate
3643
Kompatibel
Injektion Flucloxacillin sodium 20 mg/ml
Injektion Hydrocortisone sodium succinate 50 mg/ml
0,9 % Natriumklorid 1232
Umiddelbar nedbør Uforenelig
Injektion Flucloxacillin sodium
Injektion Kanamycin sulfate
3522
Kompatibel
Injektion Flucloxacillin sodium 20 mg/ml
Injektion Lidocaine hydrochloride 2 mg/ml
0,9 % Natriumklorid 1232
Turbiditet på 4 timer Uforenelig
Injektion Flucloxacillin sodium 50 mg/ml
Injektion Lorazepam 0.33 mg/ml
0,9 % Natriumklorid 186
Umiddelbar nedbør Uforenelig
Injektion Flucloxacillin sodium 20 mg/ml
Injektion Metoclopramide hydrochloride 1 mg/ml
0,9 % Natriumklorid 1232
Umiddelbar nedbør Uforenelig
Injektion Flucloxacillin sodium 50 mg/ml
Injektion Midazolam hydrochloride 5 mg/ml
Ingen 186
Umiddelbar nedbør Uforenelig
Injektion Flucloxacillin sodium
Injektion Netilmicin sulfate
3522
Nedbør efter 7 timer Uforenelig
Injektion Flucloxacillin sodium 10 mg/ml
Injektion Ofloxacin 2 mg/ml
Ingen 889
Uspecificeret inkompatibilitet Uforenelig
Injektion Flucloxacillin sodium
Injektion Penicillin G sodium
3585
Kompatibel
Injektion Flucloxacillin sodium 50 mg/ml
Injektion Pentoxifyllin 5 mg/ml
5 % Glukose 4538
Umiddelbar turbiditet Uforenelig
Injektion Flucloxacillin sodium 20 mg/ml
Injektion Pethidine hydrochloride 5 mg/ml
Vand til injektion 1232
Kompatibel
Injektion Flucloxacillin sodium 20 mg/ml
Injektion Potassium chloride 40 mEq/l
Vand til injektion 1232
Umiddelbar nedbør Uforenelig
Injektion Flucloxacillin sodium 20 mg/ml
Injektion Prochlorperazine edysilate 1.25 mg/ml
Vand til injektion 1232
Umiddelbar nedbør Uforenelig
Injektion Flucloxacillin sodium 20 mg/ml
Injektion Promethazine hydrochloride 5 mg/ml
Vand til injektion 1232
Kompatibel
Injektion Flucloxacillin sodium 20 mg/ml
Injektion Ranitidine hydrochloride 0,5 mg/ml
0,9 % Natriumklorid 1232
Umiddelbar turbiditet Uforenelig
Injektion Flucloxacillin sodium
Injektion Sildenafil citrate 0,6 mg/ml
5 % Glukose 4845
Kemisk ustabilitet Uforenelig
Injektion Flucloxacillin sodium 50 mg/ml
Injektion Sildenafil citrate 0,6 mg/ml
5 % Glukose 4845
Kompatibel
Injektion Flucloxacillin sodium 20 mg/ml
Injektion Sodium bicarbonate 84 mg/ml
1232
Kompatibel
Injektion Flucloxacillin sodium 250 mg/ml
Injektion Temocilline 83.33 mg/ml
Vand til injektion 2231
Umiddelbar nedbør Uforenelig
Injektion Flucloxacillin sodium
Injektion Tobramycin sulfate
3522
Nedbør efter 7 timer Uforenelig
Injektion Flucloxacillin sodium 20 mg/ml
Injektion Tobramycin sulfate 8 mg/ml
0,9 % Natriumklorid 1232
Uspecificeret inkompatibilitet Uforenelig
Injektion Flucloxacillin sodium 250 mg/ml
Injektion Vancomycin hydrochloride 10 mg/ml
5 % Glukose 3385

  Mentions Légales