最新更新 :
27/11/2025
抗生素   Flucloxacillin sodium  
注射液
溶液稳定性 混合物稳定性 影响稳定性的因素 兼容性 用药途径 引用文献 PDF
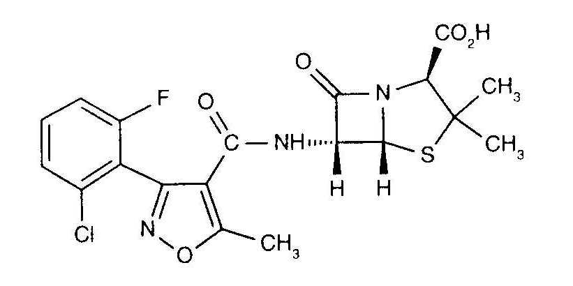
   化学式  

商品名   商品名     

商品名仅供参考, 药品所用的辅料可能依国家或厂商不同有所不同。

Astaph 摩洛哥
Betabiotic 意大利
DBL flucloxacillin sodium 澳大利亚
Flix 土耳其
Floxam 摩洛哥
Floxapen 奥地利, 意大利, 摩洛哥, 比利时, 沙特阿拉伯, 波兰, 瑞士, 美国, 荷兰, 葡萄牙
Flucloxacillin 德国, 意大利, 澳大利亚, 英国
Flucloxacilline 比利时, 法国, 荷兰
Flucloxin 新西蘭
Ladropen 美国
Stafoxil 荷兰
Staphylex 德国
兼容性   注射液   兼容性 : Flucloxacillin sodium              
This screen indicates the compatibilities or incompatibilities with, in this case, the type of incompatibility (precipitation, color change, modification of an emulsion, etc.). The compatibilities shown here are mostly physical only, with the chemical stability of each molecule rarely being assessed. The evaluation of these mixtures was studied to consider the possibility of Y-site administration to the patient. These data cannot be used for making mixtures in advance in bags or syringes. This type of information is available in the screen "Stability in mixture ».
分子 溶剂 引用文献
立即沉澱 不相容
注射液 Flucloxacillin sodium
注射液 Amikacin sulfate
3522
兼容
注射液 Flucloxacillin sodium 20 mg/ml
注射液 Aminophylline 1 mg/ml
NaCl 0,9% 1232
立即沉澱 不相容
注射液 Flucloxacillin sodium 20 mg/ml
注射液 Amiodarone hydrochloride 4 mg/ml
葡萄糖5% 1232
兼容
注射液 Flucloxacillin sodium 20 mg/ml
注射液 Ampicillin sodium 20 mg/ml
NaCl 0,9% 1232
兼容
注射液 Flucloxacillin sodium 20 mg/ml
注射液 Bumetanide 0,006 mg/ml
NaCl 0,9% 1232
兼容
注射液 Flucloxacillin sodium 50 mg/ml
注射液 Caffeine 10 mg/ml
葡萄糖5% 4837
兼容
注射液 Flucloxacillin sodium 50 mg/ml
注射液 Caffeine citrate 20 mg/ml
葡萄糖5% 4837
立即沉澱 不相容
注射液 Flucloxacillin sodium 20 mg/ml
注射液 Calcium gluconate 2 mg/ml
NaCl 0,9% 1232
兼容
注射液 Flucloxacillin sodium 40 >> 240 mg/ml
注射液 Ceftazidime 40 >> 180 mg/ml
NaCl 0,9% 3091
兼容
注射液 Flucloxacillin sodium 20 mg/ml
注射液 Cefuroxime sodium 37,5 mg/ml
注射用水 1232
立即沉澱 不相容
注射液 Flucloxacillin sodium 20 mg/ml
注射液 Chlorpromazine hydrochloride 5 mg/ml
注射用水 1232
兼容
注射液 Flucloxacillin sodium 20 mg/ml
注射液 Cimetidine hydrochloride 4 mg/ml
NaCl 0,9% 1232
未指定的不兼容性 不相容
注射液 Flucloxacillin sodium
注射液 Ciprofloxacin lactate
3529
兼容
注射液 Flucloxacillin sodium
NaCl 0,9% 3522
兼容
注射液 Flucloxacillin sodium
葡萄糖5% 3522
未指定的不兼容性 不相容
注射液 Flucloxacillin sodium
肠外营养(含脂肪) 3522
立即沉澱 不相容
注射液 Flucloxacillin sodium 10 mg/ml
注射液 Ciprofloxacin lactate 2 mg/ml
无 1357
未指定的不兼容性 不相容
注射液 Flucloxacillin sodium
肠外营养(二种混合物) 3522
兼容
注射液 Flucloxacillin sodium 20 mg/ml
注射液 Dexamethasone sodium phosphate 4 mg/ml
NaCl 0,9% 1232
兼容
注射液 Flucloxacillin sodium 20 mg/ml
注射液 Digoxin 25 µg/ml
NaCl 0,9% 1232
兼容
注射液 Flucloxacillin sodium 50 mg/ml
肠外营养(二种混合物) 939
立即渾濁 不相容
注射液 Flucloxacillin sodium 20 mg/ml
注射液 Dobutamine hydrochloride 0.5 mg/ml
NaCl 0,9% 1232
兼容
注射液 Flucloxacillin sodium 20 mg/ml
注射液 Epinephrine hydrochloride 8 µg/ml
注射用水 1232
立即沉澱 不相容
注射液 Flucloxacillin sodium 20 mg/ml
注射液 Erythromycin lactobionate 5 mg/ml
NaCl 0,9% 1232
未指定的不兼容性 不相容
注射液 Flucloxacillin sodium
注射液 Erythromycin lactobionate
3674
兼容
注射液 Flucloxacillin sodium 20 mg/ml
注射液 Furosemide 1 mg/ml
NaCl 0,9% 1232
立即沉澱 不相容
注射液 Flucloxacillin sodium
注射液 Gentamicin sulfate
3522
未指定的不兼容性 不相容
注射液 Flucloxacillin sodium
注射液 Gentamicin sulfate
3643
兼容
注射液 Flucloxacillin sodium 20 mg/ml
注射液 Hydrocortisone sodium succinate 50 mg/ml
NaCl 0,9% 1232
立即沉澱 不相容
注射液 Flucloxacillin sodium
注射液 Kanamycin sulfate
3522
兼容
注射液 Flucloxacillin sodium 20 mg/ml
注射液 Lidocaine hydrochloride 2 mg/ml
NaCl 0,9% 1232
4小時內渾濁 不相容
注射液 Flucloxacillin sodium 50 mg/ml
注射液 Lorazepam 0.33 mg/ml
NaCl 0,9% 186
立即沉澱 不相容
注射液 Flucloxacillin sodium 20 mg/ml
注射液 Metoclopramide hydrochloride 1 mg/ml
NaCl 0,9% 1232
立即沉澱 不相容
注射液 Flucloxacillin sodium 50 mg/ml
注射液 Midazolam hydrochloride 5 mg/ml
无 186
立即沉澱 不相容
注射液 Flucloxacillin sodium
注射液 Netilmicin sulfate
3522
7小時後出現沉澱 不相容
注射液 Flucloxacillin sodium 10 mg/ml
注射液 Ofloxacin 2 mg/ml
无 889
未指定的不兼容性 不相容
注射液 Flucloxacillin sodium
注射液 Penicillin G sodium
3585
兼容
注射液 Flucloxacillin sodium 50 mg/ml
注射液 Pentoxifyllin 5 mg/ml
葡萄糖5% 4538
立即渾濁 不相容
注射液 Flucloxacillin sodium 20 mg/ml
注射液 Pethidine hydrochloride 5 mg/ml
注射用水 1232
兼容
注射液 Flucloxacillin sodium 20 mg/ml
注射液 Potassium chloride 40 mEq/l
注射用水 1232
立即沉澱 不相容
注射液 Flucloxacillin sodium 20 mg/ml
注射液 Prochlorperazine edysilate 1.25 mg/ml
注射用水 1232
立即沉澱 不相容
注射液 Flucloxacillin sodium 20 mg/ml
注射液 Promethazine hydrochloride 5 mg/ml
注射用水 1232
兼容
注射液 Flucloxacillin sodium 20 mg/ml
注射液 Ranitidine hydrochloride 0,5 mg/ml
NaCl 0,9% 1232
立即渾濁 不相容
注射液 Flucloxacillin sodium
注射液 Sildenafil citrate 0,6 mg/ml
葡萄糖5% 4845
化學不穩定性 不相容
注射液 Flucloxacillin sodium 50 mg/ml
注射液 Sildenafil citrate 0,6 mg/ml
葡萄糖5% 4845
兼容
注射液 Flucloxacillin sodium 20 mg/ml
注射液 Sodium bicarbonate 84 mg/ml
1232
兼容
注射液 Flucloxacillin sodium 250 mg/ml
注射液 Temocilline 83.33 mg/ml
注射用水 2231
立即沉澱 不相容
注射液 Flucloxacillin sodium
注射液 Tobramycin sulfate
3522
7小時後出現沉澱 不相容
注射液 Flucloxacillin sodium 20 mg/ml
注射液 Tobramycin sulfate 8 mg/ml
NaCl 0,9% 1232
未指定的不兼容性 不相容
注射液 Flucloxacillin sodium 250 mg/ml
注射液 Vancomycin hydrochloride 10 mg/ml
葡萄糖5% 3385

  Mentions Légales