Ultimo aggiornamento :
27/11/2025
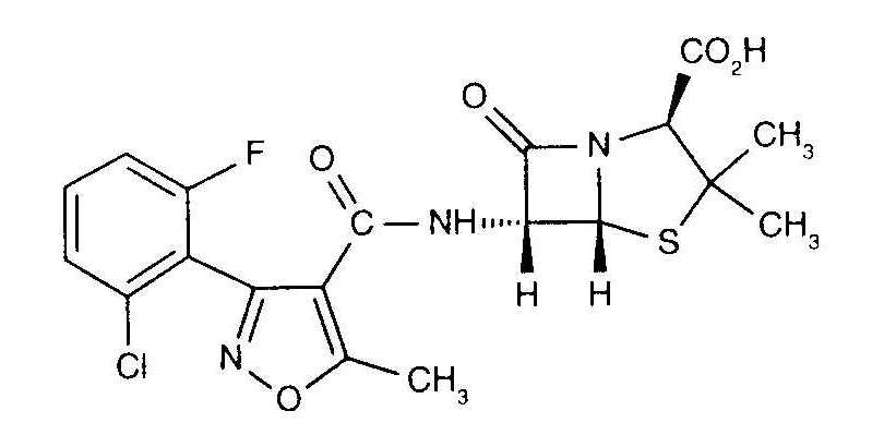
Antibiotico   Flucloxacillin sodium  
Iniezione
Stabilità in soluzione Stabilità in miscela Fattori che influenzano la stabilità Compatibilità metodo di iniezione Bibliografia pdf
   Struttura chimica  

Nome commerciale   Nome commerciale     

Trade names are indicative and excipients composition can be different depending on the country and manufacturers

Astaph Marocco
Betabiotic Italia
DBL flucloxacillin sodium Australia
Flix Turchia
Floxam Marocco
Floxapen Arabia Saudita, Austria, Belgio, Italia, Marocco, Paesi Bassi, Polonia, Portogallo, Stati Uniti d’America, Svizzera
Flucloxacillin Australia, Germania, Gran Bretagna, Italia
Flucloxacilline Belgio, Francia, Paesi Bassi
Flucloxin nuova Zelanda
Ladropen Stati Uniti d’America
Stafoxil Paesi Bassi
Staphylex Germania
Compatibilità   Iniezione   Compatibilità : Flucloxacillin sodium              
explication_incompatibilite_molecules
Molecola Solvente Bibliografia
Precipitazioni immediate Incompatibile
Iniezione Flucloxacillin sodium
Iniezione Amikacin sulfate
3522
Compatibile
Iniezione Flucloxacillin sodium 20 mg/ml
Iniezione Aminophylline 1 mg/ml
Cloruro di sodio 0,9% 1232
Precipitazioni immediate Incompatibile
Iniezione Flucloxacillin sodium 20 mg/ml
Iniezione Amiodarone hydrochloride 4 mg/ml
Glucosio 5% 1232
Compatibile
Iniezione Flucloxacillin sodium 20 mg/ml
Iniezione Ampicillin sodium 20 mg/ml
Cloruro di sodio 0,9% 1232
Compatibile
Iniezione Flucloxacillin sodium 20 mg/ml
Iniezione Bumetanide 0,006 mg/ml
Cloruro di sodio 0,9% 1232
Compatibile
Iniezione Flucloxacillin sodium 50 mg/ml
Iniezione Caffeine 10 mg/ml
Glucosio 5% 4837
Compatibile
Iniezione Flucloxacillin sodium 50 mg/ml
Iniezione Caffeine citrate 20 mg/ml
Glucosio 5% 4837
Precipitazioni immediate Incompatibile
Iniezione Flucloxacillin sodium 20 mg/ml
Iniezione Calcium gluconate 2 mg/ml
Cloruro di sodio 0,9% 1232
Compatibile
Iniezione Flucloxacillin sodium 40 >> 240 mg/ml
Iniezione Ceftazidime 40 >> 180 mg/ml
Cloruro di sodio 0,9% 3091
Compatibile
Iniezione Flucloxacillin sodium 20 mg/ml
Iniezione Cefuroxime sodium 37,5 mg/ml
Acqua per preparato iniettabile 1232
Precipitazioni immediate Incompatibile
Iniezione Flucloxacillin sodium 20 mg/ml
Iniezione Chlorpromazine hydrochloride 5 mg/ml
Acqua per preparato iniettabile 1232
Compatibile
Iniezione Flucloxacillin sodium 20 mg/ml
Iniezione Cimetidine hydrochloride 4 mg/ml
Cloruro di sodio 0,9% 1232
Incompatibilità non specificata Incompatibile
Iniezione Flucloxacillin sodium
Iniezione Ciprofloxacin lactate
3529
Compatibile
Iniezione Flucloxacillin sodium
Cloruro di sodio 0,9% 3522
Compatibile
Iniezione Flucloxacillin sodium
Glucosio 5% 3522
Incompatibilità non specificata Incompatibile
Iniezione Flucloxacillin sodium
Nutrizione parenterale (con lipidi) 3522
Precipitazioni immediate Incompatibile
Iniezione Flucloxacillin sodium 10 mg/ml
Iniezione Ciprofloxacin lactate 2 mg/ml
Nessuno 1357
Incompatibilità non specificata Incompatibile
Iniezione Flucloxacillin sodium
Nutrizione parenterale (privo di lipidi) 3522
Compatibile
Iniezione Flucloxacillin sodium 20 mg/ml
Iniezione Dexamethasone sodium phosphate 4 mg/ml
Cloruro di sodio 0,9% 1232
Compatibile
Iniezione Flucloxacillin sodium 20 mg/ml
Iniezione Digoxin 25 µg/ml
Cloruro di sodio 0,9% 1232
Compatibile
Iniezione Flucloxacillin sodium 50 mg/ml
Nutrizione parenterale (privo di lipidi) 939
Torbidità immediata Incompatibile
Iniezione Flucloxacillin sodium 20 mg/ml
Iniezione Dobutamine hydrochloride 0.5 mg/ml
Cloruro di sodio 0,9% 1232
Compatibile
Iniezione Flucloxacillin sodium 20 mg/ml
Iniezione Epinephrine hydrochloride 8 µg/ml
Acqua per preparato iniettabile 1232
Precipitazioni immediate Incompatibile
Iniezione Flucloxacillin sodium 20 mg/ml
Iniezione Erythromycin lactobionate 5 mg/ml
Cloruro di sodio 0,9% 1232
Incompatibilità non specificata Incompatibile
Iniezione Flucloxacillin sodium
Iniezione Erythromycin lactobionate
3674
Compatibile
Iniezione Flucloxacillin sodium 20 mg/ml
Iniezione Furosemide 1 mg/ml
Cloruro di sodio 0,9% 1232
Precipitazioni immediate Incompatibile
Iniezione Flucloxacillin sodium
Iniezione Gentamicin sulfate
3522
Incompatibilità non specificata Incompatibile
Iniezione Flucloxacillin sodium
Iniezione Gentamicin sulfate
3643
Compatibile
Iniezione Flucloxacillin sodium 20 mg/ml
Iniezione Hydrocortisone sodium succinate 50 mg/ml
Cloruro di sodio 0,9% 1232
Precipitazioni immediate Incompatibile
Iniezione Flucloxacillin sodium
Iniezione Kanamycin sulfate
3522
Compatibile
Iniezione Flucloxacillin sodium 20 mg/ml
Iniezione Lidocaine hydrochloride 2 mg/ml
Cloruro di sodio 0,9% 1232
Torbidità in 4 ore Incompatibile
Iniezione Flucloxacillin sodium 50 mg/ml
Iniezione Lorazepam 0.33 mg/ml
Cloruro di sodio 0,9% 186
Precipitazioni immediate Incompatibile
Iniezione Flucloxacillin sodium 20 mg/ml
Iniezione Metoclopramide hydrochloride 1 mg/ml
Cloruro di sodio 0,9% 1232
Precipitazioni immediate Incompatibile
Iniezione Flucloxacillin sodium 50 mg/ml
Iniezione Midazolam hydrochloride 5 mg/ml
Nessuno 186
Precipitazioni immediate Incompatibile
Iniezione Flucloxacillin sodium
Iniezione Netilmicin sulfate
3522
Precipitazioni dopo 7 ore Incompatibile
Iniezione Flucloxacillin sodium 10 mg/ml
Iniezione Ofloxacin 2 mg/ml
Nessuno 889
Incompatibilità non specificata Incompatibile
Iniezione Flucloxacillin sodium
Iniezione Penicillin G sodium
3585
Compatibile
Iniezione Flucloxacillin sodium 50 mg/ml
Iniezione Pentoxifyllin 5 mg/ml
Glucosio 5% 4538
Torbidità immediata Incompatibile
Iniezione Flucloxacillin sodium 20 mg/ml
Iniezione Pethidine hydrochloride 5 mg/ml
Acqua per preparato iniettabile 1232
Compatibile
Iniezione Flucloxacillin sodium 20 mg/ml
Iniezione Potassium chloride 40 mEq/l
Acqua per preparato iniettabile 1232
Precipitazioni immediate Incompatibile
Iniezione Flucloxacillin sodium 20 mg/ml
Iniezione Prochlorperazine edysilate 1.25 mg/ml
Acqua per preparato iniettabile 1232
Precipitazioni immediate Incompatibile
Iniezione Flucloxacillin sodium 20 mg/ml
Iniezione Promethazine hydrochloride 5 mg/ml
Acqua per preparato iniettabile 1232
Compatibile
Iniezione Flucloxacillin sodium 20 mg/ml
Iniezione Ranitidine hydrochloride 0,5 mg/ml
Cloruro di sodio 0,9% 1232
Torbidità immediata Incompatibile
Iniezione Flucloxacillin sodium
Iniezione Sildenafil citrate 0,6 mg/ml
Glucosio 5% 4845
Instabilità chimica Incompatibile
Iniezione Flucloxacillin sodium 50 mg/ml
Iniezione Sildenafil citrate 0,6 mg/ml
Glucosio 5% 4845
Compatibile
Iniezione Flucloxacillin sodium 20 mg/ml
Iniezione Sodium bicarbonate 84 mg/ml
1232
Compatibile
Iniezione Flucloxacillin sodium 250 mg/ml
Iniezione Temocilline 83.33 mg/ml
Acqua per preparato iniettabile 2231
Precipitazioni immediate Incompatibile
Iniezione Flucloxacillin sodium
Iniezione Tobramycin sulfate
3522
Precipitazioni dopo 7 ore Incompatibile
Iniezione Flucloxacillin sodium 20 mg/ml
Iniezione Tobramycin sulfate 8 mg/ml
Cloruro di sodio 0,9% 1232
Incompatibilità non specificata Incompatibile
Iniezione Flucloxacillin sodium 250 mg/ml
Iniezione Vancomycin hydrochloride 10 mg/ml
Glucosio 5% 3385

  Mentions Légales