Viimeisin päivitys :
27/04/2026
Antibiootit   Flucloxacillin sodium  
Injektioneste
Stabilius liuoksessa Stabilius seoksissa Tekijät, jotka vaikuttavat stabiliuteen Yhteensopivuus Antotapa Viitteet pdf
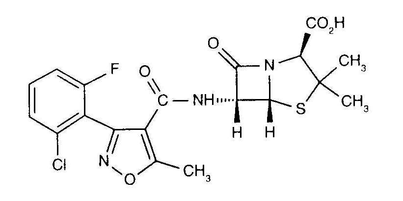
   Kemiallinen rakenne  

Kauppanimi   Kauppanimi     

Trade names are indicative and excipients composition can be different depending on the country and manufacturers

Astaph Marokko
Betabiotic Italia
DBL flucloxacillin sodium Australia
Flix Turkki
Floxam Marokko
Floxapen Belgia, Hollanti, Italia, Itävalta, Marokko, Portugali, Puola, Saudi-Arabia, Sveitsi, Yhdysvallat
Flucloxacillin Australia, Iso-Britannia, Italia, Saksa
Flucloxacilline Belgia, Hollanti, Ranska
Flucloxin New Zealand
Ladropen Yhdysvallat
Stafoxil Hollanti
Staphylex Saksa
Yhteensopivuus   Injektioneste   Yhteensopivuus : Flucloxacillin sodium              
Tämä näyttö osoittaa yhteensopivuuden tai yhteensopimattomuuden yhteensopimattomuuden tyypin kanssa (saostuminen, värinmuutos, emulsiomuutos jne.). Tässä esitetty yhteensopivuus on useimmissa tapauksissa vain fysikaalinen, ja kunkin molekyylin kemiallista stabiilisuutta arvioidaan harvoin. Näiden seosten arviointia tutkittiin mahdollisuuden antaa Y-kohta potilaalle. Näitä tietoja ei voida käyttää seosten valmistamiseen etukäteen pusseissa tai ruiskuissa. Tämäntyyppiset tiedot ovat saatavilla "Stabiilisuus seoksessa" -näytössä.
Yhdiste Liuotin Viitteet
Välittömät sateet yhteensopimaton
Injektioneste Flucloxacillin sodium
Injektioneste Amikacin sulfate
3522
Yhteensopiva
Injektioneste Flucloxacillin sodium 20 mg/ml
Injektioneste Aminophylline 1 mg/ml
Natriumkloridi 0,9% 1232
Välittömät sateet yhteensopimaton
Injektioneste Flucloxacillin sodium 20 mg/ml
Injektioneste Amiodarone hydrochloride 4 mg/ml
Glukoosi 5% 1232
Yhteensopiva
Injektioneste Flucloxacillin sodium 20 mg/ml
Injektioneste Ampicillin sodium 20 mg/ml
Natriumkloridi 0,9% 1232
Yhteensopiva
Injektioneste Flucloxacillin sodium 20 mg/ml
Injektioneste Bumetanide 0,006 mg/ml
Natriumkloridi 0,9% 1232
Yhteensopiva
Injektioneste Flucloxacillin sodium 50 mg/ml
Injektioneste Caffeine 10 mg/ml
Glukoosi 5% 4837
Yhteensopiva
Injektioneste Flucloxacillin sodium 50 mg/ml
Injektioneste Caffeine citrate 20 mg/ml
Glukoosi 5% 4837
Välittömät sateet yhteensopimaton
Injektioneste Flucloxacillin sodium 20 mg/ml
Injektioneste Calcium gluconate 2 mg/ml
Natriumkloridi 0,9% 1232
Yhteensopiva
Injektioneste Flucloxacillin sodium 40 >> 240 mg/ml
Injektioneste Ceftazidime 40 >> 180 mg/ml
Natriumkloridi 0,9% 3091
Yhteensopiva
Injektioneste Flucloxacillin sodium 20 mg/ml
Injektioneste Cefuroxime sodium 37,5 mg/ml
Injektionesteisiin käytettävä vesi 1232
Välittömät sateet yhteensopimaton
Injektioneste Flucloxacillin sodium 20 mg/ml
Injektioneste Chlorpromazine hydrochloride 5 mg/ml
Injektionesteisiin käytettävä vesi 1232
Yhteensopiva
Injektioneste Flucloxacillin sodium 20 mg/ml
Injektioneste Cimetidine hydrochloride 4 mg/ml
Natriumkloridi 0,9% 1232
Määrittelemätön yhteensopimattomuus yhteensopimaton
Injektioneste Flucloxacillin sodium
Injektioneste Ciprofloxacin lactate
3529
Yhteensopiva
Injektioneste Flucloxacillin sodium
Natriumkloridi 0,9% 3522
Yhteensopiva
Injektioneste Flucloxacillin sodium
Glukoosi 5% 3522
Määrittelemätön yhteensopimattomuus yhteensopimaton
Injektioneste Flucloxacillin sodium
Parenteraalinen (lipidien) 3522
Välittömät sateet yhteensopimaton
Injektioneste Flucloxacillin sodium 10 mg/ml
Injektioneste Ciprofloxacin lactate 2 mg/ml
Ei mikään 1357
Määrittelemätön yhteensopimattomuus yhteensopimaton
Injektioneste Flucloxacillin sodium
Parenteraalisesti (rasva-free) 3522
Yhteensopiva
Injektioneste Flucloxacillin sodium 20 mg/ml
Injektioneste Dexamethasone sodium phosphate 4 mg/ml
Natriumkloridi 0,9% 1232
Yhteensopiva
Injektioneste Flucloxacillin sodium 20 mg/ml
Injektioneste Digoxin 25 µg/ml
Natriumkloridi 0,9% 1232
Yhteensopiva
Injektioneste Flucloxacillin sodium 50 mg/ml
Parenteraalisesti (rasva-free) 939
Välitön sameus yhteensopimaton
Injektioneste Flucloxacillin sodium 20 mg/ml
Injektioneste Dobutamine hydrochloride 0.5 mg/ml
Natriumkloridi 0,9% 1232
Yhteensopiva
Injektioneste Flucloxacillin sodium 20 mg/ml
Injektioneste Epinephrine hydrochloride 8 µg/ml
Injektionesteisiin käytettävä vesi 1232
Välittömät sateet yhteensopimaton
Injektioneste Flucloxacillin sodium 20 mg/ml
Injektioneste Erythromycin lactobionate 5 mg/ml
Natriumkloridi 0,9% 1232
Määrittelemätön yhteensopimattomuus yhteensopimaton
Injektioneste Flucloxacillin sodium
Injektioneste Erythromycin lactobionate
3674
Yhteensopiva
Injektioneste Flucloxacillin sodium 20 mg/ml
Injektioneste Furosemide 1 mg/ml
Natriumkloridi 0,9% 1232
Välittömät sateet yhteensopimaton
Injektioneste Flucloxacillin sodium
Injektioneste Gentamicin sulfate
3522
Määrittelemätön yhteensopimattomuus yhteensopimaton
Injektioneste Flucloxacillin sodium
Injektioneste Gentamicin sulfate
3643
Yhteensopiva
Injektioneste Flucloxacillin sodium 20 mg/ml
Injektioneste Hydrocortisone sodium succinate 50 mg/ml
Natriumkloridi 0,9% 1232
Välittömät sateet yhteensopimaton
Injektioneste Flucloxacillin sodium
Injektioneste Kanamycin sulfate
3522
Yhteensopiva
Injektioneste Flucloxacillin sodium 20 mg/ml
Injektioneste Lidocaine hydrochloride 2 mg/ml
Natriumkloridi 0,9% 1232
Sameus 4 tunnissa yhteensopimaton
Injektioneste Flucloxacillin sodium 50 mg/ml
Injektioneste Lorazepam 0.33 mg/ml
Natriumkloridi 0,9% 186
Välittömät sateet yhteensopimaton
Injektioneste Flucloxacillin sodium 20 mg/ml
Injektioneste Metoclopramide hydrochloride 1 mg/ml
Natriumkloridi 0,9% 1232
Välittömät sateet yhteensopimaton
Injektioneste Flucloxacillin sodium 50 mg/ml
Injektioneste Midazolam hydrochloride 5 mg/ml
Ei mikään 186
Välittömät sateet yhteensopimaton
Injektioneste Flucloxacillin sodium
Injektioneste Netilmicin sulfate
3522
Sade 7 tunnin kuluttua yhteensopimaton
Injektioneste Flucloxacillin sodium 10 mg/ml
Injektioneste Ofloxacin 2 mg/ml
Ei mikään 889
Määrittelemätön yhteensopimattomuus yhteensopimaton
Injektioneste Flucloxacillin sodium
Injektioneste Penicillin G sodium
3585
Yhteensopiva
Injektioneste Flucloxacillin sodium 50 mg/ml
Injektioneste Pentoxifyllin 5 mg/ml
Glukoosi 5% 4538
Välitön sameus yhteensopimaton
Injektioneste Flucloxacillin sodium 20 mg/ml
Injektioneste Pethidine hydrochloride 5 mg/ml
Injektionesteisiin käytettävä vesi 1232
Yhteensopiva
Injektioneste Flucloxacillin sodium 20 mg/ml
Injektioneste Potassium chloride 40 mEq/l
Injektionesteisiin käytettävä vesi 1232
Välittömät sateet yhteensopimaton
Injektioneste Flucloxacillin sodium 20 mg/ml
Injektioneste Prochlorperazine edysilate 1.25 mg/ml
Injektionesteisiin käytettävä vesi 1232
Välittömät sateet yhteensopimaton
Injektioneste Flucloxacillin sodium 20 mg/ml
Injektioneste Promethazine hydrochloride 5 mg/ml
Injektionesteisiin käytettävä vesi 1232
Yhteensopiva
Injektioneste Flucloxacillin sodium 20 mg/ml
Injektioneste Ranitidine hydrochloride 0,5 mg/ml
Natriumkloridi 0,9% 1232
Välitön sameus yhteensopimaton
Injektioneste Flucloxacillin sodium
Injektioneste Sildenafil citrate 0,6 mg/ml
Glukoosi 5% 4845
Kemiallinen epävakaus yhteensopimaton
Injektioneste Flucloxacillin sodium 50 mg/ml
Injektioneste Sildenafil citrate 0,6 mg/ml
Glukoosi 5% 4845
Yhteensopiva
Injektioneste Flucloxacillin sodium 20 mg/ml
Injektioneste Sodium bicarbonate 84 mg/ml
1232
Yhteensopiva
Injektioneste Flucloxacillin sodium 250 mg/ml
Injektioneste Temocilline 83.33 mg/ml
Injektionesteisiin käytettävä vesi 2231
Välittömät sateet yhteensopimaton
Injektioneste Flucloxacillin sodium
Injektioneste Tobramycin sulfate
3522
Sade 7 tunnin kuluttua yhteensopimaton
Injektioneste Flucloxacillin sodium 20 mg/ml
Injektioneste Tobramycin sulfate 8 mg/ml
Natriumkloridi 0,9% 1232
Määrittelemätön yhteensopimattomuus yhteensopimaton
Injektioneste Flucloxacillin sodium 250 mg/ml
Injektioneste Vancomycin hydrochloride 10 mg/ml
Glukoosi 5% 3385

  Mentions Légales