Останнє оновлення :
27/11/2025
Антибіотик   Flucloxacillin sodium  
ін'єкція
Стійкість в розчинах Стійкість сумішей Фактори, що впливають на стабільність Сумісність Шлях введення Список літератури pdf
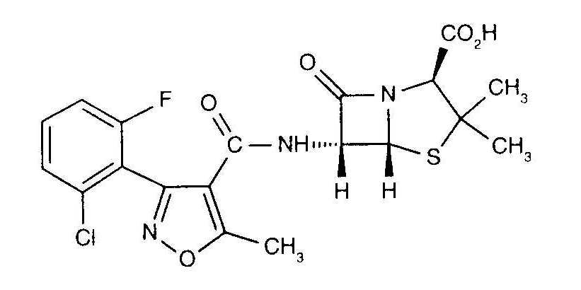
   Хімічна структура  

Торгова назва   Торгова назва     

Торгові назви є орієнтовними, а склад допоміжних речовин може бути різним залежно від країни та виробника

Astaph Марокко
Betabiotic Італія
DBL flucloxacillin sodium Австралія
Flix Туреччина
Floxam Марокко
Floxapen Італія, Австрія, Бельгія, Марокко, Нідерланди, Польща, Португалія, Саудівська Аравія, Сполучені Штати Америки, Швейцарія
Flucloxacillin Італія, Австралія, Великобританія, Німеччина
Flucloxacilline Бельгія, Нідерланди, Франція
Flucloxin Нова Зеландія
Ladropen Сполучені Штати Америки
Stafoxil Нідерланди
Staphylex Німеччина
Сумісність   ін'єкція   Сумісність : Flucloxacillin sodium              
explication_incompatibilite_molecules
З'єднання Розчинник Список літератури
Миттєві опади Несумісні
ін'єкція Flucloxacillin sodium
ін'єкція Amikacin sulfate
3522
сумісний
ін'єкція Flucloxacillin sodium 20 mg/ml
ін'єкція Aminophylline 1 mg/ml
Натрію хлорид 0,9% 1232
Миттєві опади Несумісні
ін'єкція Flucloxacillin sodium 20 mg/ml
ін'єкція Amiodarone hydrochloride 4 mg/ml
Глюкоза 5% 1232
сумісний
ін'єкція Flucloxacillin sodium 20 mg/ml
ін'єкція Ampicillin sodium 20 mg/ml
Натрію хлорид 0,9% 1232
сумісний
ін'єкція Flucloxacillin sodium 20 mg/ml
ін'єкція Bumetanide 0,006 mg/ml
Натрію хлорид 0,9% 1232
сумісний
ін'єкція Flucloxacillin sodium 50 mg/ml
ін'єкція Caffeine 10 mg/ml
Глюкоза 5% 4837
сумісний
ін'єкція Flucloxacillin sodium 50 mg/ml
ін'єкція Caffeine citrate 20 mg/ml
Глюкоза 5% 4837
Миттєві опади Несумісні
ін'єкція Flucloxacillin sodium 20 mg/ml
ін'єкція Calcium gluconate 2 mg/ml
Натрію хлорид 0,9% 1232
сумісний
ін'єкція Flucloxacillin sodium 40 >> 240 mg/ml
ін'єкція Ceftazidime 40 >> 180 mg/ml
Натрію хлорид 0,9% 3091
сумісний
ін'єкція Flucloxacillin sodium 20 mg/ml
ін'єкція Cefuroxime sodium 37,5 mg/ml
Вода для ін'єкцій 1232
Миттєві опади Несумісні
ін'єкція Flucloxacillin sodium 20 mg/ml
ін'єкція Chlorpromazine hydrochloride 5 mg/ml
Вода для ін'єкцій 1232
сумісний
ін'єкція Flucloxacillin sodium 20 mg/ml
ін'єкція Cimetidine hydrochloride 4 mg/ml
Натрію хлорид 0,9% 1232
Неуточнена несумісність Несумісні
ін'єкція Flucloxacillin sodium
ін'єкція Ciprofloxacin lactate
3529
сумісний
ін'єкція Flucloxacillin sodium
Натрію хлорид 0,9% 3522
сумісний
ін'єкція Flucloxacillin sodium
Глюкоза 5% 3522
Неуточнена несумісність Несумісні
ін'єкція Flucloxacillin sodium
Парентеральне харчування (ліпідами) 3522
Миттєві опади Несумісні
ін'єкція Flucloxacillin sodium 10 mg/ml
ін'єкція Ciprofloxacin lactate 2 mg/ml
Жодного 1357
Неуточнена несумісність Несумісні
ін'єкція Flucloxacillin sodium
Парентеральне харчування (бінарна суміш) 3522
сумісний
ін'єкція Flucloxacillin sodium 20 mg/ml
ін'єкція Dexamethasone sodium phosphate 4 mg/ml
Натрію хлорид 0,9% 1232
сумісний
ін'єкція Flucloxacillin sodium 20 mg/ml
ін'єкція Digoxin 25 µg/ml
Натрію хлорид 0,9% 1232
сумісний
ін'єкція Flucloxacillin sodium 50 mg/ml
Парентеральне харчування (бінарна суміш) 939
Негайне помутніння Несумісні
ін'єкція Flucloxacillin sodium 20 mg/ml
ін'єкція Dobutamine hydrochloride 0.5 mg/ml
Натрію хлорид 0,9% 1232
сумісний
ін'єкція Flucloxacillin sodium 20 mg/ml
ін'єкція Epinephrine hydrochloride 8 µg/ml
Вода для ін'єкцій 1232
Миттєві опади Несумісні
ін'єкція Flucloxacillin sodium 20 mg/ml
ін'єкція Erythromycin lactobionate 5 mg/ml
Натрію хлорид 0,9% 1232
Неуточнена несумісність Несумісні
ін'єкція Flucloxacillin sodium
ін'єкція Erythromycin lactobionate
3674
сумісний
ін'єкція Flucloxacillin sodium 20 mg/ml
ін'єкція Furosemide 1 mg/ml
Натрію хлорид 0,9% 1232
Миттєві опади Несумісні
ін'єкція Flucloxacillin sodium
ін'єкція Gentamicin sulfate
3522
Неуточнена несумісність Несумісні
ін'єкція Flucloxacillin sodium
ін'єкція Gentamicin sulfate
3643
сумісний
ін'єкція Flucloxacillin sodium 20 mg/ml
ін'єкція Hydrocortisone sodium succinate 50 mg/ml
Натрію хлорид 0,9% 1232
Миттєві опади Несумісні
ін'єкція Flucloxacillin sodium
ін'єкція Kanamycin sulfate
3522
сумісний
ін'єкція Flucloxacillin sodium 20 mg/ml
ін'єкція Lidocaine hydrochloride 2 mg/ml
Натрію хлорид 0,9% 1232
Помутніння через 4 години Несумісні
ін'єкція Flucloxacillin sodium 50 mg/ml
ін'єкція Lorazepam 0.33 mg/ml
Натрію хлорид 0,9% 186
Миттєві опади Несумісні
ін'єкція Flucloxacillin sodium 20 mg/ml
ін'єкція Metoclopramide hydrochloride 1 mg/ml
Натрію хлорид 0,9% 1232
Миттєві опади Несумісні
ін'єкція Flucloxacillin sodium 50 mg/ml
ін'єкція Midazolam hydrochloride 5 mg/ml
Жодного 186
Миттєві опади Несумісні
ін'єкція Flucloxacillin sodium
ін'єкція Netilmicin sulfate
3522
Опади через 7 годин Несумісні
ін'єкція Flucloxacillin sodium 10 mg/ml
ін'єкція Ofloxacin 2 mg/ml
Жодного 889
Неуточнена несумісність Несумісні
ін'єкція Flucloxacillin sodium
ін'єкція Penicillin G sodium
3585
сумісний
ін'єкція Flucloxacillin sodium 50 mg/ml
ін'єкція Pentoxifyllin 5 mg/ml
Глюкоза 5% 4538
Негайне помутніння Несумісні
ін'єкція Flucloxacillin sodium 20 mg/ml
ін'єкція Pethidine hydrochloride 5 mg/ml
Вода для ін'єкцій 1232
сумісний
ін'єкція Flucloxacillin sodium 20 mg/ml
ін'єкція Potassium chloride 40 mEq/l
Вода для ін'єкцій 1232
Миттєві опади Несумісні
ін'єкція Flucloxacillin sodium 20 mg/ml
ін'єкція Prochlorperazine edysilate 1.25 mg/ml
Вода для ін'єкцій 1232
Миттєві опади Несумісні
ін'єкція Flucloxacillin sodium 20 mg/ml
ін'єкція Promethazine hydrochloride 5 mg/ml
Вода для ін'єкцій 1232
сумісний
ін'єкція Flucloxacillin sodium 20 mg/ml
ін'єкція Ranitidine hydrochloride 0,5 mg/ml
Натрію хлорид 0,9% 1232
Негайне помутніння Несумісні
ін'єкція Flucloxacillin sodium
ін'єкція Sildenafil citrate 0,6 mg/ml
Глюкоза 5% 4845
Хімічна нестійкість Несумісні
ін'єкція Flucloxacillin sodium 50 mg/ml
ін'єкція Sildenafil citrate 0,6 mg/ml
Глюкоза 5% 4845
сумісний
ін'єкція Flucloxacillin sodium 20 mg/ml
ін'єкція Sodium bicarbonate 84 mg/ml
1232
сумісний
ін'єкція Flucloxacillin sodium 250 mg/ml
ін'єкція Temocilline 83.33 mg/ml
Вода для ін'єкцій 2231
Миттєві опади Несумісні
ін'єкція Flucloxacillin sodium
ін'єкція Tobramycin sulfate
3522
Опади через 7 годин Несумісні
ін'єкція Flucloxacillin sodium 20 mg/ml
ін'єкція Tobramycin sulfate 8 mg/ml
Натрію хлорид 0,9% 1232
Неуточнена несумісність Несумісні
ін'єкція Flucloxacillin sodium 250 mg/ml
ін'єкція Vancomycin hydrochloride 10 mg/ml
Глюкоза 5% 3385

  Mentions Légales