Последно актуализиране :
27/11/2025
Антибиотик   Flucloxacillin sodium  
Инжекция/Инжекционен
Стабилност на разтвори Стабилност на смеси Фактори, повлияващи стабилността Съвместимост Път на въвеждане Библиография Pdf
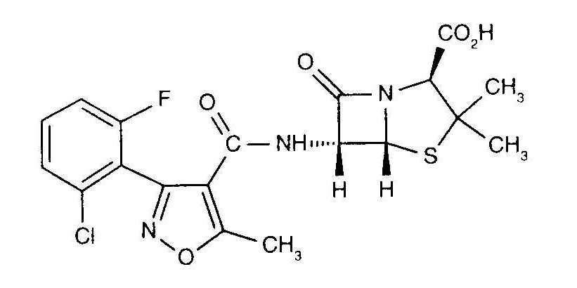
   Химична структура  

Търговско наименование   Търговско наименование     

Търговските имена са примерни и съставът на помощните вещества може да бъде различен в зависимост от държавата и лабораториите

Astaph Мароко
Betabiotic Италия
DBL flucloxacillin sodium Австралия
Flix Турция
Floxam Мароко
Floxapen Австрия, Белгия, Италия, Мароко, Полша, Португалия, Саудитска Арабия, Съединени Американски щати / САЩ, Холандия, Швейцария
Flucloxacillin Австралия, Великобритания, Германия, Италия
Flucloxacilline Белгия, Франция, Холандия
Flucloxin нова Зеландия
Ladropen Съединени Американски щати / САЩ
Stafoxil Холандия
Staphylex Германия
Съвместимост   Инжекция/Инжекционен   Съвместимост : Flucloxacillin sodium              
Този екран показва съвместимостта или несъвместимостта с, в този случай, вида на несъвместимостта (утаяване, промяна на цвета, модификация на емулсия и др.). Показаните тук съвместимости са предимно физически, като рядко се оценява химическата стабилност на всяка молекула. Оценката на тези смеси беше проучена, за да се разгледа възможността за приложение на Y-място на пациента. Тези данни не могат да се използват за предварително приготвяне на смеси в торбички или спринцовки. Този тип информация е достъпна на екрана "Стабилност в сместа".
Състав / молекула Разтворител Библиография
Незабавни валежи Несъвместим
Инжекция/Инжекционен Flucloxacillin sodium
Инжекция/Инжекционен Amikacin sulfate
3522
съвместим
Инжекция/Инжекционен Flucloxacillin sodium 20 mg/ml
Инжекция/Инжекционен Aminophylline 1 mg/ml
Sodium chloride 0,9% 1232
Незабавни валежи Несъвместим
Инжекция/Инжекционен Flucloxacillin sodium 20 mg/ml
Инжекция/Инжекционен Amiodarone hydrochloride 4 mg/ml
Glucose 5% 1232
съвместим
Инжекция/Инжекционен Flucloxacillin sodium 20 mg/ml
Инжекция/Инжекционен Ampicillin sodium 20 mg/ml
Sodium chloride 0,9% 1232
съвместим
Инжекция/Инжекционен Flucloxacillin sodium 20 mg/ml
Инжекция/Инжекционен Bumetanide 0,006 mg/ml
Sodium chloride 0,9% 1232
съвместим
Инжекция/Инжекционен Flucloxacillin sodium 50 mg/ml
Инжекция/Инжекционен Caffeine 10 mg/ml
Glucose 5% 4837
съвместим
Инжекция/Инжекционен Flucloxacillin sodium 50 mg/ml
Инжекция/Инжекционен Caffeine citrate 20 mg/ml
Glucose 5% 4837
Незабавни валежи Несъвместим
Инжекция/Инжекционен Flucloxacillin sodium 20 mg/ml
Инжекция/Инжекционен Calcium gluconate 2 mg/ml
Sodium chloride 0,9% 1232
съвместим
Инжекция/Инжекционен Flucloxacillin sodium 40 >> 240 mg/ml
Инжекция/Инжекционен Ceftazidime 40 >> 180 mg/ml
Sodium chloride 0,9% 3091
съвместим
Инжекция/Инжекционен Flucloxacillin sodium 20 mg/ml
Инжекция/Инжекционен Cefuroxime sodium 37,5 mg/ml
Вода за инжекции 1232
Незабавни валежи Несъвместим
Инжекция/Инжекционен Flucloxacillin sodium 20 mg/ml
Инжекция/Инжекционен Chlorpromazine hydrochloride 5 mg/ml
Вода за инжекции 1232
съвместим
Инжекция/Инжекционен Flucloxacillin sodium 20 mg/ml
Инжекция/Инжекционен Cimetidine hydrochloride 4 mg/ml
Sodium chloride 0,9% 1232
Неопределена несъвместимост Несъвместим
Инжекция/Инжекционен Flucloxacillin sodium
Инжекция/Инжекционен Ciprofloxacin lactate
3529
съвместим
Инжекция/Инжекционен Flucloxacillin sodium
Sodium chloride 0,9% 3522
съвместим
Инжекция/Инжекционен Flucloxacillin sodium
Glucose 5% 3522
Неопределена несъвместимост Несъвместим
Инжекция/Инжекционен Flucloxacillin sodium
Парентерално хранене (с липиди) 3522
Незабавни валежи Несъвместим
Инжекция/Инжекционен Flucloxacillin sodium 10 mg/ml
Инжекция/Инжекционен Ciprofloxacin lactate 2 mg/ml
Няма 1357
Неопределена несъвместимост Несъвместим
Инжекция/Инжекционен Flucloxacillin sodium
Парентерално хранене (липидите безплатно) 3522
съвместим
Инжекция/Инжекционен Flucloxacillin sodium 20 mg/ml
Инжекция/Инжекционен Dexamethasone sodium phosphate 4 mg/ml
Sodium chloride 0,9% 1232
съвместим
Инжекция/Инжекционен Flucloxacillin sodium 20 mg/ml
Инжекция/Инжекционен Digoxin 25 µg/ml
Sodium chloride 0,9% 1232
съвместим
Инжекция/Инжекционен Flucloxacillin sodium 50 mg/ml
Парентерално хранене (липидите безплатно) 939
Незабавна мътност Несъвместим
Инжекция/Инжекционен Flucloxacillin sodium 20 mg/ml
Инжекция/Инжекционен Dobutamine hydrochloride 0.5 mg/ml
Sodium chloride 0,9% 1232
съвместим
Инжекция/Инжекционен Flucloxacillin sodium 20 mg/ml
Инжекция/Инжекционен Epinephrine hydrochloride 8 µg/ml
Вода за инжекции 1232
Незабавни валежи Несъвместим
Инжекция/Инжекционен Flucloxacillin sodium 20 mg/ml
Инжекция/Инжекционен Erythromycin lactobionate 5 mg/ml
Sodium chloride 0,9% 1232
Неопределена несъвместимост Несъвместим
Инжекция/Инжекционен Flucloxacillin sodium
Инжекция/Инжекционен Erythromycin lactobionate
3674
съвместим
Инжекция/Инжекционен Flucloxacillin sodium 20 mg/ml
Инжекция/Инжекционен Furosemide 1 mg/ml
Sodium chloride 0,9% 1232
Незабавни валежи Несъвместим
Инжекция/Инжекционен Flucloxacillin sodium
Инжекция/Инжекционен Gentamicin sulfate
3522
Неопределена несъвместимост Несъвместим
Инжекция/Инжекционен Flucloxacillin sodium
Инжекция/Инжекционен Gentamicin sulfate
3643
съвместим
Инжекция/Инжекционен Flucloxacillin sodium 20 mg/ml
Инжекция/Инжекционен Hydrocortisone sodium succinate 50 mg/ml
Sodium chloride 0,9% 1232
Незабавни валежи Несъвместим
Инжекция/Инжекционен Flucloxacillin sodium
Инжекция/Инжекционен Kanamycin sulfate
3522
съвместим
Инжекция/Инжекционен Flucloxacillin sodium 20 mg/ml
Инжекция/Инжекционен Lidocaine hydrochloride 2 mg/ml
Sodium chloride 0,9% 1232
Мътност за 4 часа Несъвместим
Инжекция/Инжекционен Flucloxacillin sodium 50 mg/ml
Инжекция/Инжекционен Lorazepam 0.33 mg/ml
Sodium chloride 0,9% 186
Незабавни валежи Несъвместим
Инжекция/Инжекционен Flucloxacillin sodium 20 mg/ml
Инжекция/Инжекционен Metoclopramide hydrochloride 1 mg/ml
Sodium chloride 0,9% 1232
Незабавни валежи Несъвместим
Инжекция/Инжекционен Flucloxacillin sodium 50 mg/ml
Инжекция/Инжекционен Midazolam hydrochloride 5 mg/ml
Няма 186
Незабавни валежи Несъвместим
Инжекция/Инжекционен Flucloxacillin sodium
Инжекция/Инжекционен Netilmicin sulfate
3522
Валежи след 7 часа Несъвместим
Инжекция/Инжекционен Flucloxacillin sodium 10 mg/ml
Инжекция/Инжекционен Ofloxacin 2 mg/ml
Няма 889
Неопределена несъвместимост Несъвместим
Инжекция/Инжекционен Flucloxacillin sodium
Инжекция/Инжекционен Penicillin G sodium
3585
съвместим
Инжекция/Инжекционен Flucloxacillin sodium 50 mg/ml
Инжекция/Инжекционен Pentoxifyllin 5 mg/ml
Glucose 5% 4538
Незабавна мътност Несъвместим
Инжекция/Инжекционен Flucloxacillin sodium 20 mg/ml
Инжекция/Инжекционен Pethidine hydrochloride 5 mg/ml
Вода за инжекции 1232
съвместим
Инжекция/Инжекционен Flucloxacillin sodium 20 mg/ml
Инжекция/Инжекционен Potassium chloride 40 mEq/l
Вода за инжекции 1232
Незабавни валежи Несъвместим
Инжекция/Инжекционен Flucloxacillin sodium 20 mg/ml
Инжекция/Инжекционен Prochlorperazine edysilate 1.25 mg/ml
Вода за инжекции 1232
Незабавни валежи Несъвместим
Инжекция/Инжекционен Flucloxacillin sodium 20 mg/ml
Инжекция/Инжекционен Promethazine hydrochloride 5 mg/ml
Вода за инжекции 1232
съвместим
Инжекция/Инжекционен Flucloxacillin sodium 20 mg/ml
Инжекция/Инжекционен Ranitidine hydrochloride 0,5 mg/ml
Sodium chloride 0,9% 1232
Незабавна мътност Несъвместим
Инжекция/Инжекционен Flucloxacillin sodium
Инжекция/Инжекционен Sildenafil citrate 0,6 mg/ml
Glucose 5% 4845
Химическа нестабилност Несъвместим
Инжекция/Инжекционен Flucloxacillin sodium 50 mg/ml
Инжекция/Инжекционен Sildenafil citrate 0,6 mg/ml
Glucose 5% 4845
съвместим
Инжекция/Инжекционен Flucloxacillin sodium 20 mg/ml
Инжекция/Инжекционен Sodium bicarbonate 84 mg/ml
1232
съвместим
Инжекция/Инжекционен Flucloxacillin sodium 250 mg/ml
Инжекция/Инжекционен Temocilline 83.33 mg/ml
Вода за инжекции 2231
Незабавни валежи Несъвместим
Инжекция/Инжекционен Flucloxacillin sodium
Инжекция/Инжекционен Tobramycin sulfate
3522
Валежи след 7 часа Несъвместим
Инжекция/Инжекционен Flucloxacillin sodium 20 mg/ml
Инжекция/Инжекционен Tobramycin sulfate 8 mg/ml
Sodium chloride 0,9% 1232
Неопределена несъвместимост Несъвместим
Инжекция/Инжекционен Flucloxacillin sodium 250 mg/ml
Инжекция/Инжекционен Vancomycin hydrochloride 10 mg/ml
Glucose 5% 3385

  Mentions Légales