Senaste uppdateringen :
27/11/2025
Antibiotikum   Flucloxacillin sodium  
injektion
Lösningars stabilitet Stabilitet i blandningar Faktorer som påverkar stabiliteten Kompatibilitet Administreringssätt Hänvisningar pdf
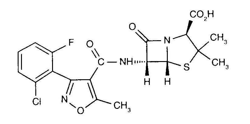
   Molekylstruktur  

Varunamn   Varunamn     

Angivna handelsnamn på läkemedel är enbart vägledande då formulering inklusive hjälpämnen kan variera mellan länder och tillverkare

Astaph Marocko
Betabiotic Italien
DBL flucloxacillin sodium Australien
Flix Turkiet
Floxam Marocko
Floxapen Belgien, Förenta Staterna, Italien, Marocko, Nederländerna, Österrike, Polen, Portugal, Saudi-Arabien, Schweiz
Flucloxacillin Australien, Italien, Storbritannien, Tyskland
Flucloxacilline Belgien, Frankrike, Nederländerna
Flucloxin nya Zeeland
Ladropen Förenta Staterna
Stafoxil Nederländerna
Staphylex Tyskland
Kompatibilitet   injektion   Kompatibilitet : Flucloxacillin sodium              
Den här skärmen visar kompatibiliteten eller inkompatibiliteten med, i detta fall, typen av inkompatibilitet (utfällning, färgförändring, modifiering av en emulsion, etc.). De kompatibiliteter som visas här är oftast endast fysiska, varvid den kemiska stabiliteten för varje molekyl sällan utvärderas. Utvärderingen av dessa blandningar studerades för att överväga möjligheten för Y-platsadministrering till patienten. Dessa data kan inte användas för att göra blandningar i förväg i påsar eller sprutor. Denna typ av information finns på skärmen "Stabilitet i blandning".
Substans Lösningsmedel Hänvisningar
Omedelbar nederbörd Oförenlig
injektion Flucloxacillin sodium
injektion Amikacin sulfate
3522
Kompatibel
injektion Flucloxacillin sodium 20 mg/ml
injektion Aminophylline 1 mg/ml
Natriumklorid 0,9 % 1232
Omedelbar nederbörd Oförenlig
injektion Flucloxacillin sodium 20 mg/ml
injektion Amiodarone hydrochloride 4 mg/ml
Glukos 5 % 1232
Kompatibel
injektion Flucloxacillin sodium 20 mg/ml
injektion Ampicillin sodium 20 mg/ml
Natriumklorid 0,9 % 1232
Kompatibel
injektion Flucloxacillin sodium 20 mg/ml
injektion Bumetanide 0,006 mg/ml
Natriumklorid 0,9 % 1232
Kompatibel
injektion Flucloxacillin sodium 50 mg/ml
injektion Caffeine 10 mg/ml
Glukos 5 % 4837
Kompatibel
injektion Flucloxacillin sodium 50 mg/ml
injektion Caffeine citrate 20 mg/ml
Glukos 5 % 4837
Omedelbar nederbörd Oförenlig
injektion Flucloxacillin sodium 20 mg/ml
injektion Calcium gluconate 2 mg/ml
Natriumklorid 0,9 % 1232
Kompatibel
injektion Flucloxacillin sodium 40 >> 240 mg/ml
injektion Ceftazidime 40 >> 180 mg/ml
Natriumklorid 0,9 % 3091
Kompatibel
injektion Flucloxacillin sodium 20 mg/ml
injektion Cefuroxime sodium 37,5 mg/ml
Vatten för injektion 1232
Omedelbar nederbörd Oförenlig
injektion Flucloxacillin sodium 20 mg/ml
injektion Chlorpromazine hydrochloride 5 mg/ml
Vatten för injektion 1232
Kompatibel
injektion Flucloxacillin sodium 20 mg/ml
injektion Cimetidine hydrochloride 4 mg/ml
Natriumklorid 0,9 % 1232
Ospecificerad inkompatibilitet Oförenlig
injektion Flucloxacillin sodium
injektion Ciprofloxacin lactate
3529
Kompatibel
injektion Flucloxacillin sodium
Natriumklorid 0,9 % 3522
Kompatibel
injektion Flucloxacillin sodium
Glukos 5 % 3522
Ospecificerad inkompatibilitet Oförenlig
injektion Flucloxacillin sodium
Parenteral nutrition (med lipider) 3522
Omedelbar nederbörd Oförenlig
injektion Flucloxacillin sodium 10 mg/ml
injektion Ciprofloxacin lactate 2 mg/ml
Ingen 1357
Ospecificerad inkompatibilitet Oförenlig
injektion Flucloxacillin sodium
Parenteral nutrition (binär blandning) 3522
Kompatibel
injektion Flucloxacillin sodium 20 mg/ml
injektion Dexamethasone sodium phosphate 4 mg/ml
Natriumklorid 0,9 % 1232
Kompatibel
injektion Flucloxacillin sodium 20 mg/ml
injektion Digoxin 25 µg/ml
Natriumklorid 0,9 % 1232
Kompatibel
injektion Flucloxacillin sodium 50 mg/ml
Parenteral nutrition (binär blandning) 939
Omedelbar grumlighet Oförenlig
injektion Flucloxacillin sodium 20 mg/ml
injektion Dobutamine hydrochloride 0.5 mg/ml
Natriumklorid 0,9 % 1232
Kompatibel
injektion Flucloxacillin sodium 20 mg/ml
injektion Epinephrine hydrochloride 8 µg/ml
Vatten för injektion 1232
Omedelbar nederbörd Oförenlig
injektion Flucloxacillin sodium 20 mg/ml
injektion Erythromycin lactobionate 5 mg/ml
Natriumklorid 0,9 % 1232
Ospecificerad inkompatibilitet Oförenlig
injektion Flucloxacillin sodium
injektion Erythromycin lactobionate
3674
Kompatibel
injektion Flucloxacillin sodium 20 mg/ml
injektion Furosemide 1 mg/ml
Natriumklorid 0,9 % 1232
Omedelbar nederbörd Oförenlig
injektion Flucloxacillin sodium
injektion Gentamicin sulfate
3522
Ospecificerad inkompatibilitet Oförenlig
injektion Flucloxacillin sodium
injektion Gentamicin sulfate
3643
Kompatibel
injektion Flucloxacillin sodium 20 mg/ml
injektion Hydrocortisone sodium succinate 50 mg/ml
Natriumklorid 0,9 % 1232
Omedelbar nederbörd Oförenlig
injektion Flucloxacillin sodium
injektion Kanamycin sulfate
3522
Kompatibel
injektion Flucloxacillin sodium 20 mg/ml
injektion Lidocaine hydrochloride 2 mg/ml
Natriumklorid 0,9 % 1232
Grumlighet på 4 timmar Oförenlig
injektion Flucloxacillin sodium 50 mg/ml
injektion Lorazepam 0.33 mg/ml
Natriumklorid 0,9 % 186
Omedelbar nederbörd Oförenlig
injektion Flucloxacillin sodium 20 mg/ml
injektion Metoclopramide hydrochloride 1 mg/ml
Natriumklorid 0,9 % 1232
Omedelbar nederbörd Oförenlig
injektion Flucloxacillin sodium 50 mg/ml
injektion Midazolam hydrochloride 5 mg/ml
Ingen 186
Omedelbar nederbörd Oförenlig
injektion Flucloxacillin sodium
injektion Netilmicin sulfate
3522
Utfällning efter 7 timmar Oförenlig
injektion Flucloxacillin sodium 10 mg/ml
injektion Ofloxacin 2 mg/ml
Ingen 889
Ospecificerad inkompatibilitet Oförenlig
injektion Flucloxacillin sodium
injektion Penicillin G sodium
3585
Kompatibel
injektion Flucloxacillin sodium 50 mg/ml
injektion Pentoxifyllin 5 mg/ml
Glukos 5 % 4538
Omedelbar grumlighet Oförenlig
injektion Flucloxacillin sodium 20 mg/ml
injektion Pethidine hydrochloride 5 mg/ml
Vatten för injektion 1232
Kompatibel
injektion Flucloxacillin sodium 20 mg/ml
injektion Potassium chloride 40 mEq/l
Vatten för injektion 1232
Omedelbar nederbörd Oförenlig
injektion Flucloxacillin sodium 20 mg/ml
injektion Prochlorperazine edysilate 1.25 mg/ml
Vatten för injektion 1232
Omedelbar nederbörd Oförenlig
injektion Flucloxacillin sodium 20 mg/ml
injektion Promethazine hydrochloride 5 mg/ml
Vatten för injektion 1232
Kompatibel
injektion Flucloxacillin sodium 20 mg/ml
injektion Ranitidine hydrochloride 0,5 mg/ml
Natriumklorid 0,9 % 1232
Omedelbar grumlighet Oförenlig
injektion Flucloxacillin sodium
injektion Sildenafil citrate 0,6 mg/ml
Glukos 5 % 4845
Kemisk instabilitet Oförenlig
injektion Flucloxacillin sodium 50 mg/ml
injektion Sildenafil citrate 0,6 mg/ml
Glukos 5 % 4845
Kompatibel
injektion Flucloxacillin sodium 20 mg/ml
injektion Sodium bicarbonate 84 mg/ml
1232
Kompatibel
injektion Flucloxacillin sodium 250 mg/ml
injektion Temocilline 83.33 mg/ml
Vatten för injektion 2231
Omedelbar nederbörd Oförenlig
injektion Flucloxacillin sodium
injektion Tobramycin sulfate
3522
Utfällning efter 7 timmar Oförenlig
injektion Flucloxacillin sodium 20 mg/ml
injektion Tobramycin sulfate 8 mg/ml
Natriumklorid 0,9 % 1232
Ospecificerad inkompatibilitet Oförenlig
injektion Flucloxacillin sodium 250 mg/ml
injektion Vancomycin hydrochloride 10 mg/ml
Glukos 5 % 3385

  Mentions Légales