Utolsó frissítés :
27/11/2025
Antibiotikum   Flucloxacillin sodium  
Injekció
Az oldatok stabilitása A keverékek stabilitása Stabilitást befolyásoló tényezők Kompatibilitás Az alkalmazás módja Irodalom pdf
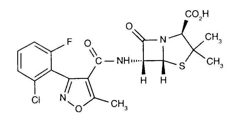
   Kémiai szerkezet   

Kereskedelmi név   Kereskedelmi név     

A kereskedelmi név meghatározó jelentőségű: a készítmények összetétele országonként, előállítóként eltérő lehet

Astaph Marokkó
Betabiotic Olaszország
DBL flucloxacillin sodium Ausztrália
Flix Törökország
Floxam Marokkó
Floxapen Amerikai Egyesült Államok, Ausztria, Belgium, Hollandia, Lengyelország, Marokkó, Olaszország, Portugália, Svájc, Szaúd-Arábiában
Flucloxacillin Ausztrália, Nagy-Britannia, Németország, Olaszország
Flucloxacilline Belgium, Franciaország, Hollandia
Flucloxin új-Zéland
Ladropen Amerikai Egyesült Államok
Stafoxil Hollandia
Staphylex Németország
Kompatibilitás   Injekció   Kompatibilitás : Flucloxacillin sodium              
Ovdje su prikazane kompatibilnosti ili nekompatibilnosti s tipom nekompatibilnosti (taloženje, promjena boje, modifikacija emulzije itd.) u ovom slučaju. Kompatibilnosti prikazane ovdje najčešće su fizikalne dok se kemijska stabilnost molekule rijetko procjenjuje. Procjena ovih mikstura je proučavana kako bi se razmotrila mogućnost primjene lijeka putem Y-mjesta. Ovi se podaci ne smiju koristiti za pripremu mikstura unaprijed u vrećicama ili štrcaljkama. Ova vrsta informacije se može pronaći u odjeljku « stabilnost u miksturama ».
Vegyület Oldószer Irodalom
Azonnali csapadék Összeegyeztethetetlen
Injekció Flucloxacillin sodium
Injekció Amikacin sulfate
3522
Összeegyeztethető
Injekció Flucloxacillin sodium 20 mg/ml
Injekció Aminophylline 1 mg/ml
0,9% nátrium-klorid 1232
Azonnali csapadék Összeegyeztethetetlen
Injekció Flucloxacillin sodium 20 mg/ml
Injekció Amiodarone hydrochloride 4 mg/ml
5% glükóz 1232
Összeegyeztethető
Injekció Flucloxacillin sodium 20 mg/ml
Injekció Ampicillin sodium 20 mg/ml
0,9% nátrium-klorid 1232
Összeegyeztethető
Injekció Flucloxacillin sodium 20 mg/ml
Injekció Bumetanide 0,006 mg/ml
0,9% nátrium-klorid 1232
Összeegyeztethető
Injekció Flucloxacillin sodium 50 mg/ml
Injekció Caffeine 10 mg/ml
5% glükóz 4837
Összeegyeztethető
Injekció Flucloxacillin sodium 50 mg/ml
Injekció Caffeine citrate 20 mg/ml
5% glükóz 4837
Azonnali csapadék Összeegyeztethetetlen
Injekció Flucloxacillin sodium 20 mg/ml
Injekció Calcium gluconate 2 mg/ml
0,9% nátrium-klorid 1232
Összeegyeztethető
Injekció Flucloxacillin sodium 40 >> 240 mg/ml
Injekció Ceftazidime 40 >> 180 mg/ml
0,9% nátrium-klorid 3091
Összeegyeztethető
Injekció Flucloxacillin sodium 20 mg/ml
Injekció Cefuroxime sodium 37,5 mg/ml
Injekcióhoz való víz 1232
Azonnali csapadék Összeegyeztethetetlen
Injekció Flucloxacillin sodium 20 mg/ml
Injekció Chlorpromazine hydrochloride 5 mg/ml
Injekcióhoz való víz 1232
Összeegyeztethető
Injekció Flucloxacillin sodium 20 mg/ml
Injekció Cimetidine hydrochloride 4 mg/ml
0,9% nátrium-klorid 1232
Meghatározatlan összeférhetetlenség Összeegyeztethetetlen
Injekció Flucloxacillin sodium
Injekció Ciprofloxacin lactate
3529
Összeegyeztethető
Injekció Flucloxacillin sodium
0,9% nátrium-klorid 3522
Összeegyeztethető
Injekció Flucloxacillin sodium
5% glükóz 3522
Meghatározatlan összeférhetetlenség Összeegyeztethetetlen
Injekció Flucloxacillin sodium
Parenterális táplálás (lipid) 3522
Azonnali csapadék Összeegyeztethetetlen
Injekció Flucloxacillin sodium 10 mg/ml
Injekció Ciprofloxacin lactate 2 mg/ml
Egy sem 1357
Meghatározatlan összeférhetetlenség Összeegyeztethetetlen
Injekció Flucloxacillin sodium
Parenterális táplálás (lipid-mentes) 3522
Összeegyeztethető
Injekció Flucloxacillin sodium 20 mg/ml
Injekció Dexamethasone sodium phosphate 4 mg/ml
0,9% nátrium-klorid 1232
Összeegyeztethető
Injekció Flucloxacillin sodium 20 mg/ml
Injekció Digoxin 25 µg/ml
0,9% nátrium-klorid 1232
Összeegyeztethető
Injekció Flucloxacillin sodium 50 mg/ml
Parenterális táplálás (lipid-mentes) 939
Azonnali zavarosság Összeegyeztethetetlen
Injekció Flucloxacillin sodium 20 mg/ml
Injekció Dobutamine hydrochloride 0.5 mg/ml
0,9% nátrium-klorid 1232
Összeegyeztethető
Injekció Flucloxacillin sodium 20 mg/ml
Injekció Epinephrine hydrochloride 8 µg/ml
Injekcióhoz való víz 1232
Azonnali csapadék Összeegyeztethetetlen
Injekció Flucloxacillin sodium 20 mg/ml
Injekció Erythromycin lactobionate 5 mg/ml
0,9% nátrium-klorid 1232
Meghatározatlan összeférhetetlenség Összeegyeztethetetlen
Injekció Flucloxacillin sodium
Injekció Erythromycin lactobionate
3674
Összeegyeztethető
Injekció Flucloxacillin sodium 20 mg/ml
Injekció Furosemide 1 mg/ml
0,9% nátrium-klorid 1232
Azonnali csapadék Összeegyeztethetetlen
Injekció Flucloxacillin sodium
Injekció Gentamicin sulfate
3522
Meghatározatlan összeférhetetlenség Összeegyeztethetetlen
Injekció Flucloxacillin sodium
Injekció Gentamicin sulfate
3643
Összeegyeztethető
Injekció Flucloxacillin sodium 20 mg/ml
Injekció Hydrocortisone sodium succinate 50 mg/ml
0,9% nátrium-klorid 1232
Azonnali csapadék Összeegyeztethetetlen
Injekció Flucloxacillin sodium
Injekció Kanamycin sulfate
3522
Összeegyeztethető
Injekció Flucloxacillin sodium 20 mg/ml
Injekció Lidocaine hydrochloride 2 mg/ml
0,9% nátrium-klorid 1232
Zavarosság 4 óra alatt Összeegyeztethetetlen
Injekció Flucloxacillin sodium 50 mg/ml
Injekció Lorazepam 0.33 mg/ml
0,9% nátrium-klorid 186
Azonnali csapadék Összeegyeztethetetlen
Injekció Flucloxacillin sodium 20 mg/ml
Injekció Metoclopramide hydrochloride 1 mg/ml
0,9% nátrium-klorid 1232
Azonnali csapadék Összeegyeztethetetlen
Injekció Flucloxacillin sodium 50 mg/ml
Injekció Midazolam hydrochloride 5 mg/ml
Egy sem 186
Azonnali csapadék Összeegyeztethetetlen
Injekció Flucloxacillin sodium
Injekció Netilmicin sulfate
3522
Csapadék 7 óra után Összeegyeztethetetlen
Injekció Flucloxacillin sodium 10 mg/ml
Injekció Ofloxacin 2 mg/ml
Egy sem 889
Meghatározatlan összeférhetetlenség Összeegyeztethetetlen
Injekció Flucloxacillin sodium
Injekció Penicillin G sodium
3585
Összeegyeztethető
Injekció Flucloxacillin sodium 50 mg/ml
Injekció Pentoxifyllin 5 mg/ml
5% glükóz 4538
Azonnali zavarosság Összeegyeztethetetlen
Injekció Flucloxacillin sodium 20 mg/ml
Injekció Pethidine hydrochloride 5 mg/ml
Injekcióhoz való víz 1232
Összeegyeztethető
Injekció Flucloxacillin sodium 20 mg/ml
Injekció Potassium chloride 40 mEq/l
Injekcióhoz való víz 1232
Azonnali csapadék Összeegyeztethetetlen
Injekció Flucloxacillin sodium 20 mg/ml
Injekció Prochlorperazine edysilate 1.25 mg/ml
Injekcióhoz való víz 1232
Azonnali csapadék Összeegyeztethetetlen
Injekció Flucloxacillin sodium 20 mg/ml
Injekció Promethazine hydrochloride 5 mg/ml
Injekcióhoz való víz 1232
Összeegyeztethető
Injekció Flucloxacillin sodium 20 mg/ml
Injekció Ranitidine hydrochloride 0,5 mg/ml
0,9% nátrium-klorid 1232
Azonnali zavarosság Összeegyeztethetetlen
Injekció Flucloxacillin sodium
Injekció Sildenafil citrate 0,6 mg/ml
5% glükóz 4845
Kémiai instabilitás Összeegyeztethetetlen
Injekció Flucloxacillin sodium 50 mg/ml
Injekció Sildenafil citrate 0,6 mg/ml
5% glükóz 4845
Összeegyeztethető
Injekció Flucloxacillin sodium 20 mg/ml
Injekció Sodium bicarbonate 84 mg/ml
1232
Összeegyeztethető
Injekció Flucloxacillin sodium 250 mg/ml
Injekció Temocilline 83.33 mg/ml
Injekcióhoz való víz 2231
Azonnali csapadék Összeegyeztethetetlen
Injekció Flucloxacillin sodium
Injekció Tobramycin sulfate
3522
Csapadék 7 óra után Összeegyeztethetetlen
Injekció Flucloxacillin sodium 20 mg/ml
Injekció Tobramycin sulfate 8 mg/ml
0,9% nátrium-klorid 1232
Meghatározatlan összeférhetetlenség Összeegyeztethetetlen
Injekció Flucloxacillin sodium 250 mg/ml
Injekció Vancomycin hydrochloride 10 mg/ml
5% glükóz 3385

  Mentions Légales